扫码下载APP
及时接收最新考试资讯及
备考信息
2015年中级经济师考试时间:11月7日,经济师考试报名集中在6-8月,2015年经济师备考已经拉开帷幕,网校整理了中级经济师考试金融预习资料,供大家预习参考,祝大家梦想成真!
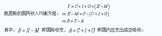
吸收说
吸收说是以总吸收来说明国际收支失衡的原因,并提出用调节总吸收来医治国际收支失衡的学说。

当国民收入大于总吸收时,国际收支为顺差;当国民收入小于总吸收时,国际收支为逆差;当国民收入等于总吸收时,国际收支为平衡。
政策操作:
在国际收支逆差,即Y
相关推荐:
·经济师考试“梦想成真”系列辅导书![]() |
·经济师手机题库抢先看![]() |
| 【特色班】400元/门(经典班次,超值套餐) | 【直达班】600元/门(当期未过,免费重学) |
| 【精品班】800元/门(高清课件,助教指导) | 【实验班】1500元/门(考试未通过返还学费) |
Copyright © 2000 - www.fawtography.com All Rights Reserved. 北京正保会计科技有限公司 版权所有
京B2-20200959 京ICP备20012371号-7 出版物经营许可证
京公网安备 11010802044457号
套餐D大额券
¥
去使用