[摘 要]目前,随着国际航运业在世界经济和国际贸易发展中的地位日趋重要,发展航运业已成为各国发展经济的重要途径。于是,对提高航运企业竞争能力的研究也相应成为世界主要航运国家所共同关心的问题,而盈亏平衡分析就是这样一种简便易行、应用范围极广的现代管理技术。本文以船舶投资决策为主要内容介绍了盈亏平衡分析在航运企业投资决策管理中的应用。
[关键词]盈亏平衡分析 航运业 投资决策管理 应用
目前,随着世界经济的一体化、区域集团化,世界经济中心逐渐向亚太地区转移,国际航运格局也在不断地发展和演变,国际航运业从单纯的航运服务业逐步形成为包括航运工业、航运技术、航运信息、航运金融、航运劳务等多种领域的综合性行业。因此,国际航运业在世界经济和国际贸易发展中的地位日趋重要,它是实现世界经济一体化和国际化的主要手段。正因如此,发展航运业已成为各国发展经济的重要途径。于是,对提高航运企业竞争能力的研究也相应成为世界主要航运国家所共同关心的问题。而要提高航运企业竞争能力,投资决策正确与否是举足轻重的因素之一,投资决策在航运企业的经营发展中占有重要的地位。无论是造、买船投资还是其他项目投资,投资决策的正确与否,直接关系到投资的成败,对企业与船队的发展速度及企业的经济效益均具有现实和深远的影响。投资决策正确,可以提高投资决策效益,开创国际航运企业发展的新局面;投资决策失败,则会给航运企业发展带来不可弥补的巨大损失。
作为国际航运投资决策依据的国际航运投资经济分析,是建立在分析人员对未来事件所作的预测与判断基础之上的。由于影响各种方案经济效果的政治、经济形势,外部环境条件,技术发展情况等因素的未来的变化带有不确定性,加上预测方法和工作条件的局限性,对国际航运投资方案经济效果评价中使用的投资、成本、运量或运价等基础数据的估算与预测结果不可避免地会有误差,这就使得方案经济效果的实际值可能偏离其预期值,从而给投资者和经营者带来风险。例如,投资超支,造船工期拖长,运量不足或生产能力达不到设计要求,燃料价格上涨,劳务费用增加,市场需求变化,贷款利率变动等都可能使一个船舶投资项目达不到预期的经济效果,甚至发生亏损。盈亏平衡分析方法就是这样一个可以尽量避免决策失误的有效方法。
一、盈亏平衡分析概述
盈亏平衡分析是一种在一定的市场、运营生产能力及营运管理条件下,研究项目成本与收益的平衡关系的方法。国际航运投资项目盈亏平衡分析的主要目的是通过盈亏平衡的计算和确定盈亏平衡点,来分析和评价国际航运投资项目的运量、营运成本、营运收入与营运利润之间的制约关系。
在运用盈亏平衡分析方法评价项目的不确定性时,需要有一些假设条件:
(1)变动成本与运量成正比例变化,因而总成本是运量的线形函数;
(2)在所分析的运量范围内,固定成本不变;
(3)各种货种的营运价格对不同的营运水平都相同;
(4)运营收入是运量的线形函数;
(5)采用的数据是指项目正常营运年份内的数据。
根据上述假设可知:
Y1=P×Q (1)
Y2=F+V×Q (2)
式中: Y1——营运收入;
Y2——营运成本;
Q——运量;
F——固定成本;
V——单位变动成本;
P——单位运价。
解上述方程可得:
QE=F/(P-V) (3)
为盈亏平衡点。
以运量表示盈亏平衡点,表明国际航运企业不发生亏损时所必须达到的最低限度的运量。一个拟投资的国际航运项目如果具有较小的以运量表示的盈亏平衡点,说明该项目只要达到较低的运量即可保本,也表明该项目可以经受营运生产规模变动较大的风险,盈亏平衡点还可以用营运能力利用率(货载率)来表示,计算公式为:
LE=QE/Q×100% (4)
式中: Q——规划年运量;
LE——以运营能力利用率(货载率)表示的盈亏平衡点。
以运营能力利用率(货载率)表示的盈亏平衡点表明项目不发生亏损时所必须达到的最低限制的营运能力。一个船舶投资项目如果具有较小的以运营能力利用率表示的盈亏平衡点,说明当项目投入营运后其实际营运能力偏离规划能力很大时,项目仍能保本,因而可以经受较大的风险。
另外,从我国目前的情况来考虑,对国际航运投资项目进行盈亏平衡分析时,还应考虑税金的因素,因为税金(营业税、所得税、城市维护建设税等)不在营运成本中开支,而是直接从收入中支付,因此税金的多少,也影响国际航运投资项目盈亏平衡点的位置。这样上述公式应改为:Y1=(P-R)Q QE=F/(P-R-V) (5)
式中:R——单位运量税金。
例如中国——东南亚航线上的某6000吨级船舶,每年大约营运25个航次,平均运费收入为每吨150元,年总成本为1755万元,其中船折旧费为500万元,燃油费为500万元,港口费为350万元,船员工资为75万元,保险费为80万元,维修、备件费为200万元,管理费为50万元,年营业税及附加为年营业收入的3.33%,为计算盈亏平衡点,根据上述数据,可得:
年固定总成本=500+75+80+200+50=905(万元)
年可变总成本=500+350=850(万元)
年总运量=0.6×25=15(万吨)
年总营运收A=15×150=2250(万元)
单位营运变动成本=850/15=56.67(元/吨)
单位营运收入税金=2250×3.33%/15=5(元/吨)
QE=905/(105-56.67-5)=10.25(万吨)
计算表明,该航线船舶运量达到10.25万吨时即可保本。
如果考虑盈亏平衡生产能力利用率,则:
LE=QE/Q×100%=102500/(6000×25)×100%=68.33%
因此,如果该航线船舶能够达到68.33%的货载率,即可保本。
二、成本结构与运营风险分析
对于船舶投资项目来说,通常船舶运量及船舶成本变动引起的营运风险的大小与船舶投资项目固定成本占总成本的比例有关。
假设对于船舶投资项目,预计营运船舶的年运量为Qf,预计的年总成本为Cf,固定成本占总成本费用的比例R,则固定成本:
F=Cf·R (6)
于是单位运量变动成本:
V= Cf(1-R)/Qf (7)
当运价为P时,盈亏平衡的运量为:
Q*=CfR/[P-Cf(1-R)/Qf]=QfCf/1/R*[(PQf-Cf)+Cf] (8)
由公式(3)可知盈亏平衡单位变动成本为:
V*=P-CfR/Qf (9)
由公式(3)及公式(9)可以看出,固定成本占总成本的比例R越大,盈亏平衡运量越高,盈亏平衡单位变动成本越低。高的盈亏平衡运量和低的单位运量变动成本会导致项目在面临不确定因素的变动时发生亏损的可能性增大。
如果假设营运船舶的年净收益为NB,对于预计的固定成本和单位运量变动成本:
NB=PQ-F-VQ=PQ-CfR-[Cf(1-R)/Q]fQ (10)
于是有:
d(NB)/dQ= P-Cf(1-R)/Qf
由上式不难看出,当运量发生变动时,R越大,年净收益的变化率越大。也就是说,固定成本的存在扩大了投资项目的经营风险,固定成本越大,这种扩大的作用越强。这种现象称为运营杠杆效应。
由于船舶投资项目是典型的资金密集型投资项目,其固定成本占总成本的比例通常较高,因而其营运风险也较大。
三、盈亏平衡分析基础模型在船舶投资决策中的应用
1.船舶投资决策
船舶投资决策是国际航运企业投资决策中的重要组成部分。船舶投资决策是航运企业经营决策中具有战略意义的重大决策,也是航运企业发展投资决策的重点。
船舶投资决策的主要内容,包括四个方面:
(1)补充船舶及更新旧船。其途径一是订造新船,二是购买二手船。
(2)租赁船舶。当航运企业资金不足或要求在短期内获得船舶时,通过租赁船舶亦是补充运力的一种有效办法。
(3)确定船舶合理的更新期。船舶合理更新期的确定也就是研究船舶或船用设备使用年限的问题。很好地解决这个问题,同样可促使航运企业进一步提高生产效益和经营效益。
(4)船舶的技术改造。这指航运企业应当经常注意的投资决策,如船型改造,以提高装载能力或改变用途;改变舱室结构以改善装卸条件;或为了扩大运力,或为了改变货运功能;更新动力或添置设备等等。这些局部性的技术改造是投资省、见效快、收益好的技术措施。
但由于论文篇幅所限,本文涉及的投资决策的研究并未一一涉及上述内容,主要集中于购建船舶及融资租赁船舶决策的研究上。因为购建船舶通常需要投入大量资金,对于任何一个企业来说,均在较长时间内有持续影响。而且自上世纪九十年代以来,随着我国航运企业船舶融资渠道的多元化,融资租赁船舶由于其投融资的特殊性在我国航运企业逐渐增多,已成为航运企业筹措资金、调整融资结构与扩大营运规模的重要手段。如何进行购建船舶与融资租赁船舶的财务决策已经成为航运企业所需要探讨的一个重要问题。
船舶投资的融资租赁主要是指船舶承租人从造船厂或船舶卖方那里租赁所造的船舶,并与出租人订立的租赁合同,该项合同规定:在一定时间内(至少一年以上),以船舶出租人在法律上拥有船舶所有权为前提,收取租金为代价,将船舶的使用权出租给承租人;承租人则对合同船舶在经济上拥有使用权,即在固定时间内(通常称之为租期)它有权占有,并正常使用该项租赁设备,但必须按期支付租金。
在通常情况下,船舶的融资租赁是由银行或专业的租赁公司通过契约安排、提供造船资金,并取得船舶所有权,然后由该银行或租赁公司作为出租人将所造船舶租给航运企业使用,并从航运企业收取固定的租金。船舶融资租赁所涉及的当事各方关系如图1所示。

图1 船舶融资租赁所涉及各方关系图
2.盈亏平衡分析基础模型的应用
从购建船舶和融资租赁船舶两种选择的比较来看,由船舶投入营运而产生的收益以及船舶退役时的残值是相同的,因为它并不受取得船舶方式的影响,即不受船舶是购买取得还是融资租赁取得的影响。
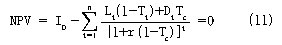
为了分析的简便起见,假设租赁期限和船舶的经济使用年限相同为n,船舶最初的购建价格为I0,由于购建船舶并投入营运使企业增加的运输收入为St,为获得这一收入发生的营运成本为Ct,购建的船舶或者融资租入的船舶在第t年提取的折旧额为Dt,Tc表示为企业所得税税率,在第t年支付的融资租赁租金为Lt,船舶的贷款利率为r.在购建船舶与融资租赁船舶之间做出选择的有效便捷的方法,是确定选择购建船舶与选择融资租赁船舶不存在差异的融资租赁租金支付额的水平,这一承租人可以接受的最大年融资租赁支付额也就是融资租赁船舶租金支付额的盈亏平衡点。这一租金支付的盈亏平衡点也就是上述选择融资租赁船舶而不选择购建船舶决策的NPV为0时的Lt(由于支付是税后的,税后贷款利率r(1-Tc)可以作为计算所用的贴现率),即:

如果每年的租赁租金支付额相等,租赁租金支付额的盈亏平衡点L*可以表示为:

可以看出,对于融资租赁租金的年支付小于L*,选择融资租赁的NPV为正值,应选择融资租赁船舶;对于融资租赁租金的年支付大于L*,选择融资租赁的NPV为负值,应选择购建船舶。
例如,企业因扩大船队规模需要增加某一船舶,船舶的购建价格为1亿元,预计经济使用年限为20年,残值为船舶原值的5%,企业所得税税率为33%,按直线折旧法的年折旧为(10000-10000×5%)/20=475万元,船舶贷款的利率为5%,如果采用融资租赁取得这一船舶,租赁期也为20年,年租金支付为820万元,那么企业应是选择购买这一船舶还是选择融资租赁这一船舶?
应用公式(12)可以计算企业能够接受的最大年租赁支付额,也就是融资租赁船舶决策盈亏平衡点租金支付L*:

这一计算结果说明,当融资租赁这一船舶的年租金支付为800.59万元时,选择融资租赁与选择购建不存在差异;当融资租赁这一船舶的年租金支付大于800.59万元时,应该选择购建;当融资租赁这一船舶的年租金支付小于800.59万元时,应该选择融资租赁。显然,有了融资租赁船舶租金支付的盈亏平衡点广确定公式,使购建船舶与融资租赁船舶的财务决策变得便捷与有效。
四、结语
在市场经济中,航运企业自主经营,自负盈亏。盈亏平衡是航运企业生存和发展的前提,盈亏平衡分析作为一项具有很高实用价值的现代企业财务管理工具,为航运企业的利润预测及计划管理、生产决策、投资决策提供了有力依据。在投资决策中,盈亏平衡分析除了能进行抗风险能力分析外,还可用来进行项目评价、风险选择,在航运企业管理中也有广泛的应用。
虽然说盈亏平衡点在航运企业的预测、计划、决策、成果分析方面的应用可以解决很多问题,虽然公认盈亏平衡分析是企业经营的常识,但盈亏平衡分析在我国航运业中的应用尚未普及开来。因此在全球经济逐渐一体化的今天,盈亏平衡分析在我国航运业特别是投资决策中的普及,将进一步提高投资决策的科学性和可行性。
参考文献
[1] 邵瑞庆。船舶投融资综合决策的分析研究[J].交通财会,1999(8)~(9)。
[2] 徐剑华。运输船舶投资决策中的不确定性与风险分析[J].上海海运学院学报,1983.
[3] 吕靖。国际航运投资决策[M].北京:人民交通出版社,1998.


