扫码下载APP
及时接收最新考试资讯及
备考信息
[财务会计]、[经济法]、[资产评估]、[机电设备评估基础]、[建筑工程评估基础]
一、总论
(一)考试目的
通过对本部分的考试,测试考生对财务会计目标、基本前提、会计要素分类、会计计量属性等的掌握和运用情况;考核考生运用上述会计基本原则、方法进行会计处理的能力。
(二)考试基本要求
1.掌握以下内容
(1)财务会计的目标;
(2)财务会计的基本前提;
(3)会计基础;
(4)会计信息质量要求;
(5)会计要素的分类;
(6)会计计量属性及其运用原则;
(7)财务会计报告。
2.熟悉以下内容
会计要素之间的关系。
3.了解以下内容
财务会计与资产评估之间的关系。
(三)要点内容
1.财务会计的目标
财务会计的目标是向财务会计报告(又称财务报告,下同)
使用者提供与企业财务状况、经营成果和现金流量等有关的会计信息,反映企业管理层受托责任履行情况,有助于财务会计报告使用者作出经济决策。
2.财务会计与资产评估之间的关系
(1)财务会计与资产评估对资产的定义是相近的。
(2)财务会计与资产评估采用的计量属性是相关的。
(3)财务会计与资产评估都要对企业进行资产清查。
(4)资产评估要以财务会计信息为基础资料。
(5)资产评估结果可作为财务会计核算的重要参考。
(6)财务会计与资产评估在会计原则和具体计价方面有所不同。
3.财务会计的基本前提
(1)会计主体。在会计主体前提下,企业应当对其本身发生的交易或者事项进行会计确认、计量和报告。会计主体与法律主体(法人)并非对等的概念,法人可作为会计主体,但会计主体不一定是法人。
(2)持续经营。企业会计确认、计量和报告应当以持续、正常的生产经营活动为前提。
(3)会计分期。食业应当划分会计期间,分期结算账目和编制财务报告。会计期间分为年度和中期,其中,中期是指短于一个完整的会计年度的报告期间,如半年度、季度和月度。
(4)货币计撼。企业会计应当以货币计量。在我国,企业会计通常以人民币作为记账本位币。业务收支以人民币以外的货币为主的企业,可以选定其中一种货币作为记账本位币,但是编报的财务报表应当折算为人民币。
4.会计基础
我国规定,企业会计的确认、计量和报告应当以权责发生制为基础。
5.会计信息质量要求
(1)可靠性。企业应当以实际发生的交易或者事项为依据进行会计确认、计量和报告,如实反映符合确认和计量要求的各项会计要素及其他相关信息,保证会计信息真实可靠、内容完整。
(2)相关性。企业提供的会计信息应当与财务报告使用者的经济决策需要相关,有助于财务报告使用者对企业过去、现在或者未来的情况做出评价或者预测。
(3)可理解性。企业提供的会计信息应当清晰明了,便于财务报告使用者理解和使用。
(4)可比性。企业提供的会计信息应当相互可比。同一企业不同时期发生的相同或者相似的交易或者事项,应当采用一致的会计政策,不得随意变更。确需变更的,应当在附注中说明。不同企业发生的相同或者相似的交易或者事项,应当采用规定的会计政策,确保会计信息口径一致,相互可比。
(5)实质重于形式。企业应当按照交易或者事项的经济实质进行会计确认、计量和报告,不应仅以交易或者事项的法律形式为依据。
(6)重要性。企业提供的会计信息应当反映与企业财务状况、经营成果和现金流量等有关的所有重要交易或者事项。重要性,是指财务报表某项日的省略或错报会影响使用者据此作出经济决策的,该项目就具有重要性。
(7)谨慎性。企业对交易或者事项进行会计确认、计量和报告应当保持应有的谨慎,不应高估资产或者收益,低估资产或者费用,也不允许企业设置秘密准备。
(8)及时性。企业对于已经发生的交易或者事项,应当及时进行会计确认、计量和报告,不得提前或者延后,从而可以把相关信息及时传递给财务报告使用者,便于其及时使用和决策。
6.会计要素的分类、特征,及其之间的关系
企业应当按照交易或者事项的经济特征确定会计要素。会计要素包括资产、负债、所有者权益、收入、费用和利润。
(1)资产是指企业过去的交易或者事项形成的、由企业拥有或者控制的、预期会给企业带来经济利益的资源。资产按流动性分为流动资产和非流动资产。
资产的主要特征:①资产预期会给企业带来经济利益;②资产应为企业拥有或者控制的资源;③资产是由企业过去的交易或者事项形成的。
(2)负债是指企业过去的交易或者事项形成的、预期会导致经济利益流出企业的现时义务。负债按流动性分为流动负债和非流动负债。
负债的主要特征:①负债的清偿预期会导致经济利益流出企业;②负债是由企业过去的交易或者事项形成的现时义务。
现时义务是指企业在现行条件下已承担的义务,未来发生的交易或者事项形成的义务,不属于现时义务。
(3)所有者权益是指企业资产扣除负债后由所有者享有的剩余权益。公司的所有者权益又称为股东权益。
所有者权益的来源包括所有者投入的资本、直接计入所有者权益的利得和损失、留存收益等。直接计入所有者权益的利得和损失是指不应计入当期损益、会导致所有者权益发生增减变动的、与所有者投入资本或者向所有者分配利润无关的利得或者损失。其中,利得是指由企业非日常活动形成的、会导致所有者权益增加的、与所有者投入资本无关的经济利益的流入;损失是指由企业非日常活动所发生的、会导致所有者权益减少的、与向所有者分配利润无关的经济利益的流出:在某个特定的时点,资产、负债和所有者权益三者之间存在平衡关系,即资产=负债+所有者权益。它是编制资产负债表的基础。
(4)收入足指企业在日常活动中形成的、会导致所有者权益增加的、与所有者投入资本无关的经济利益的总流入。收入不包括为第三方或者客户代收的款项。
收入的主要特征:①收入应当是企业在日常活动中形成的;②收入应当会导致经济利益的流人,该流人不包括所有者投入的资本;③收入应当最终会导致所有者权益的增加。
(5)费用是指企业在日常活动中发生的、会导致所有者权益减少的、与向所有者分配利润无关的经济利益的总流出。费用的主要特征:①费用应当是企业在日常活动中发生的;②费用应当会导致经济利益的流出,该流出不包括向所有者分配的利润;③费用虚当最终会导致所有者权益的减少。
(6)利润是指企业在一定会计期间的经营成果。
利润包括收入减去费用后的净额、直接计入当期利润的利得和损失等。直接计入当期利润的利得和损失,是指应当计入当期损益、会导致所有者权益发生增减变动的、与所有者投入资本或者向所有者分配利润无关的利得或损失。利润金额取决于收入和费用、直接计入当期利润的利得和损失金额的计量。收入减去费用,并经过调整后等于利润。在不考虑调整因素(比如营业外收入、营业外支出、投资收益等)的情况下,收入减去费用等于利润,即收入-费用=利润。它表明某一会计主体在一定会计期间内的经营成果与该期间收入和费用的关系(在做适当调整后),是编制利润表的基础。
6.会计计量属性及其运用原则
会计计量属性主要包括历史成本、重置成本、可变现净值、现值和公允价值。
(1)历史成本。在历史成本计量下,资产按照购置时支付的现金或者现金等价物的金额,或者按照购置资产时所付出的对价的公允价值计量;负债按照因承担现时义务而实际收到的款项或者资产的金额,或者承担现时义务的合同金额,或者按照日常活动中为偿还负债预期需要支付的现金或者现金等价物的金额计量。
(2)重置成本。在重置成本计量下,资产按照现在购买相同或者相似资产所需支付的现金或者现金等价物的金额计量;负债按照现在偿付该项债务所需支付的现金或者现金等价物的金额计量。
(3)可变现净值。在可变现净值计量下,资产按照其正常对外销售所能收到现金或者现金等价物的金额扣减该资产至完工时估计将要发生的成本、估计的销售费用以及相关税费后的金额计量。
(4)现值。在现值计量下,资产按照预计从其持续使用和最终处置中所产生的未来净现金流入餐的折现金额计量;负债按照预计期限内需要偿还的未来净现金流出量的折现金额计量。
(5)公允价值。在公允价值计量下,资产和负债按照在公平交易中,熟悉情况的交易双方自愿进行资产交换或者债务清偿的金额计量。
企业在对会计要素进行计量时,一般应当采用历史成本。在某些情况下,为了提高会计信息质量,实现财务报告目标,企业会计准则允许采用重置成本、可变现净值、现值、公允价值计量的,应当保证所确定的会计要素金额能够取得并可靠计量,如果这些金额无法取得或者可靠地计量,则不允许采用其他计量属性。
8.财务报告
财务报告是指企业对外提供的反映企业某一特定日期的财务状况和某一会计期间的经营成果、现金流量等会计信息的文件。
财务报告包括会计报表及其附注和其他应当在财务报告中披露的相关信息和资料,其中,会计报表至少应当包括资产负债表、利润表、现金流量表等报表。
小企业编制的会计报表可以不包括现金流量表。
二、金融资产
(一)考试目的
通过本部分的考核,测试考生对各类金融资产的会计处理、各类金融资产之间转换的会计处理,以及金融资产减值会计处理的掌握程度。
(二)考试基本要求
1.掌握下列内容
(1)掌握金融资产的分类;
(2)掌握交易性金融资产的会计处理;
(3)掌握持有至到期投资的会计处理;
(4)掌握贷款和应收款项的会计处理;
(5)掌握可供出售金融资产的会计处理;
(6)掌握金融资产减值的会计处理。
2.熟悉下列内容
(1)金融工具、衍生工具和金融资产等概念;
(2)银行存款支付结算方式及其会计处理;
(3)其他货币资金的会计处理。
3.了解下列内容
现金的会计处理:
(三)要点内容
1.金融工具概念
金融工具是指形成一个企业的金融资产,并形成其他单位的金融负债或权益工具的合同。金融工具可以分为基础金融工具和衍生金融工具。
(1)基础金融工具。基础金融工具包括企业持有的现金、存放于金融机构的款项、普通股,以及代表在未来期间收取或支付金融资产的合同权利或义务等,如应收账款、应付账款、其他应收款、其他应付款、存出保证金、存人保证金、客户贷款、客户存款、债券投资、应付债券等。
企业应当设置总账"现金"和"现金日记账",每次办理完收付业务应及时结出账面余额;每日终了,应将账面余额与库存现金数核对;月度终了,应将"现金日记账"余额与"现金"总账余额核对。现金收支应遵守国家有关现金管理制度的规定。
企业应按规定进行现金的清查,一般采用实地盘点法;在清查中发现的有待查明原因的现金短缺或溢余,应通过"待处理财产损溢"科目核算,查明原因后,分别情况进行会计处理。
我国企业银行存款支付结算方式包括:银行汇票结算方式、银行本票结算方式、商业汇票结算方式、支票结算方式、信用卡结算方式、信用证结算方式、汇兑结算方式、委托收款结算方式、托收承付结算方式等。
(2)衍生工具。衍生工具是指企业会计准则涉及的、具有下列特征的金融工具或其他合同:
①其价值随着特定利率、金融工具价格、商品价格、汇率、价格指数、费率指数、信用等级、信用指数或其他类似变量的变动而变动,变量为非金融变量的,该变量与合同的任一方不存在特定关系。
②不要求初始净投资,或与对市场情况变动有类似反应的其他类型合同相比,要求很少的初始净投资。
⑧在未来某一日期结算。
2.常见的衍生工具
(1)期货合约。期货合约是指由期货交易所统一制定的、规定存将来某一特定时间和地点交割一定数量和质量实物商品或金融商品的标准化合约。
(2)期权合约。期权合约是指合同的买方支付一定金额的款项后即可获得的一种选择权合同。目前,我们证券市场上推出的认股权证,属于看涨期权,认沽权证则属于看跌期权。
(3)远期合同。远期合同是指合同双方约定在未来某一日期以约定价值,由买方向卖方购买某一数量的标的项目的合同。
(4)互换合同。互换合同是指合同双方在未来某一期间内交换一系列现金流量的合同。按合同标的项目不同,互换可以分为利率互换、货币互换、商品互换、权益互换等。其中,利率互换和货币互换比较常见。
3.交易性金融资产
以公允价值计量且其变动计入当期损益的金融资产分为两类,一是交易性金融资产,二是直接指定为以公允价值计量且其变动计入当期损益的金融资产。本章只介绍交易性金融资产。
满足下列条件之一的,应当划分为交易性金融资产:
①取得该金融资产的目的,主要是为了近期内出售。例如,企业以赚取差价为目的购入的股票、债券和基金等。
②属于进行集中管理的可辨认金融工具组合的一部分,且有客观证据表明企业近期采用短期获利方式对该组合进行管理。
③属于衍生工具。包括远期合同、期货合同、互换和期权,以及具有远期合同、期货合同、互换和期权中一种或一种以上特征的工具。衍生工具不作为有效套期工具的,也应划分为交易性会融资产或金融负债。
食业在持有交易性金融资产期间取得的利息或现金股利,应当确认为投资收益。资产负债表日,企业应将以交易性金融资产的公允价值变动计入当期损益。处置该金融资产时,其公允价值与初始入账金额之间的差额廊确认为投资收益,同时调整公允价值变动损益。
4.持有至到期投资
持有至到期投资是指到期日固定、回收金额固定或可确定,且企业有明确意图和能力持有至到期的非衍生金融资产。存在下列情况的,表明企业没有明确意图将金融资产投资持有至到期:(1)持有该金融资产的期限不确定;(2)发生市场利率变化、流动性需要变化、替代投资机会及其投资收益率变化、融资来源和条件变化、外汇风险变化等情况时,将出售该金融资产。但是,无法控制、预期不会重复发生且难以合理预计的独立事项引起的金融资产出售除外。(3)金融资产的发行方可以按照明显低于其摊余成本的金额清偿。(4)其他表明企业没有明确意图将该金融资产持有至到期的情况。
存在下列情况的,表明企业没有能力将具有固定期限的金融资产投资持有至到期:(1)没有可利用的财务资源持续地为陵金融资产投资提供资金支持,以使该金融资产投资持有至到期。(2)受法律、行政法规的限制,使企业难以将该金融资产投资持有至到期。(3)其他表明企业没有能力将具有固定期限的金融资产投资持有至到期的情况。
企业从二级市场上购入的固定利率国债、浮动利率公司债券等,符合持有至到期投资条件的,可以划分为持有至到期投资。购入的股权投资因其没有固定的到期日,不符合持有至到期投资的条件,不能划分为持有至到期投资。持有至到期投资通常具有长期性质,但期限较短(1年以内)的债券投资,符合持有至到期投资条件的,也可将其划分为持有至到期投资。
持有至到期投资应当按取得时的公允价值和相关交易费用之和作为初始确认金额。支付的价款中包含的已到付息期但尚未领取的债券利息,应单独确认为应收项目。持有至到期投资在持有期间应当按照摊余成本和实际利率计算确认利息收入,计入投资收益。,实际利率应当在取得持有至到期投资时确定。在该持有至到期投资预期存续期间或适用的更短期间内保持不变。实际利率与票面利率差别较小的,也可按票面利率计算利息收入,计入投资收益。处置持有至到期投资时,应将所取得价款与该投资账面价值之间的差额计入投资收益。
5.贷款和应收款项
贷款和应收款项是在活跃市场中没有报价、回收金额固定或可确定的非衍生金融资产。贷款和应收款项主要是指金融企业发放的贷款和一般企业销售商品或提供劳务形成的应收款项等债权。
企业不应当将下列非衍生金融资产划分为贷款和应收款项:(1)准备立即出售或在近期出售的非衍生金融资产,这类非衍生金融资产应划分为交易性金融资产。(2)初始确认时被指定为以公允价值计量且其变动计入当期损益的非衍生金融资产。(3)初始确认时被指定为可供出售的非衍生金融资产。(4)因债务人信用恶化以外的原因,使持有方可能难以收回几乎所有初始投资的非衍生金融资产。例如,企业所持有的证券投资基金或类似的基金等。
贷款和应收款项的会计处理原则,与持有至到期投资大致相同。(1)金融企业按当前市场条件发放的贷款,应按发放贷款的本金和相关交易费用之和作为初始确认金额。一般企业对外销售商品或提供劳务形成的应收债权,通常应按从购货方应收的合同或协议价款作为初始确认金额。(2)贷款持有期间所确认的利息收入,应当根据实际利率计算。实际利率应在取得贷款时确定,在该贷款预期存续期间或适用的更短期间内保持不变。实际利率与合同利率差别较小的,也可按合同利率计算利息收入。(3)企业收回或处置贷款和应收款项时,应将取得的价款与该贷款和应收款项账面价值之间的差额计入当期损益。
6.可供出售金融资产
可供出售金融资产通常是指企业没有划分为以公允价值计量且其变动计入当期损益的金融资产、持有至到期投资、贷款和应收款项的金融资产。比如,企业购入的在活跃市场上有报价的股票、债券和基金等,没有划分为以公允价值计量且其变动计入当期损益的金融资产或持有至到期投资等金融资产的,可归为此类。
可供出售金融资产应当按取得该金融资产的公允价值和相关交易费用之和作为初始确认金额。支付的价款中包含的已到付息期但尚未领取的债券利息或已宣告但尚未发放的现金股利,应单独确认为应收项目。可供出售金融资产持有期间取得的利息或现会股利,应当计入投资收益。资产负债表日,可供出售金融资产应当以公允价值计量,且公允价值变动计入资本公积(其他资本公积)。
处置可供出售金融资产时,应将取得的价款与该金融资产账面价值之间的差额,计入投资损益;同时,将原直接计入所有者权益的公允价值变动累计额对应处置部分的金额转出,计入投资损益。
7.金融资产减值
(1)金融资产减值损失的确认
企业应当在资产负债表日对以公允价值计量且其变动计入当期损益的金融资产以外的金融资产的账面价值进行检查,有客观证据表明该金融资产发生减值的,应当确认减值损失,计提减值准备。
表明金融资产发生减值的客观证据,是指金融资产初始确认后实际发生的、对该金融资产的预计未来现金流量有影响,且企业能够对该影响进行可靠计量的事项。金融资产发生减值的客观证据,包括下列各项:
①发行方或债务人发生严重财务困难。
②债务人违反了合同条款,如偿付利息或本金发生违约或逾期等。
③债权人出于经济或法律等方面因素的考虑,对发生财务困难的债务人做出让步。
④债务人很可能倒闭或进行其他财务重组。
⑤因发行方发生重大财务困难,该金融资产无法在活跃市场继续交易。
⑥无法辨认一组金融资产中的某项资产的现金流量是否已经减少,但根据公开的数据对其进行总体评价后发现,该组金融资产自初始确认以来的预计未来现金流量确已减少且可计量,如该组金融资产的债务人支付能力逐步恶化,或债务人所在国家或地区失业率提高、担保物在其所在地区的价格明显下降、所处行业不景气等。
⑦债务人经营所处的技术、市场、经济或法律环境等发生重大不利变化,使权益工具投资人可能无法收回投资成本。
⑧权益工具投资的公允价值发生严重或非暂时性下跌。
⑨其他表明金融资产发生减值的客观证据:
(2)金融资产减值损失的计量。
①持有至到期投资、贷款和应收款项减值损失的计量。对于持有至到期投资、贷款和应收款项,有客观证据表明其发生了减值的,应当根据其账面价值与预计未来现金流量现值之间的差额计算确认减值损失:
企业对于单项金额重大的应收款项,应当单独进行减值测试,有客观证据表明其发生了减值的,应当根据其未来现金流量现值低于其账面价值的差额,确认减值损失,计提坏账准备。
对于单项金额非重大的应收款项可以单独进行减值测试,确定减值损失,计提坏账准备;也可以与经单独测试后未减值的应收款项一起按类似信用风险特征划分为若干组合,再按这些应收款项组合在资产负债表日余额的一定比例计算确定减值损失,计提坏账准备。根据应收款项组合余额的一定比例计算确定的坏账准备,应当反映各项目实际发生的减值损失,即各项组合的账面价值超过其未来现金流量现值的金额。企业应当根据以前年度与之相同或相类似的、具有类似信用风险特征的应收款项组合的实际损失率为基础,结合现时情况确定本期各项组合计提坏账准备的比例,据此计算本期应计提的坏账准备。
持有至到期投资减值损失的计量,比照贷款和应收款项减值损失计量的相关规定处理。
②可供出售金融资产减值损失的计量。分析判断可供出售金融资产是否发生减值,应当注重该金融资产公允价值是否持续下降。通常情况下,如果可供出售金融资产的公允价值发生较大幅度下降,或在综合考虑各种相关因素后,预期这种下降趋势属于非暂时性的,可以认定该可供出售金融资产已发生减值,应当确认减值损失。
可供出售金融资产发生减值的,在确认减值损失时,应当将原直接计入所有者权益的公允价值下降形成的累计损失一并转出,计入减值损失。
对于已确认减值损失的可供出售债务工具,在随后的会计期间公允价值已上升,且客观上与确认该减值损失后发生的事项有关的,原确认的减值损失应当予以转同,计入当期损益。可供出售权益工具投资发生的减值损失,不得通过损益转回。
三、存货
(一)考试目的
通过本部分的考试,测试考生对存货概念、分类、存货清查方法、存货盘存制度等的熟悉程度;考核考生运用存货入账价值的确定、存货发出计价方法、存货跌价准备计提方法、存货期未计价方法等进行相关会计处理的能力。
(二)基本要求
1.掌握以下内容
(1)存货的初始计量;
(2)存货发出的计价方法;
(3)存货按实际成本和计划成本计价的会计处理;
(4)存货跌价准备的计提方法;
(5)存货期末计量及其会计处理。
2.熟悉以下内容
(1)商品流通企业发出存货的会计处理;
(2)存货清查的方法及其会计处理;
(3)存货的盘存制度。
3.了解以下内容
存货的概念和分类。
(三)要点说明
1.存货的概念
存货是指企业在日常活动中持有以备出售的产成品或商品、处在生产过程中的在产品、在生产过程或提供劳务过程中耗用的材料和物料等。
2.存货的初始计量
存货应当按照成本进行初始计量。存货成本包括采购成本、加工成本和其他成本。
(1)外购的存货,其成本由采购成本构成。存货的采购成本包括购买价款、相关税费、运输费、装卸费、保险费以及其他可归属于存货采购成本的费用。
(2)通过进一步加工而取得的存货,其成本由采购成本、加工成本,以及使存货达到日前场所和状态所发生的其他成本构成。加工成本是指在存货加工的过程中发生的追加费用,包括直接人工以及按照一定方法分配的制造费用。其他成本,是指除采购成本、加工成本以外的,使存货达到目前场所和状态所发生的其他支出。
下列费用应当在发生时确认为当期损益,不得计入存货成本:
①非正常消耗的直接材料、直接人工和制造费用;
②仓储费用,企业在存货采购入库后发生的储存费用,应计入当期损益。但是,在生产过程中为达到下一个生产阶段所必需的仓储费用则应计入存货成本;
③不能归属于使存货达到目前场所和状态的其他支出。
(3)投资者投入的存货,其成本按投资合同或协议约定的价值确定,但合同或协议约定价值不公允的除外。
(4)企业提供劳务的,所发生的从事劳务提供人员的直接人工和其他直接费用以及可归属的间接费用,计入存货成本。
3.存货发出的计价方法
企业应当采用先进先出法、加权平均法或者个别计价法确定发出存货的成本。对于性质和用途相似的存货,应当采用相同的成本计算方法确定发出存货的成本。对于不能替代使用的存货、为特定项目专门购入或制造的存货以及提供的劳务,通常采用个别计价法确定发出存货的成本。
(1)个别计价法是指假设存货的成本流转与实物流转相一致,按照各种存货,逐一辨认各批发出存货和期末存货所属的购进批别或生产批别,分别按其购入或生产时所确定的单位成本作为计算各批发出存货和期末存货成本的方法。
(2)先进先出法是指以先购入的存货先发出这样一种存货实物流转假设为前提,对发出存货进行计价的一种方法。
(3)月末一次加权平均法是指以本月全部进货数量加上月初存货数量作为权数,去除本月全部进货成本加上月初存货成本,计算出存货的加权平均单位成本,从而确定本月发出存货和期末存货成本的方法:
(4)移动加权平均法是指本次进货的成本加原有库存的成本,除以本次进货数量加原有库存存货的数量,据以计算加权平均单位成本,作为在下次进货前计算各次发出存货成本依据的一种方法。
商品流通企业发出存货,通常还可以采用毛利率法和售价金额核算法等方法进行核算。
4.存货按实际成泰和计划成本计价
存货按实际成本计价的特点是:存货的收发及结存,无论是总分类核算还足明细分类核算,均按照实际成本计价。这种方法一般适用于规模较小、存货品种简单、采购业务不多的企业。存货按计划成本计价的特点是,存货的收发及结存,无论是总分类核算还是明细分类核算,均按照计划成本计价。在计划成本法下,存货的收入、发出和结存均采用计划成本进日常核算,计划成本和实际成本的差异反映在"材料成本差异"科目,月末计算出发出存货和结存存货应分摊的成本差异,再将发出存货和结存存货的计划成本调整为实际成本。这种方法一般适用于规模较大,存货品种繁多、收发频繁的企业。
5.存货盘存和清查
(1)存货盘存方法,主要有定期盘存制和永续盘存制。定期盘存制又称实地盘存制,是指在每一会计期间结束时,对存货进行实地盘点以确定存货数量,再乘以其单位价格,计算出期末存货价值的方法。永续盘存制又称账面盘存制,是指对存货的收入、发出按种类、品名等在平时逐笔或逐日在明细账中进行连续登记,并随时算出结存数量的方法。
(2)存货清查,通常采用实地盘点的方法。盘盈或盘亏的存货,应在期末结账前处理完毕。盘盈的存货,一般应冲减当期的管理费用;盘亏的存货,在减去过失人或者保险公司等赔款和残料价值后,计入当期管理费用,属于非常损失的,计入营业外支出。
6.存货的期末计量
资产负债表日,存货应当按照成本与可变现净值孰低计量。存货成本高于其可变现净值的,应当计提存货跌价准备,计入当期损益。
(1)可变现净值是指在日常活动中,存货的估计售价减去至完工时估计将要发生的成本、估计的销售费用以及相关税费后的金额。企业确定存货的可变现净值,应当以取得的确凿证据为基础,并且考虑持有存货的目的、资产负债表日后事项的影响等因素。
(2)产成品、商品和用于出售的原材料等直接用于出售的存货,其可变现净值应当以在正常生产经营过程中存货的估计售价减去估计的销售费用和相关税费后的金额确定;用于生产的材料、在产品或自制半成品等需要经过加工的材料存货,其可变现净值应当以在正常生产经营过程中所生产的产成品的估计售价减去至完工时估计将要发生的成本、估计的销售费用以及相关税费后的金额确定。
(3)为执行销售合同或者劳务合同而持有的存货,其可变现净值应当以合同价格为基础计算;如果企业持有存货的数量多于销售合同订购的数量,超出部分的存货的可变现净值应当以一般销售价格为基础计算。
(4)为生产而持有的材料等(如原材料、在产品、委托加工材料等),如果用其生产的产成品的可变现净值高于成本,该材料仍然应当按照成本计量。如果材料价格的下降表明产成品的可变现净值低于成本,则该材料应当按照可变现净值计量。
(5)通常表明存货的可变现净值低于成本的情形。
①该存货的市场价格持续下跌,并且在可预见的未来无回升的希望;
②企业使用该项原材料生产的产品的成本大于产品的销售价格;
③企业因产品更新换代,原有库存原材料已不适应新产品的需要,而该原材料的市场价格又低于其账面成本;
④因企业所提供的商品或劳务过时或消费者偏好改变而使市场的需求发生变化,导致市场价格逐渐下跌;
⑤其他足以证明该项存货实质上已经发生减值的情形。
(6)通常表明存货的可变现净值为零的迹象。
①已霉烂变质的存货;
②已过期且无转让价值的存货;
③生产中已不再需要,并且已无使用价值和转让价值的存货;
④其他足以证明已无使用价值和转让价值的存货。
7.存货跌价准备的计提与转回
(1)存货跌价准备通常应按单个存货项目计提。对于数量繁多、单价较低的存货,可以按照存货类别计提存货跌价准备。在某些情况下,与在同一地区生产和销售的产品系列相关、具有相同或类似最终用途或目的,且难以与其他项目分开计量的存货,可以合并计提存货跌价准备。
(2)企业应当在资产负债表日,比较成本与可变现净值计算出应计提的存货跌价准备。企业计提的存货跌价准备,应当计入当期损益。以前减记存货价值的影响因素已经消失的,减记的金额应当予以恢复,并在原已计提的存货跌价准备金额内转回。
(3)已计提了存货跌价准备的存货被处置(如销售)时,原已计提的存货跌价准备应同时结转。
四、长期股权投资
(一)考试目的
通过本部分的考试,考核考生对长期股权投资成本法和权益法的核算的会计处理能力。
(二)基本要求
1.掌握以下内容
(1)长期股权投资初始投资成本的确定;
(2)长期股权投资成本法的会计处理;
(3)长期股权投资权益法的会计处理。
2.熟悉以下内容
长期股权投资处置的会计处理。
3.了解以下内容
(1)投资的概念;
(2)控制、共同控制和重大影响的概念;
(3)企业合并、同一控制下的企业合并、非同一控制下的企业合并的概念;
(4)长期股权投资减值的会计处理。
(三)要点说明
1.相关概念
(1)控制是指有权决定一个企业的财务和经营政策,并能据以从该企业的经营活动中获取利益。投资企业能够对被投资单位实施控制的,被投资单位为其子公司,投资企业应当将子公司纳入合并财务报表的合并范围。
(2)共同控制是指按照合同约定对某项经济活动所共有的控制,仅在与该项经济活动相关的重要财务和经营决策需要分享控制权的投资方一致同意时存在。投资企业与其他方对被投资单位实施共同控制的,被投资单位为其合营企业。
(3)重大影响是指对一个企业的财务和经营政策有参与决策的权力,但并不能够控制或者与其他方一起共同控制这些政策的制定。投资企业能够对被投资单位施加重大影响的,被投资单位为其联营企业。
(4)企业合并是指将两个或者两个以上单独的企业合并形成一个报告主体的交易或事项。
(5)同一控制下的企业合并是指参与合并的企业在合并前后均受同一方或相同的多方最终控制且该控制并非暂时性的企业合并。在合并日取得对其他参与合并企业控制权的一方为合并方,参与合并的其他企业为被合并方。合并日,是指合并方实际取得对被合并方控制权的日期。
(6)非同一控制下的企业合并是指参与合并的各方在合并前后不受同一方或相同的多方最终控制的企业合并。在购买日取得对其他参与合并企业控制权的一方为购买方,参与合并的其他企业为被购买方。购买日,是指购买方实际取得对被购买方控制权的日期,即被购买方的净资产或生产经营决策的控制权转移给购买方的日期。
2.长期股权投资在初始取得时应当按照初始投资成本入账
(1)属于同一控制下的企业合并形成的长期股权投资,合并方(即投资企业,下同)以支付现金、转让非现金资产或承担债务方式作为合并对价的,应当在合并日按照取得被合并方所有者权益账面价值的份额作为长期股权投资的初始投资成本。长期股权投资初始投资成本与支付的现金、转让的非现金资产以及所承担债务账面价值之间的差额,应当调整资本公积;资本公积不足冲减的,调整留存收益。
合并方以发行权益性证券作为合并对价的,应当在合并日按照取得被合并方(即被投资企业,下同)所有者权益账面价值的份额作为长期股权投资的初始投资成本。按照发行股份的面值总额作为股本,长期股权投资初始投资成本与所发行股份面值总额之间的差额。,应当调整资本公积(资本溢价或股本溢价);资本公积不足冲减的,调整留存收益。
(2)属于非同一控制下的企业合并形成的长期股权投资。购买日,购买方(即投资企业)应以付出的资产、发生或承担的负债以及发行的权益性证券的公允价值加上为企业合并发生的各项直接相关费用之和,作为企业合并形成的长期股权投资的初始投资成本。其中,作为企业合并对价付出的资产、发生或承担的负债的公允价值与其账面价值之间的差额,作为资产处置损益计入当期损益。
通过多次交换交易分步实现的企业合并,长期股权投资成本,即合并成本,为每一单项交易成本之和。在合并合同或协议中对可能影响合并成本的未来事项作出约定的,购买日如果估计未来事项很可能发生并且对合并成本的影响金额能够可靠计量的,购买方应当将其计入合并成本。
(3)以支付现金取得的长期股权投资,投资企业应当按照实际支付的购买价款作为初始投资成本。初始投资成本包括与取得长期股权投资直接相关的费用、税金及其他必要支出。
(4)以发行权益性证券取得的长期股权投资,投资企业应当按照发行权益性证券的公允价值作为初始投资成本。
(5)投资者将其持有的对第三方的投资作为资本投入的长期股权投资,应当按照投资合同或协议约定的价值作为初始投资成本,但合同或协议约定价值不公允的除外。
企业取得的长期股权投资。实际支付的价款或对价中包含的已宣告但尚未发放的现金股利或利润,应作为应收项目处理,不构成取得长期股权投资的成本。
3.采用成本法核算的长期股权投资
下列长期股权投资,投资企业应采用成本法核算:一是投资企业能够对被投资单位实施控制的;二是投资企业对被投资单位不具有共同控制或重大影响,并且在活跃市场中没有报价、公允价值不能可靠计量的。
在成本法下,长期股权投资在取得时按照初始投资成本计价,其后,除下列情形外,长期股权投资的账面价值一般应保持不变:
(1)投资当年分得的利润或现金股利中属于投资前被投资单位实现的利润分配的部分,应冲减长期股权投资的账面价值。
(2)投资企业追加投资,追加的投资增加长期股权投资的账面价值。
(3)投资企业收回投资,收回的投资减少长期股权投资的账面价值。
(4)投资企业从被投资单位获得的利润或现金股利超过被投资单位接受投资后产生的累积净利润的分配额的部分。投资企业持有长期股权投资期间,被投资单位宣告分派的利润或现金股利,投资企业按其应享有的份额确认为当期投资收益,但投资企业确认的投资收益的数额,仅限于所获得的被投资单位在接受投资后产生的累积净利润的分配额,所获得的利润或现金股利超过上述金额的部分,作为初始投资成本的收回,冲减投资的账面价值。有关计算公式如下:
应冲减初始投资成本的金额=(投资后至本年末止被投资单位累积分派的利润或现金股利-投资后至上年末止被投资单位累积实现的净损益)×投资企业的持股比例-投资企业已冲减的初始投资成本
应确认的投资收益=投资企业当年获得的利润或现金股利-应冲减初始投资成本的金额
投资企业对子公司的长期股权投资,应当采用成本法,编制合并财务报表时按照权益法进行调整。
4.企业对被投资单位具有共同控制或重大影响的长期股权投资应当采用权益法核算
(1)在权益法下,长期股权投资在取得时按照初始投资成本计价。长期股权投资的初始投资成本大于投资时应享有被投资单位可辨认净资产公允价值份额的,不调整长期股权投资的初始投资成本;长期股权投资的初始投资成本小于投资时应享有被投资单位可辨认净资产公允价值份额的,其差额应当计入当期损益,同时调整长期股权投资的成本。
(2)取得长期股权投资后,投资企业应当按照应享有或应分担的被投资单位实现的净损益的份额,确认投资损益并调整长期股权投资的账面价值。投资企业按照被投资单位宣告分派的利润或现金股利计算应分得的部分,相应减少长期股权投资的账面价值。
(3)被投资单位发生净亏损的,投资企业在确认应分担被投资单位发生的亏损时,首先应冲减长期股权投资的账面价值,其次以其他实质上构成对被投资单位净投资的长期权益(通常指长期应收项目,该项目没有明确的清收计划、且在可预见的未来期间不准备收回的)的账面价值为限继续确认投资损失,冲减长期应收项目等的账面价值。
在进行上述处理后,如果按照投资合同或协议约定,投资企业仍承担额外义务的,应按预计承担的义务确认预计负债,计入当期投资损失。
被投资单位以后期间实现盈利的,投资企业扣除未确认的亏损分担额后,应按与上述相反的顺序处理,减记已确认预计负债的账面余额、恢复其他实质上构成对被投资单位净投资的长期权益及长期股权投资的账面价值,同时确认投资收益。投资企业在其收益分享额弥补未确认的亏损分担额后,恢复确认收益分享额。
(4)被投资单位采用的会计政策及会计期间与投资企业不一致的,应当按照投资企业的会计政策及会计期间对被投资单位的财务报表进行调整,并据以确认投资损益。
投资企业对于被投资单位除净损益以外所有者权益的其他变动,在持股比例不变的情况下,投资企业按照持股比例计算应享有或承担的部分,调整长期股权投资的账面价值,同时增加或减少资本公积(其他资本公积)。
5.长期股权投资的处置
处置长期股权投资,其账面价值与实际取得价款的差额,应当计入当期损益。采用权益法核算的长期股权投资,因被投资单位除净损益以外所有者权益的其他变动而计入所有者权益的,处置该项投资时应当将原计入所有者权益的部分按相应比例转入当期损益。
6.长期股权投资的减值
(1)企业对子公司、合营企业及联营企业的长期股权投资,在资产负债表日存在可能发生减值的迹象时,其可收回金额低于账面价值的,应当将该长期股权投资的账面价值减记至可收回金额,减记金额确认为减值损失,计入当期损益,同时计提相应的资产减值准备。
(2)企业对被投资单位不具有控制、共同控制或重大影响,且在活跃市场中没有报价、公允价值不能可靠计量的长期股权投资,应当将该长期股权投资在资产负债表日的账面价值,与按照类似金融资产当时市场收益率对未来现金流量折现确定的现值之间的差额,确认为减值损失,计入当期损益。
五、固定资产、无形资产、投资性房地产
(-)考试目的
通过对固定资产、无形资产、投资性房地产及非货币性资产交换的考核,测试考生对固定资产、无形资产、投资性房地产、非货币性资产交换、货币性资产、非货币性资产等概念的掌握和运用情况;考核考生运用固定资产、无形资产、投资性房地产的确认、初始计量、后续计量、处置、非货币性资产交换的认定、确认和计量原则等解决实际问题的能力。
(二)基本要求。
1.掌握以下内容
(1)固定资产、无形资产、投资性房地产的确认条件、初始计量原则及其会计处理;
(2)固定资产的折旧和后续支出的会计处理、无形资产的摊销方法及其会计处理、投资性房地产后续计量的方法;
(3)固定资产终止确认的条件,固定资产、无形资产处置的会计处理、投资性房地产转换和处置的会计处理;
(4)融资租赁的会计处理;
(5)非货币性资产交换的认定、确认和计量及其会计处理。
2.熟悉以下内容
(1)研究与开发的概念;
(2)无形资产使用寿命的确定原则;
(3)投资性房地产的概念和范围;
(4)融资租赁和经营租赁的分类标准;
(5)非货币性资产交换的概念。
3.了解以下内容
(1)租赁的相关概念;
(2)货币性资产、非货币性资产的概念;
(三)要点说明
1.固定资产的概念和确认
固定资产是指同时具有下列特征的有形资产:(1)为生产商品、提供劳务、出租或经营管理而持有的;(2)使用寿命超过一个会计年度。
固定资产同时满足下列条件的,才能予以确认:(1)与该固定资产有关的经济利益很可能流入企业;(2)该固定资产的成本能够可靠地计量。
周定资产的各组成部分具有不同使用寿命或者以不同方式为企业提供经济利益,适用不同折旧率或折旧方法的,应当分别将各组成部分确认为单项固定资产。
2.固定资产的初始计量
固定资产应当按照成本进行初始计量。固定资产的成本是指企业购建某项固定资产达到预定可使用状态前所发生的一切合理、必要的支出。这些支出包括直接发生的价款、相关税费、运输费、装卸费、安装费和专业人员服务费等,也包括间接发生的费用,如应承担的借款利息、外币借款折算差额以及应分摊的其他间接费用。对于特殊行业的特定固定资产,在确定其成本时,应当考虑预计弃置费用因素。一般工商企业的固定资产发生的报废清理费用,不属于弃置费用,应当在发生时作为固定资产处置费用处理。
(1)外购的固定资产,成本包括购买价款、相关税费①、使固定资产达到预定可使用状态前所发生的可归属于该项资产的运输费、装卸费、安装费和专业人员服务费等。以一笔款项购入多项没有单独标价的固定资产,应当按照各项固定资产公允价值比例对总成本进行分配,分别确定各项固定资产的成本。
购买固定资产的价款超过正常信用条件延期支付,实质上具有融资性质的,固定资产的成本以购买价款的现值为基础确定。实际支付的价款与购买价款的现值之间的差额,应当在信用期间内采用实际利率法进行摊销,摊销金额除满足借款费用资本化条件应当计入固定资产成本外,均应当在信用期间内确认为财务费用,计入当期损益。
(2)自行建造的固定资产,按建造该项固定资产达到预定可使用状态前所发生的必要支出,作为入账价值。其中,必要支出包括工程用物资成本、人工成本、交纳的相关税费、应予资本化的借款费用以及应分摊的间接费用等。
①企业为在建工程准备的各种物资,应当按照实际支付的买价、不能抵扣的增值税额、运输费、保险费等相关费用,作为实际成本,并按照各种专项物资的种类进行明细核算。工程完工后剩余的工程物资,转做本企业库存材料的,按其实际成本或计划成本,转做企业的库存材料。若存在可抵扣的增值税进项税额,应当按减去增值税进项税额后的实际成本或计划成本,转做企业的库存材料。建设期间发生的盘亏、报废、毁损的工程物资,减去保险公司、过失人赔偿部分后的余额,计入所建工程项目的成本;盘盈的工程物资或处置净收益冲减所建工程项目的成本。
②在建工程应当按照实际发生的支出确定其工程成本,并单独核算。企业的自营工程,应当按照直接材料、直接人工、直接机械施工费等计量;企业出包建造的固定资产,按照应支付的工程价款等计量;设备安装工程,按照所安装设备的价值、工程安装费用、工程试运转等所发生的支出等确定工程成本。
工程达到预定可使用状态前因进行试运转所发生的净支出,计入工程成本。企业的在建工程项目在达到预定可使用状态前所取得的、试运转过程中形成的能够对外销售的产品,其发生的成本,计入在建工程成本,销售或转为库存商品时,按实际销售收入或按预计售价冲减工程成本。
由于自然灾害等原因造成的在建工程报废或毁损,减去残料价值和过失人或保险公司等赔款后的净损失,直接计入当期营业外支出。
③所建造的固定资产已达到预定可使用状态,但尚未办理竣工决算的,应当自达到预定可使用状态之日起,根据工程预算、造价或者工程实际成本等,按照估计价值确认为固定资产,并计提折旧。待办理了竣工决算手续后,再按实际成本调整原来的暂估价值,但不需要调整原已计提的折旧额。
(3)投资者投入固定资产的成本,应在办理了固定资产移交手续之后,按照投资合同或协议约定的价值确定,但合同或协议约定价值不公允的除外。
(4)融资租赁,是指实质上转移了与资产所有权有关的全部风险和报酬的租赁。在融资租赁方式下,在租赁期开始日,承租人应将租赁开始日租赁资产公允价值与最低租赁付款额现值两者中较低者作为租入资产的入账价值,将最低租赁付款额作为长期应付款的入账价值,并将两者的差额确认为未确认融资费用。承租人在租赁谈判和签订租赁合同过程中发生的,可归属于租赁项目的手续费、律师费、差旅费、印花税等初始直接费用,应计入租入资产价值。
经营租赁,是指除融资租赁以外的其他租赁。对于经营租赁的租金,承租企业应当在租赁期内各个期间按照直线法计入相关资产成本或当期损益;其他方法更为系统合理的,也可以采用其他方法。承租人发生的初始直接费用,应当计入当期损益。或有租金应当在实际发生时计入当期损益。
3.固定资产的折旧
(1)固定资产的折旧,是指在固定资产使用寿命内,按照确定的方法对应计折旧额进行系统分摊。应计折旧额,是指应当计提折旧的固定资产的原价扣除其预计净残值后的金额。已计提减值准备的固定资产,还应当扣除已计提的固定资产减值准备累计金额。预计净残值,是指假定固定资产预计使用寿命已满并处于使用寿命终了时的预期状态,企业目前从该项资产处置中获得的扣除预计处置费用后的金额。使用寿命,是指企业使用固定资产的预计期间,或者该固定资产所能生产产品或提供劳务的数量。
(2)企业应当对所有固定资产计提折旧。但是,已提足折旧仍继续使用的固定资产和单独计价入账的土地除外。以融资租赁方式租人的固定资产和以经营租赁方式租出的固定资产,应当计提折旧;以融资租赁方式租出的固定资产和以经营租赁方式租人的固定资产,不应当计提折旧。
企业应当根据固定资产的性质和使用情况,合理确定固定资产的使用寿命和预计净残值。固定资产的使用寿命和预计净残值一经确定,不得随意变更。但是,符合以下第(5)项所述情况的除外。
(3)企业应当根据与固定资产有关的经济利益的预期实现方式,合理选择固定资产折旧方法。可选用的折旧方法包括年限平均法、工作量法、双倍余额递减法和年数总和法等。固定资产的折旧方法一经确定,不得随意变更。但是,符合以下第(5)项所述情况的除外。
(4)企业计提的固定资产折旧,应根据固定资产用途,分别计入相关资产的成本或当期损益。企业一般应按月计提折旧,当月增加的固定资产,当月不计提折旧,从下月起计提折旧;当月减少的固定资产,当月仍计提折旧,从下月起不计提折旧。固定资产提足折旧后,不论能否继续使用,均不再计提折旧;提前报废的固定资产,也不再补提折旧。
(5)企业至少应当于每年年度终了,对固定资产的使用寿命、预计净残值和折旧方法进行复核。使用寿命预计数与原先估计数有差异的,应当调整固定资产使用寿命。预计净残值预计数与原先估计数有差异的,应当调整预计净残值。与固定资产有关的经济利益预期实现方式有重大改变的,应当改变固定资产折旧方法。固定资产使用寿命、预计净残值和折旧方法的改变应当作为会计估计变更。
4.固定资产的后续支出
固定资产的后续支出通常包括固定资产在使用过程中发生的修理费用、更新改造支出等。固定资产的后续支出,满足固定资产确认条件的,应当通过"在建工程"科目核算,待固定资产发生的后续支出完工并达到预定可使用状态时,再从在建工程转为固定资产,同时将被替换部分的账面价值扣除,并按重新确定的使用寿命、预计净残值和折旧方法计提折旧。与固定资产有关的修理费用等后续支出,不满足固定资产确认条件的,应当根据不同情况分别在发生时计入当期管理费用或销售费用。
5.固定资产的期末计量
固定资产满足下列条件之一的,应当予以终止确认:(1)该固定资产处于处置状态。(2)该固定资产预期通过使用或处置不能产生经济利益。
企业持有待售的固定资产,应当对其预计净残值进行调整。企业出售、转让、报废固定资产或发生固定资产毁损,应当将处置收入扣除账面价值和相关税费后的金额计入当期损益。此处的账面价值是固定资产成本扣减累计折旧和累计减值准备后的金额。固定资产盘亏造成的损失,应当计入当期损益。固定资产处置一般通过"固定资产清理"科目进行核算。
6.无形资产的概念和确认
(1)无形资产是指企业拥有或者控制的没有实物形态的可辨认非货币性资产。
资产满足下列条件之一的,符合无形资产定义中的可辨认性标准:①能够从企业中分离或者划分出来,并能单独或者与相关合同、资产或负债一起,用于出售、转移、授予许可、租赁或者交换。②源自合同性权利或其他法定权利,无论这些权利是否可以从企业或其他权利和义务中转移或者分离。要作为无形资产进行核算,该资产必须是能够区别于其他资产可单独辨认的。如企业持有的专利权、非专利技术、商标权、著作权、土地使用权、特许权等。商誉的存在无法与企业自身区分开来,由于不具有可辨认性,虽然商誉也是没有实物形态的非货币性资产,但不构成无形资产。
(2)无形资产同时满足下列条件的,才能予以确认:①与该无形资产有关的经济利益很可能流人企业;②该无形资产的成本能够可靠地计量。
企业自创商誉以及内部产生的品牌、报刊名等,不应确认为无形资产。
企业取得的土地使用权通常应确认为无形资产,但改变土地使用权用途,用于赚取租金或资本增值的,应当将其转为投资性房地产。
企业在判断无形资产产生的经济利益是否很可能流入时,直当对无形资产在预计使用寿命内可能存在的各种经济因素做出合理估计,并且应当有明确证据支持。
(3)企业无形项目的支出,除下列情形外,均应于发生时计入当期损益:①符合无形资产确认条件、构成无形资产成本的部分;②非同一控制下企业合并中取得的、不能单独确认为无形资产、构成购买日确认的商誉的部分。
企业内部研究开发项目的支出,应当区分研究阶段支出与开发阶段支出。研究是指为获取并理解新的科学或技术知识而进行的独创性的有计划调查。开发是指在进行商业性生产或使用前,将研究成果或其他知识应用于某项计划或设计,以生产出新的或具有实质性改进的材料、装置、产品等。
企业内部研究开发项目研究阶段的支出,应当于发生时计入当期损益。企业内部研究开发项目开发阶段的支出,同时满足下列条件的,才能确认为无形资产:①完成该无形资产以使其能够使用或出售在技术上具有可行性;②具有完成该无形资产并使用或出售的意图;③无形资产产生经济利益的方式,包括能够证明运用该无形资产生产的产品存在市场或无形资产自身存在市场,无彤资产将在内部使用的,应当证明其有用性;④有足够的技术、财务资源和其他资源支持,以完成该无形资产的开发,并有能力使用或出售该无形资产;⑤归属于该无形资产开发阶段的支出能够可靠地计量。
无法区分研究阶段和开发阶段的支出,应当在发生时作为管理费用,全部计入当期损益。企业取得的已作为无形资产确认的正在进行中的研究开发项目,在取得后发生的支出应当按照上述原则处理。
7.无形资产的初始计量
无形资产应当按照成本进行初始计量。
(1)外购无形资产的成本,包括购买价款、相关税费以及直接归属于使该项资产达到预定用途所发生的其他支出。购买无形资产的价款超过正常信用条件延期支付,实质上具有融资性质的,无形资产的成本以购买价款的现值为基础确定。
(2)自行开发的无形资产,其成本包括满足无形资产确认条件后至达到预定用途前所发生的支出总额,但是对于以前期问已经费用化的支出不再调整。
(3)投资者投入无形资产的成本,应当按照投资合同或协议约定的价值确定,但合同或协议约定价值不公允的除外。
(4)土地使用权用于自行开发建造厂房等地上建筑物时,应与地上建筑物分别进行摊销和计提折旧。外购土地及建筑物支付的价款应当在建筑物与土地使用权之间进行分配;难以合理分配的,应当全部作为固定资产。房地产开发企业取得土地用于建造对外出售的房屋建筑物,相关的土地使用权账面价值应当计入所建造的房屋建筑物成本。
8.无形资产的后续计量
企业应当于取得无形资产时分析判断其使用寿命。无形资产的使用寿命为有限的,应当估计该使用寿命的年限或者构成使用寿命的产量等类似计量单位数量;无法预见无形资产为企业带来经济利益期限的,应当视为使用寿命不确定的无形资产。企业持有的无形资产,通常来源于合同性权利或是其他法定权利,而且合同或法律规定有明确的使用年限。来源于合同性权利或其他法定权利的无形资产,其使用寿命不应超过合同性权利或其他法定权利的期限。合同性权利或其他法定权利能够在到期时因续约等延续,且有证据表明企业续约不需要付出大额成本的,续约期应当计入使用寿命。合同或法律没有规定使用寿命的,企业应当综合各方面因素判断,以确定无形资产能为企业带来经济利益的期限。经过上述方法仍无法合理确定无形资产为企业带来经济利益的期限的,才能将其作为使用寿命不确定的无形资产。
(1)使用寿命有限的无形资产,其应摊销金额应当在使用寿命内系统合理摊销。无形资产的应摊销金额为其成本扣除预计残值后的金额。已计提减值准备的无形资产,还应扣除已计提的无形资产减值准备累计金额。
使用寿命有限的无形资产,其残值应当视为零,但下列情况除外:①有第三方承诺在无形资产使用寿命结束时购买该无形资产。②可以根据活跃市场得到预计残值信息,并且该市场在无形资产使用寿命结束时很可能存在。
(2)企业摊销无形资产,应当自无形资产可供使用时起,至不再作为无形资产确认时止。企业选择的无形资产摊销方法,应当反映与该项无形资产有关的经济利益的预期实现方式。无法可靠确定预期实现方式的,应当采用直线法摊销。无形资产的摊销一-般应计入当期损益(管理费用、其他业务成本等),但如果某项无形资产是专门用于生产某种产品的,其所包含的经济利益是通过转入到所生产的产品或其他资产中体现,则无形资产的摊销费用应构成其他资产成本的一部分。如,某项专门用于生产过程中的无形资产,其摊销费用应构成所生产产品成本的一部分。
(3)使用寿命不确定的无形资产不应摊销。
(4)企业至少应当于每年年度终了,对使用寿命有限的无形资产的使用寿命及摊销方法进行复核。无形资产的使用寿命及摊销方法与以前估计不同的,应当改变摊销期限和摊销方法。
企业应当在每个会计期间对使用寿命不确定的无形资产的使用寿命进行复核。如果有证据表明无形资产的使用寿命是有限的,应当估计其使用寿命,其应摊销金额应当在使用寿命内系统合理摊销。
9.无形资产的处置
企业让渡无形资产使用权形成的租金收入和发生的相关费用,分别确认为其他业务收人和其他业务成本。企业出售无形资产,应当将取得的价款与该无形资产账面价值的差额计入当期损益(营业外收入或营业外支出)。无形资产预期不能为企业带来经济利益的,应当将该无形资产的账面价值予以转销,计入当期损益(营业外支出)。
10.投资性房地产的概念和范围
投资性房地产是指为赚取租金或资本增值,或两者兼有而持有的房地产。投资性房地产应当能够单独计量和出售。
投资性房地产主要包括:已出租的土地使用权、持有并准备增值后转让的土地使用权和已出租的建筑物。
下列各项不属于投资性房地产:(1)自用房地产,即为生产商品、提供劳务或者经营管理而持有的房地产;(2)作为存货的房地产。
11.投资性房地产的确认和初始计量
投资性房地产同时满足下列条件的,才能予以确认:(1)与该资产相关的经济利益很可能流入企业;(2)该投资性房地产的成本能够可靠地计量。
投资性房地产应当按照成本进行初始计量:(1)外购投资性房地产的成本,包括购买价款、相关税费和可直接归属于该资产的其他支出;(2)自行建造投资性房地产的成本,由建造泫项资产达到预定可使用状态前所发生的必要支出构成;(3)以其他方式取得的投资性房地产的成本,参照固定资产和无形资产的相关要求确定。
12.投资性房地产的后续计量和后续支出
企业通常应当采用成本模式对投资性房地产进行后续计量,也可以采用公允价值模式对投资性房地产进行后续计量。但是,同一企业只能采用一种模式对所有投资性房地产进行后续计量,不得同时采用两种计量模式。
(1)采用成本模式进行后续计量的投资性房地产,应当按照固定资产或无形资产的有关规定进行后续计量,计提折旧或进行摊销,存在减值迹象的,还应当按照资产减值的有关规定进行处理。
(2)企业只有存在确凿证据表明投资性房地产的公允价值能够持续可靠取得,才可咀采用公允价值模式对投资性房地产进行后续计量。企业一旦选择采用公允价值计量模式,就应当对其所有投资性房地产均采用公允价值模式进行后续计量。采用公允价值模式进行后续计量的投资性房地产应当同时满足下列条件:一是投资性房地产所在地有活跃的房地产交易市场;二是企业能够从活跃的房地产交易市场上取得同类或类似房地产的市场价格及其他相关信息,从而对投资性房地产的公允价值作出合理的估计。
企业采用公允价值模式进行后续计量的,不对投资性房地产计提折旧或进行摊销,应当以资产负债表日投资性房地产的公允价值为基础调整其账面价值,公允价值与原账面价值之间的差额计入当期损益(公允价值变动损益)。投资性房地产取得的租金收入确认为其他业务收入。
(3)投资性房地产后续计量模式的变更
企业对投资性房地产的计量模式一经确定,不得随意变更。从成本模式转为公允价值模式的,应当作为会计政策变更处理,将计量模式变更时公允价值与账面价值的差额,调整期初留存收益。已采用公允价值模式计量的投资性房地产,不得从公允价值模式转为成本模式。
(4)与投资性房地产有关的后续支出,满足投资性房地产确认条件的,应当计入投资性房地产成本。不满足投资性房地产确认条件的,应当在发生时计入当期损益。
13.投资性房地产的转换和处置
(1)房地产的转换,实质上是因房地产用途发生改变而对房地产进行的重新分类。发生房地产转换时,将终止确认一项资产,同时确认另一项资产。企业有确凿证据表明房地产用途发生改变,满足下列条件之一的,应当将投资性房地产转换为其他资产或者将其他资产转换为投资性房地产:①投资性房地产开始自用;②作为存货的房地产,改为出租;③自用土地使用权停止自用,用于赚取租金或资本增值;④自用建筑物停止自用,改为出租。
投资性房地产开始自用,其转换日为房地产达到自用状态,企业开始将房地产用于生产商品、提供劳务或者经营管理的日期。作为存货的房地产改为出租,或者自用建筑物、自用土地使用权停止自用改为出租,其转换日为租赁期开始日。
(2)在成本模式下,房地产转换的会计处理应当足将房地产转换前的账面价值作为转换后的入账价值。
采用公允价值模式计量的投资性房地产转换为自用房地产时,应当以其转换当日的公允价值作为自用房地产的账面价值,公允价值与原账面价值的差额计入当期损益(公允价值变动损益)。
自用房地产或存货转换为采用公允价值模式计量的投资性房地产时,投资性房地产按照转换当日的公允价值计量,转换当日的公允价值小于原账面价值的,其差额计入当期损益(公允价值变动损益),转换当日的公允价值大于原账面价值的,其差额作为资本公积(其他资本公积),计入所有者权益。处置该项投资性房地产时,原计入所有者权益的部分应当转入处置当期损益(其他业务收入)。
(3)当投资性房地产被处置,或者永久退出使用且预计不能从其处置中取得经济利益时,应当终止确认该项投资性房地产。
企业出售、转让、报废投资性房地产或者发生投资性房地产毁损时,应当将处置收入扣除其账面价值和相关税费后的金额计入当期损益,即将实际收到的处置收入计入其他业务收入,所处置投资性房地产的账面价值计入其他业务成本。
14.非货币性资产交换
(1)非货币性资产交换是指交易双方主要以存货、固定资产、无形资产和长期股权投资等非货币性资产进行的交换。该交换不涉及或只涉及少量的货币性资产(即补价)。其中,货币性资产。是指企业持有的货币资金和将以固定或可确定的金额收取的资产,包括现金、银行存款、应收账款和应收票据以及准备持有至到期的债券投资等。非货币性资产是指货币性资产以外的资产。
认定涉及少量货币性资产的交换为非货币性资产交换,通常以补价占整个资产交换金额的比例低于25%作为参考。支付的货币性资产占换人资产公允价值(或占换出资产公允价值与支付的货币性资产之和)的比例低于25%(不含25%)的,视为非货币性资产交换;高于25%(含25%)的,则视为以货币性资产取得非货币性资产。
(2)非货币性资产交换同时满足下列条件的,应当以公允价值和应支付的相关税费作为换入资产的成本,公允价值与换出资产账面价值的差额计入当期损益:①该项交换具有商业实质;②换入资产或换出资产的公允价值能够可靠地计量。换人资产和换出资产公允价值均能够可靠计量的,应当以换出资产的公允价值作为确定换人资产成本的基础,但有确凿证据表明换人资产的公允价值更加可靠的除外。
满足下列条件之一的非货币性资产交换具有商业实质:一是换入资产的未来现金流量在风险、时间和金额方面与换出资产显著不同。二是换人资产与换出资产的预计未来现金流量现值不同,且其差额与换人资产和换出资产的公允价值相比是重大的。在确定非货币性资产交换是否具有商业实质时,企业应当关注交易各方之间是否存在关联方关系。关联方关系的存在可能导致发生的非货币性资产交换不具有商业实质。
(3)企业在按照公允价值和应支付的相关税费作为换入资产成本的情况下,公允价值与换出资产账面价值之间的差额计入当期损益。发生补价的,应当分别下列情况处理:①支付补价的,应当以换出资产的公允价值加上支付的补价(或换入资产的公允价值)和应支付的相关税费,作为换人资产的成本。②收到补价的,应当以换出资产的公允价值减去补价(或换人资产的公允价值)加上应支付的相关税费,作为换入资产的成本。
换出资产公允价值与其账面价值的差额应当分别不同情况处理:①换出资产为存货的,应当作为销售处理,按其公允价值确认收入,同时结转相应的成本。②换出资产为固定资产、
无形资产的,换出资产公允价值与其账面价值的差额,计入营业外收入或营业外支出。③换出资产为长期股枞投资的,换出资产公允价值与其账面价值的差额计入投资损益。
企业在按照换出资产的账面价值和应支付的相关税费作为换人资产成本的情况下,应当以换出资产的账面价值和应支付的相关税费作为换人资产的成本,不确认损益。发生补价的,应当分别下列情况处理:①支付补价的,应当以换出资产的账面价值,加上支付的补价和应支付的相关税费,作为换入资产的成本,不确认损益。②收到补价的,应当以换出资产的账面价值,减去收到的补价并加上应支付的相关税费,作为换人资产的成本,不确认损益。
(4)非货币性资产交换同时换人多项资产的,在确定各项换人资产的成本时,应当分别下列情况处理:①非货币性资产交换具有商业实质,且换入资产的公允价值能够可靠计量的,应当按照换人各项资产的公允价值占换入资产公允价值总额的比例,对换入资产的成本总额进行分配,确定各项换人资产的成本。②非货币性资产交换不具有商业实质,或者虽具有商业实质但换入资产的公允价值不能可靠计量的,应当按照换入各项资产的原账面价值占换入资产原账面价值总额的比例,对换人资产的成本总额进行分配,确定各项换入资产的成本。
六、资产减值
(一)考试目的
通过对资产减值的考核,测试考生对资产减值基本原理与方法的掌握和运用情况,考核考生运用资产减值的认定、资产可收回金额的计量、资产减值损失的确定等处理原则解决实际问题的能力。
(二)基本要求
1.掌握以下内容
(1)资产减值的认定;
(2)单项资产减值可收回金额的计量;
(3)单项资产减值损失的确定及减值会计处理;
(4)资产组的认定及其减值的会计处理;
(5)商誉减值的处理。
2.熟悉以下内容
(1)资产公允价值减去处置费用后的净额的确定;
(2)预计未来现金流量及其现值的确定;
(3)总部资产减值的会计处理。
3.了解以下内容
(1)资产减值的概念;
(2)可收回金额的概念。
(三)要点说明
1.资产减值的定义
资产减值,是指资产的可收回金额低于其账面价值。
2.资产减值的认定
(1)企业应当在资产负债表日判断资产是否存在可能发生减值的迹象,有确凿证据表明资产存在减值迹象的,应当进行减值铡试。因企业合并所形成的商誉和使用寿命不确定的无形资产,无论是否存在减值迹象,至少每年都应当进行减值测试。
(2)存在下列迹象的,表明资产可能发生了减值:①资产的市价当期大幅度下跌,其跌幅明显高于因时间的推移或者正常使用而预计的下跌。②企业经营所处的经济、技术或者法律等环境以及资产所处的市场在当期或者将在近期发生重大变化,从而对企业产生不利影响。③市场利率或者其他市场投资报酬率在当期已经提高,从而影响企业计算资产预计未来现金流量现值的折现率,导致资产可收回金额大幅度降低。④有证据表明资产已经陈旧过时或者其实体己经损坏。⑤资产已经或者将被闲置、终止使用或者计划提前处置。⑥企业内部报告的证据表明资产的经济绩效已经低于或者将低于预期,如资产所创造的净现金流量或者实现的营业利润(或者亏损)远远低于(或者高于)预计金额等。⑦其他表明资产可能已经发生减值的迹象。
3.资产可收回金额的计量
(1)资产存在减值迹象的,应当估计其可收回金额。可收回金额应当根据资产的公允价值减去处置费用后的净额与资产预计未来现金流量的现值两者之间较高者确定。处置费用包括与资产处置有关的法律费用、相关税费、搬运费以及为使资产达到可销售状态所发生的直接费用等。
(2)资产的公允价值减去处置费用后的净额与资产预计未来现金流量的现值,只要有一项超过了资产的账面价值,就表明资产没有发生减值,不需再估计另一项金额。
(3)资产的公允价值减去处置费用后的净额,应当根据公平交易中销售协议价格减去可直接归属予该资产处置费用的金额确定。
不存在销售协议但存在资产活跃市场的,应当按照该资产的市场价格减去处置费用后的金额确定。资产的市场价格通常应当根据资产的买方出价确定。
在不存在销售执议和资产活跃市场的情况下,应当以可获取的最佳信息为基础,估计资产的公允价值减去处置费用后的净额,该净额可以参考同行业类似资产的最近交易价格或者结果进行估计。
(4)资产预计未来现金流量的现值,应当按照资产在持续使用过程中和最终处置时所产生的预计未来现金流量,选择恰当的折现率对其进行折现后的金额加以确定。
预计资产未来现金流量的现值,应当综合考虑资产的预计未来现金流量、使用寿命和折现率等因素。
预计资产未来现金流量应当包括如下内容:资产持续使用过程中预计产生的现金流入;为实现资产持续使用过程中产生的现金流人所必需的预计的现金流出,包括为使资产达到预定可使用状态所发生的现金流出;资产使用寿命结束时,处置资产所收到或者支付的净现金流量。
预计资产未来现金流量应当考虑以下主要因素:预计资产未来现金流量和折现率,应当在一致的基础上考虑因一般通货膨胀而导致物价上涨等因索的影响;预计资产未来现金流量,应当分析以前期间现金流量预计数与实际数的差异情况,以评判预计当期现金流量所依据假设的合理性;预计资产未来现金流量应当以资产的当前状况为基础,不应包括与将来可能会发生的、尚未作出承诺的重组事项有关或者与资产改良有关的预计未来现金流量。也不应当包括筹资活动产生的现金流入或者流出以及与所得税收付有关的现金流量;预计在建工程、开发过程中的无形资产等的未来现金流量,应当包括预期为使资产达到预定可使用或可销售状态而发生的全部现金硫出;资产的未来现金流量受内部转移价格影响的,应当采用在公平交易前提下企业管理层能够达成的最佳价格估计数进行预计。
预计资产未来现金流量时,企业管理层应当在合理和有依据的基础上对资产剩余使用寿命内整个经济状况进行最佳估计;预计资产未来现金流量,应以经企业管理层批准的最近财务预算或者预测数据,以及该预算或者预测期之后年份稳定的或者递减的增长率为基础。企业管理层如能证明递增的增长率是合理的,可以以递增的增长率为基础;建立在预算或者预测基础上的预计现金流量最多涵盖5年,企业管理层如能证明更长的期间是合理的,可以涵盖更长的期间。
(5)折现率是反映当前市场货币时间价值和资产特定风险的税前利率。该折现率是企业在购置或者投资资产时所要求的必要报酬率。在预计资产的未来现金流量时已经对资产特定风险的影响作了调整的,估计折现率不需要考虑这些特定风险。如果用于估计折现率的基础是税后的,应当将其调整为税前的折现率。
折现率的确定应当以该资产的市场利率为依据。该资产的利率无法从市场获得的,可以使用替代利率估计折现率。替代利率可以根据加权平均资金成本、增量借款利率或其他相关市场借款利率作适当调整后确定。调整时应当考虑与资产预计现金流量有关的特定风险以及其他有关政治风险、货币风险和价格风险等。估计资产未来现金流量现值,通常应当使用单一的折现率。资产未来现金流量的现值对未来不同期间的风险差异或利率的期间结构反应敏感的,应当在未来各不同期间采用不同的折现率。
预计资产的未来现金流量涉及外币的,应当以该资产所产生的未来现金流量的结算货币为基础,按照该货币适用的折现率计算资产的现值;然后将该外币现值按照计算资产未来现金流量现值当日的即期汇率进行折算。
4.资产减值损失的确定
可收回金额的计量结果表明,资产的可收回金额低于其账面价值的,应当将资产的账面价值减记至可收回金额,减记的金额确认为资产减值损失,计入当期损益,同时计提相应的资产减值准备。
资产减值损失一经确认,在以后会计期间不得转回。
5.资产组减值
(1)资产组是指企业可以认定的最小资产组合,其产生的现金流人应当基本上独立于其他资产或者资产组产生的现金流人。资产组应当由创造现金流入相关的资产组成。
(2)资产组的认定,应当以资产组产生的主要现金流入是否独立于其他资产或者资产组的现金流人为依据。同时,在认定资产组时,应当考虑企业管理层管理生产经营活动的方式(如是按照生产线、业务种类还是按照地区或者区域等)和对资产的持续使用或者处置的决策方式等。
(3)资产组账面价值的确定基础应当与其可收回金额的确定方式相一致。资产组的账面价值包括可直接归属于资产组与可以合理和一致地分摊至资产组的资产账面价值,通常不应当包括已确认负债的账面价值,但如不考虑该负债金额就无法确定资产组可收回金额的除外。
(4)有迹象表明一项资产可能发生减值的,企业应当以单项资产为基础估计其可收回金额。企业难以对单项资产的可收回金额进行估计的,应当以该资产所属的资产组为基础确定资产组的可收回金额。
(5)资产组或者资产组组合的可收回金额低于其账面价值的(总部资产和商誉分摊至某资产组或者资产组组合的,该资产组或者资产组组合的账面价值应当包括相关总部资产和商誉的分摊额),应当确认相应的减值损失。减值损失金额应当先抵减分摊至资产组或者资产组组合中商誉的账面价值,再根据资产组或者资产组组合中除商誉之外的其他各项资产的账面价值所占比重,按比例抵减其他各项资产的账面价值。
以上资产账面价值的抵减,应当作为各单项资产(包括商誉)的减值损失处理,计入当期损益。抵减后的各资产的账面价值不得低于以下三者之中最高者:该资产的公允价值减去处
置费用后的净额(如可确定的)、该资产预计未来现金流量的现值(如可确定的)和零。因此而导致的未能分摊的减值损失金额,应当按照相关资产组或者资产组组合中其他各项资产的账面价值所占比重进行分摊。
6.总部资产减值
总部资产包括企业集团或其事业部的办公楼、电子数据处理设备等资产。
有迹象表明某项总部资产可能发生减值的,企业应当计算确定该总部资产所归属的资产组或者资产组组合的可收回金额,然后将其与相应的账面价值相比较,据以判断是否需要确认减值损失。
7.商誉减值
(1)企业合并所形成的商誉,至少应当在每年年度终了进行减值测试。商誉直当结合与其相关的资产组或者资产组组合进行减值测试。
(2)企业进行资产减值测试,对于因企业合并形成的商誉的账面价值,应当自购买日起按照合理的方法分摊至相关的资产组;难以分摊至相关的资产组的,应当将其分摊至相关的资产组组合。
(3)在对包含商誉的相关资产组或者资产组组合进行减值测试时,如与商誉相关的资产组或者资产组组合存在减值迹象的,应当先对不包含商誉的资产组或者资产组组合进行减值测试,计算可收回金额,并与相关账面价值相比较,确认相应的减值损失。再对包含商誉的资产组或者资产组组合进行减值测试,比较这些相关资产组或者资产组组合的账面价值(包括所分摊的商誉的账面价值部分)与其可收回金额,如相关资产组或者资产组组合的可收回金额低于其账面价值的,应当确认商誉的减值损失,按照资产减值准则第二十二条的规定处理。
七、负债
(一)考试目的
通过本部分的考试,测试考生对负债、债务重组、借款费用和或有事项等概念的熟悉情况,考核考生对各种类型负债的会计处理、债务重组的会计处理、借款费用的会计处理的能力。
(二)基本要求
1.掌握以下内容
(1)短期借款、应付票据、应付账款、应交税费的会计处理:
(2)长期借款、长期债券的会计处理;
(3)债务重组的会计处理;
(4)借款费用的概念及确认原则;
(5)借款费用开始资本化、暂停资本化和停止资本化的条件:
(6)借款费用资本化金额的计算方法;
(7)或有事项的确认和计量原则。'
2.熟悉以下内容
(1)预收账款、应付股利、应付职工薪酬、其他应付款的会计处理;
(2)可转换公司债券、长期应付款的会计处理;
(3)债务重组的概念及其方式。
3.了解以下内容
(1)专项应付款的会计处理;
(2)专门借款的概念;
(3)以现金结算的股份支付形成的应付职工薪酬。
(三)要点说明
1.流动负债
(1)企业的短期借款利息按月支付,或者利息是在借款到期归还本金时一并支付,且数额不大,可以在实际支付或收到银行的计息通知时,直接计入当期损益;如果短期借款的利息按期支付(如按季),或者利息是在借款到期归还本金时一并支付,且数额较大,可以采用预提的办法,按月预提计入当期损益。
(2)企业的带息应付票据,通常应在期末时,对尚未支付的应付票据计提利息,计入当期财务费用;票据到期支付票款时,尚未计提的利息部分直接计入当期财务费用。
企业开出、承兑商业承兑汇票如不能按期支付,应在票据到期时,将应付票据账面价值转入应付账款核算。如协商后签发新票据清偿原应付票据的,须从应付账款转入应付票据核算。银行承兑汇票到期,如企业无力支付到期票款,承兑银行除凭票向持票人无条件支付票款外,对出票人尚未支付的汇票金额转作逾期贷款处理,并按一定的利率计收利息。
(3)应付账款、预收账款和其他应付款,一般应按应付金额或预收金额入账。如因债权单位撤销或其他原因而无法支付,或者将应付账款划转给关联方等其他企业,企业无法支付或无须支付的应付款项应计入营业外收入。
(4)应交税费,包括企业依法交纳的增值税、消费税、营业税、所得税、资源税、土地增值税、城市维护建设税、房产税、土地使用税、车船使用税、教育费附加等税费,以及在上交国家之前由企业代扣代缴的个人所得税等。
①企业的增值税,在"应交税费"科目下设置"应交增值税"、"未交增值税"明细科目进行核算。"应交税费——应交增值税"明细账内,分别设置"进项税额"、"已交税金"、"减免税款"、"销项税额"、"出口退税"、"进项税额转出"等专栏。
小规模纳税企业只需设置"应交增值税"明细科目,不需要设置上述专栏。
企业将货物交付他人代销;销售代销货物;将自产或委托加工的货物用于非应税项目;将自产、委托加工或购买的货物作为投资,提供给其他单位或个体经营者;将自产、委托加工或购买的货物分配给股东或投资者;将自产、委托加工的货物用于集体福利或个人消费,将自产、委托加工或购买的货物无偿赠送他人等行为,应视同销售货物,要缴纳增值税。
小规模纳税企业购入货物无论是否取得增值税专用发票,其支付的增值税额均不得从销项税额中抵扣,而计入购入货物的成本。相应地,其他企业从小规模纳税企业购入货物或接受劳务支付的增值税额,如果不能取得增值税专用发票,也不能作为进项税额抵扣,面应计入购入货物或应税劳务的成本。
②消费税实行价内征收,企业交纳的消费税计入"营业税金及附加"科目,按规定应交的消费税,在"应交税费"科目下设置"应交消费税"明细科目核算。需要交纳消费税的委托加工物资,于委托方提货时,由受托方代收代交税款。委托加工物资收回后,直接用于销售的,应将代收代交的消费税计入委托加工物资的成本;委托加工物资收回后用于连续生产的,按规定准予抵扣的,应按代收代交的消费税,确认应交消费税。
③营业税是对提供劳务、出售无形资产或者销售不动产的单位和个人征收的税种。企业按规定应交的营业税,在"营业税金及附加"和"应交税费——应交营业税"科目中核算。
(5)股份有限公司股东大会或类似机构宣告发放的现金股利,在其实际支付之前通过应付股利核算;董事会或类似机构拟分配的现金股利或利润,不做账务处理,但应在附注中披露。
(6)企业应付给职工薪酬是指企业为获得职工提供的服务而给予各种形式的报酬以及其他相关支出,包括职工在职期间和离职后提供给职工的全部货币性薪酬和非货币性福利,主要包括:职工工资、奖金、津贴和补贴;职工福利费;医疗保险费、养老保险费、失业保险费、工伤保险费和生育保险费等社会保险费;住房公积金;工会经费和职工教育经费;非货币性福利;其他与获得职工提供的服务相关的支出等,不论是否在当月支付,均通过"应付职工薪酬"科目核算。企业提供给职工配偶、子女或其他被赡养人的福利等,也属于职工薪酬。企业在职工劳动合同到期之前解除与职工的劳动关系,或者为鼓励职工自愿接受裁减而提出给予补偿的建议,如果企业已经制定正式的解除劳动关系计划或提出自愿裁减建议并即将实施,且企业不能单方面撤回解除劳动关系计划或裁减建议,应当确认因解除与职工的劳动关系给予补偿而产生的预计负债,通过"应付职工薪酬"科目核算。
企业对职工的股份支付在本质上也属于职工薪酬。以现金进行结算的股份支付,按照企业承担的以股份或其他权益工具为基础计算确定的公允价值,通过"应付职工薪酬"科目核算。
外商投资企业按规定从税后利润中提取的职工奖励及福利基金,用于支付职工的非经常性奖金(如特别贡献奖、年终奖等)和职工集体福利的,也通过"应付职工薪酬"科目核算。
2.长期负债
(1)长期借款应按公允价值进行初始计量;采用实际利率法,按摊余成本进行后续计量;其所发生的利息支出、汇兑损失等借款费用,应视属于筹建期间还是经营期间,分别通过管理费用或财务费用核算。长期借款的借款费用,应按借款费用准则规定予以资本化或费用化。
(2)应付债券。应当按照公允价值(即实际的发行价格总额)进行初始计量。债券发行价格总额与债券面值总额的差额,作为债券溢价或折价,在债券的存续期间内按实际利率法于计提利息时进行摊销,并按借款费用准则处理。企业应当采用实际利率法,按摊余成本对应付债券进行后续计量。
企业发行的可转换公司债券,应当在初始确认时将其包含的负债成分和权益成分进行分拆,将负债成分确认为应付债券,将权益成分确认为资本公积(其他资本公积)。在进行分拆时,应当先对负债成分的未来现金流量进行折现确定负债成分的初始确认金额,再按发行价格总额扣除负债成分初始确认金额后的金额确定权益成分的初始确认金额。发行可转换公司债券发生的交易费用,应当在负债成分和权益成分之问按照各自的相对公允价值进行分摊。
对于可转换公司债券的负债成分,在转换为股份前,其会计处理与一般公司债券相同,即按照实际利率和摊余成本确认利息费用,按照面值和票面利率确认应付利息,差额作为利息调整。可转换公司债券持有者在债券存续期间内行使转换权利,将可转换公司债券转换为股份时,对于债券面额不足转换股股份的部分,企业应当以现金偿还。
企业发行附有赎回选择权的可转换公司债券,其在赎回日可能支付的利息补偿金,即债券约定赎回期届满日应当支付的利息减去应付债券票面利息的差额,应当在债券发行日至债券约定赎回届满日期间计提应付利息,计提的应付利息,按借款费用准则处理。
(3)长期应付款是指企业除长期借款和应付债券以外的其他各种长期应付款项,包括应付融资租入固定资产的租赁费、以分期付款方式购入固定资产发生的应付款项、采用补偿贸易方式引进国外设备发生的应付款项等。企业应当采用实际利率法,按摊余成本对长期应付款进行后续计量。
(4)专项应付款是指企业取得政府作为企业所有者投入的具有专项或特定用途的款项,如专项用于技术改造、技术研究等,以及从其他来源取得的款项。企业收到或应收的资本性拨款作为专项应付款处理,待拨款项目完成后,属于未形成长期资产的部分,予以核销;属于形成长期资产项目的部分转入资本公积。
3.债务重组
(1)债务重组是指在债务人发生财务困难的情况下,债权人按照其与债务人达成的协议或者法院的裁定做出让步的事项。债务重组仅指持续经营情况下的债务重组。
债务重组的方式包括:以资产清偿债务;将债务转为资本;修改其他债务条件,如减少债务本金、减少债务利息等;混合重组,即以上三种方式的组合。
(2)以现金清偿债务的,债务人应当将重组债务的账面价值与实际支付现金之间的差额,计入当期损益;债权人应当将重组债权账面余额与收到的现金之间的差额,计入当期损益,债权人已对重组债权计提减值准备的,应当先将该差额冲减减值准备,减值准备不足以冲减的部分,计入当期损益。
(3)以非现金资产清偿债务的,债务人应当将重组债务的账面价值与转让的非现金资产公允价值之间的差额,计入当期损益,转让的非现金资产的公允价值与其账面价值之问的差额,计入当期损益;债权人应当对受让非现金资产按其公允价值入账,重组债权的账面余额与受让的非现金资产的公允价值之同的差额,计入当期损益。
(4)债务人以债务转为本企业资本,债务人应当将债权人放弃债权而享有股份的面值总额确认为股本(或者实收资本),股份的公允价值总额与股本(或实收资本)之间的差额确认为资本公积,重组债务的账面价值与股份的公允价值总额之间的差额,计入当期损益;债权人应当将享有股份的公允价值确认为对债务人的投资,重组债权的账面余额与股份的公允价值之间的差额,计入当期损益,债权人已对重组债权计提减值准备的,应当先将该差额冲减减值准备,减值准备不足以冲减的部分,计入当期损益。
(5)修改其他债务条件后,债务人应当将修改其他债务条件后债务的公允价值作为重组后债务的入账价值。重组债务的账面价值与重组后债务的入账价值之间的差额,计入当期损益。修改后的债务条款如涉及或有应付金额,且该或有应付金额符合或有事项准则中有关预计负债确认条件的,债务人应当将该或有应付金额确认为预计负债。重组债务的账面价值与重组后债务的入账价值和预计负债金额之和的差额,计入当期损益。或有应付金额,是指需要根据未来某种事项出现而发生的应付金额,而且该未来事项的出现具有不确定性。
修改其他债务条件的,债权人应当将修改其他债务条件后的债权的公允价值作为重组后债权的账面价值,重组债权的账面余额与重组后债权的账面价值之间的差额,计入当期损益,债权人已对重组债权计提减值准备的,应当先将该差额冲减减值准备,减值准备不足以冲减的部分,计入当期损益。修改后的债务条款中涉及或有应收金额的,债权人不应当确认或有应收金额。不得将其计入重组后债权的账面价值。或有应收金额是指需要根据未来某种事项出现而发生的应收金额,而且该未来事项的出现具有不确定性。
(6)债务重组以现金清偿债务、非现金资产清偿债务、债务转为资本、修改其他债务条件等方式的组合进行的,债务人应当依次以支付的现金、转让的非现金资产公允价值、债权人享有股份的公允价值冲减重组债务的账面价值,再按照修改其他债务条件的规定处理;债权人应当依次以收到的现金、接受的非现金资产公允价值、债权人享有股份的公允价值冲减重组债权的账面余额,再按照修改其他债务条件的规定处理。
4.借款费用
(1)借款费用是指企业因借款而发生的利息及其他相关成本。借款费用包括借款利息、折价或者溢价的摊销、辅助费用以及因外币借款而发生的汇兑差额等。
(2)企业发生的借款费用,可直接归属于符合资本化条件的资产的购建或者生产的,应当予以资本化,计入相关资产成本,但是,在资本化期间内,每一会计期间的利息资本化金额,不应当超过当期相关借款实际发生的利息金额;其他借款费用,应区别情况进行核算:如果该借款费用属于在筹建期间发生的,应根据其发生额计入管理费用;如果该借款费用属于在生产经营期间发生的,应根据其发生额确认为财务费用。符合资本化条件的资产,是指需要经过相当长时间的购建或者生产活动才能达到预定可使用或者可销售状态的固定资产、投资性房地产和存货等资产。
①在资本化期间内,为购建或者生产符合资本化条件的资产而借人专门借款的,应当以专门借款当期实际发生的利息费用减去将尚未动用的借款资金存入银行取得的利息收入或进行暂时性投资取得的投资收益后的金额确定。专门借款是指为购建或者生产符合资本化条件的资产而专门借入的款项。这种款项应具有标明该用途的借款合同。
②在资本化期间内,为购建或者生产符合资本化条件的资产而占用了~般借款的,企业应当根据累计资产支出超过专门借款部分的资产支出加权平均数乘以所占用一般借款的资本化率,计算确定一般借款应予资本化的利息金额。资本化率应当根据一般借款加权平均利率计算确定。
资本化期间是指从借款费用开始资本化时点到停止资本化时点的期间,但借款费用暂停资本化的期间不包括在内。
(3)借款存在折价或者溢价的,应当按照实际利率法确定每一会计期间应摊销的折价或者溢价金额,调整每期利息金额。在资本化期间内,外币专门借款本金及利息的汇兑差额,应当予以资本化,计入符合资本化条件的资产的成本。其他的借款利息、折价或溢价的摊销和汇兑差额。应于发生当期确认为费用。
(4)借款费用同时满足下列条件的,才能开始资本化:资产支出已经发生,资产支出包括为购建或者生产符合资本化条件的资产而以支付现金、转移非现金资产或者承担带息债务形式发生的支出;借款费用已经发生;为使资产达到预定可使用或者可销售状态所必要的购建或者生产活动已经开始。
(5)为购建或者生产符合资本化条件的资产而占用了一般借款的,企业每期利息资本化金额,应以至当期末止累计资产支出超过专门借款部分的资产支出(以下简称资产支出)加权平均数乘以所占用一般借款的资本化率计算确定,其计算公式为:
每一会计期间占用的一般借款利息的资本化金额=至当期期末止资产支出加权平均数×所占用一般借款的资本化率
每期允许企业资本化的占用的一般借款利息和折价或者溢价的摊销金额应以当期实际发生的利息和折价或者溢价的摊销额为限。
其中:
资产支出加权平均数=∑每笔资产支出金额×每笔资产支出实际占用天数÷会计期同涵盖的天数)
如果为购建或者生产符合资本化条件的资产只占用了一笔一般借款,则资本化率即为该项一般借款的利率;如果为购建或者生产符合资本化条件的资产而占用了一笔以上的一般借款,则资本化率为这些一般借款的加权平均利率。
一般借款加权平均利率=所占用的一般借款当期实际发生的利息之和÷所占用的一般借款本佥加权平均数
其中:
所占用的一般借款本金加权平均数=∑(所占用的每笔一般借款本金×每笔一般借款在当期占用的天数÷会计期间涵盖的天数)
(6)因安排专门借款发生的辅助费用,在所购建或者生产的符合资本化条件的资产达到预定可使用或者可销售状态之前发生的,应当在发生时根据其发生额予以资本化,计入符合资本化条件的资产的成本;在所购建或者生产的符合资本化条件的资产达到预定可使用或者可销售状态之后发生的,应当在发生时根据其发生额确认为费用,计入当期损益。
一般借款发生的辅助费用,应当在发生时根据其发生额确认为费用,计入当期损益。
(7)在资本化期间内,外币专门借款本金及利息的汇兑差额,应当予以资本化,计入符合资本化条件的资产的成本。
(8)符合资本化条件的资产在购建或者生产过程中发生非正常中断、且中断时间连续超过3个月的,应当暂停借款费用的资本化。在中断期间发生的借款费用应当确认为费用,计入当期损益,直至资产的购建或者生产活动重新开始。如果中断是所购建或者生产的符合资本化条件的资产达到预定可使用或者可销售状态必要的程序,借款费用的资本化应当继续进行。
(9)当购建或者生产符合资本化条件的资产达到预定可使用或者可销售状态时,借款费用应当停止资本化。在符合资本化条件的资产达到预定可使用或者可销售状态之后所发生的借款费用,应当在发生时根据其发生额确认为费用,计入当期损益。
购建或者生产符合资本化条件的资产达到预定可使用或者可销售状态,可从下列几个方面进行判断:①符合资本化条件的资产的实体建造(包括安装)或者生产工作已经全部完成或者实质上已经完成。②所购建或者生产的符合资本化条件的资产与设计要求、合同规定或者生产要求相符或者基本相符,即使有极个别与设计、合同或者生产要求不相符的地方,也不影响其正常使用或者销售。③继续发生在所购建或生产的符合资本化条件的资产上的支出金额很少或者几乎不再发生。
购建或者生产符合资本化条件的资产需要试生产或者试运行的,在试生产结果表明资产能够正常生产出合格产品、或者试运行结果表明资产能够正常运转或者营业时,应当认为该资产已经达到预定可使用或者可销售状态。
在所购建或者生产的符合资本化条件的资产的各部分分别完工的情况下,企业应区别以下情况界定借款费用停止资本化的时点:①所购建或生产的符合资本化条件的资产的各部分分别完工,且每部分在其他部分继续建造过程中可供使用或者可对外销售,且为使该部分资产达到预定可使用或可销售状态所必要的购建或者生产活动实质上已经完成的,应当停止与该部分资产相关的借款费用的资本化。②所购建或者生产的资产的各部分分别完工,但必须等到整体完工后才可使用或者可对外销售的,应当在该资产整体完工时停止借款费用的资本化。
5.或有事项
(1)或有事项是指过去的交易或事项形成的,其结果须由某些未来事项的发生或不发生才能决定的不确定事项。常见的或有事项有:商业票据背书转让或贴现、未决诉讼、未决仲裁、债务担保、产品质量保证等。
或有事项的主要特征:①或有事项是过去的交易或事项形成的一种状况;②或有事项具有不确定性;③或有事项的结果只能由未来事项的发生或不发生加以决定;④影响或有事项结果的不确定性因素不能由企业控制。
(2)或有事项的结果通常有两种:一种是导致经济利益流人企业;另一种是导致经济利益流出企业。但是,企业不应当确认或有负债和或有资产。
①或有负债是指过去的交易或事项形成的潜在义务,其存在须通过未来不确定事项的发生或不发生予以证实;或过去的交易或事项形成的现时义务,履行该义务不是很可能导致经济利益流出企业或该义务的金额不能可靠计量。
②或有资产是指过去的交易或事项形成的潜在资产,其存在须通过未来不确定事项的发生或不发生予以证实。
(3)如果与或有事项相关的义务同时满足以下条件,企业应将其确认为预计负债:①该义务是企业承担的现时义务;②履行该义务很可能导致经济利益流出企业;③该义务的金额能够可靠地计量。
待执行合同变成亏损合同的,该亏损合同产生的义务满足预计负债的确认条件的,应当确认为预计负债。待执行合同,是指合同各方尚未履行任何合同义务,或部分地履行了同等义务的合同。亏损合同,是指履行合同义务不可避免会发生的成本超过预期经济利益的合同。
企业承担的重组义务满足预计负债的确认条件的,应当确认预计负债。同时存在下列情况时,表明企业承担了重组义务:①有详细、正式的重组计划,包括重组涉及的业务、主要地点、需要补偿的职工人数及其岗位性质、预计重组支出、计划实施时间等;②该重组计划已对外公告。重组,是指企业制定和控制的,将显著改变企业组织形式、经营范围或经营方式的计划实施行为。
企业不应当就未来经营亏损确认预计负债。
(4)预计负债应当按照履行相关现时义务所需支出的最佳估计数进行初始计量。
如果所需支出存在一个连续范围,且该范围内各种结果发生的可能性相同的,最佳估计数应当按照该范围内的中间值确定。在其他情况下,最佳估计数应当分别下列情况确定:①或有事项涉及单个项目的,最佳估计数按最可能发生金额确定。②或有事项涉及多个项目的,最佳估计数按照各种可能结果及相关概率计算确定。企业在确定最佳估计数时,应当综合考虑与或有事项有关的风险、不确定性和货币时间价值等因素。货币时间价值影响重大的,应当通过对相关未来现金流出进行折现后确定最佳估计数。企业应当在资产负债表日对预计负债的账面价值进行复核。有确凿证据表明该账面价值不能真实反映当前最佳估计数的,应当按照当前最佳估计数对该账面价值进行调整。如果企业清偿预计负债所需支出全部或部分预期由第三方补偿的,补偿金额只有在基本确定能够收到时才能作为资产单独确认。确认的补偿金额不应当超过预计负债的账面价值。
对于重组所产生的预计负债,企业应当按照与重组有关的直接支出确定预计负债金额。但是,直接支出不包括留用职工岗前培训、市场推广、新系统和营销网络投入等支出。
八、所有者权益
(一)考试目的
通过对所有者权益的考核,测试考生对所有者权益的构成和各组成部分会计处理的掌握和运用情况,考核考生运用所有者权益的基本原则解决实际问题的能力。
(二)基本要求
1.掌握以下内容
(1)实收资本(或者股本) 的会计处理
(2)资本公积的会计处理;
(3)留存收益的会计处理。
2.熟悉以下内容
(1)所有者权益的内容;
(2)资本公积与实收资本、净利润和盈余公积的区别。
3.了解以下内容
(1)留存收益的组成;
(2)留存收益的用途。
(三)要点说明
1.所有者权益的概念
所有者权益,是指企业资产扣除负债后由所有者享有的剩余权益。公司的所有者权益又称为股东权益。所有者权益在性质上体现为所有者对企业资产的剩余权益,在数量上也就体现为资产减去负债后的金额。
所有者权益的来源包括所有者投入的资本、直接计入所有者权益的利得和损失、留存收益。一般而言,实收资本和资本公积是由所有者直接投入的,如所有者的投入资本、资本溢价等;留存收益包括盈余公积和未分配利润。
2.实收资本或股本
(1)企业收到投资者以现金投入的资本时,应以实际收到或存入企业开户银行的金额作为实收资本入账。实际收到或者存人企业开户银行的余额超过投资者在企业注册资本中所占份额的部分,应计入资本公积。
(2)企业收到投资者以非现金资产投入的资本时,应按投资各方确认的价值作为资产入账。按其在注册资本或股本中所占份额,计入实收资本或股本,对于投资各方确认的资产价值超过其往注册资本中所占份额的部分,应计入资本公积。
(3)企业接受外币资本投资,无论是否存在合同约定汇率,收到的资本及相应的资产均应采用交易日即期汇率折算,不得采用合同约定汇率或即期汇率的近似汇率折算。
(4)股份有限公司发行股票收到现金等资产时,按股票而值和核定的股份总额的乘积计算的金额确认股本;按实际收到的金额与该股本之间的差额确认资本公积。
境外上市公司,以及在境内发行外资股的公司,按确定的人民币股票面值与核定的股份总额的乘积计算的金额,确认股本;按实际收到的股款(按收到股款当日的即期汇率折算的人民币)与该股本之间的差额,确认资本公积。
3.资本公积
资本公积主要包括资本溢价或股本溢价、其他资本公积等。除投资者投入的资本超出其在所有者权益中的份额的部分作为资本溢价或股本溢价外,其他涉及资本公积的均计入其他资本公积。
4.留存收益是指企业从历年实现的利润中提取或形成的留存于企业的内部积累
一般企业和股份有限公司的盈余公积包括法定盈余公积和任意盈余公积。盈余公积可以用于弥补亏损、转增资本(或股本)。
未分配利润是企业实现的净利润经过弥补亏损、提取盈余公积和向投资者分配利润后留存在企业的、历年结存的利润,通常留待以后年度向投资者进行分配。
九、收入、费用和利润
(一)考试目的
通过对收入、费用和利润的考核,测试考生对收入、费用和利润的确认原则和计最标准的掌握和运用情况,考核考生运用收入、费用和利润的基本原理解决实际问题的能力。
(二)基本要求
1.掌握以下内容
(1)销售商品收入的确认及其会计处理;
(2)提供劳务收入的确认及其会计处理;
(3)让渡资产使用权收入的确认及其会计处理;
(4)建造合同收人和费用的确以及其会计处理。
2.了解以下内容
(1)收入、费用的概念及其分类;
(2)所得税费用的会计处理。
(三)要点说明
1.收入的概念及分类
收入是指企业在日常活动中形成的、会导致所有者权益增加的、与所有者投入资本无关的经济利益的总流入。
按性质分类,收入可以分为销售商品收人、提供劳务收入和让渡资产使用权收入;按企业经营业务主次分类,收入可以分为主营业务收入和其他业务收入。
2.销售商品收入的确认与计量
(1)销售商品收入的确认,必须同时符合以下5个条件:
①企业已将商品所有权上的主要风险和报酬转移给购货方;②企业既没有保留通常与所有权相联系的继续管理权,也没有对已售出的商品实施有效控制;③收入的金额能够可靠地计量;④相关的经济利益很可能流入企业;⑤相关的已发生或将发生的成本能够可靠地计量。
(2)销售商品收入的计量。企业应当按照从购货方已收或应收的合同或协议价款确定销售商品收入金额,但已收或应收的合同或协议价款不公允的除外。合同或协议价款的收取采用递延方式,实质上具有融资性质的,应当按照应收的合同或协议价款的公允价值确定销售商品收入金额。应收的合同或协议价款与其公允价值之间的差额,应当在合同或协议期间内采用实际利率法进行摊销,计入当期损益。在对销售商品收人进行计量时,应注意区别现金折扣、商业折扣和销售折让。
3.提供劳务收入的确认和计量
(1)企业在资产负债表日提供劳务交易的结果能够可靠估计的,应当采用完工百分比法确认提供劳务收入。完工百分比法,是指按照提供劳务交易的完工进度确认收入与费用的方法。
(2)提供劳务交易的结果能够可靠估计,是指同时满足下列条件:①收入的金额能够可靠地计量;②相关的经济利益很可能流入企业;③交易的完工进度能够可靠地确定;④交易中已发生和将发生的成本能够可靠地计量。
企业应当按照从接受劳务方已收或应收的合同或协议价款确定提供劳务收入总额,但已收或应收的合同或协议价款不公允的除外。企业应当在资产负债表日按照提供劳务收入总额乘以完工进度扣除以前会计期间累计已确认提供劳务收入后的金额,确认当期提供劳务收入;同时,按照提供劳务估计总成本乘以完工进度扣除以前会计期间累计已确认劳务成本后的金额,结转当期劳务成本。
在采用完工百分比法确认收入时,收入和相关成本应按以下公式计算:
本期确认的收入=收入总额×完工进度-以前期间累计已确认收入
本期确认的成本=估计总成本×完工进度-以前期间已确认成本
企业确定提供劳务交易的完工进度,可以选用下列方法:①已完工作的测量;②已经提供的劳务占应提供劳务总量的比例;③已经发生的成本占估计总成本的比例。
(3)企业在资产负债表日提供劳务交易结果不能够可靠估计的,应当分别下列情况处理:①已经发生的劳务成本预计能够得到补偿的,按照已经发生的劳务成本金额确认提供劳务收入,并按相同金额结转劳务成本。②已经发生的劳务成本预计不能够得到补偿的,应当将已经发生的劳务成本计入当期损益,不确认提供劳务收入。
(4)企业与其他企业签订的合同或协议包括销售商品和提供劳务时,销售商品部分和提供劳务部分能够区分且能够单独计量的,应当将销售商品的部分作为销售商品处理,将提供劳务的部分作为提供劳务处理。销售商品部分和提供劳务部分不能够区分,或虽能区分但不能够单独计量的,应当将销售商品部分和提供劳务部分全部作为销售商品处理。
4.特殊劳务收入的确认与计量
(1)安装费;在资产负债表日根据安装的完工进度确认收入。安装工作是商品销售附带条件的,安装费在确认商品销售实现时确认收入。
(2)宣传媒介的收费,在相关的广告或商业行为开始出现于公众面前时确认收入。广告的制作费,在资产负债表日根据制作广告的完工进度确认收入。
(3)艺术表演、招待宴会和其他特殊活动的收费,在相关活动发生时确认收入。收费涉及几项活动的,预收的款项应合理分配给每项活动,分别确认收入。
(4)申请人会费和会员费只允许取得会籍,所有其他服务或商品都要另行收费的,在款项收回不存在重大不确定性时确认收人。申请入会费和会员费能使会员在会员期内得到各种服务或商品,或者以低于非会员的价格销售商品或提供服务的,在整个受益期内分期确认收入。在这种情况下,尚未确认的收入通过"预收账款"科目核算。
(5)属于提供设备和其他有形资产的特许权费,在交付资产或转移资产所有权时确认收入;属于提供初始及后续服务的特许权费,在提供服务时确认收入。尚未确认的特许权费收入通过"预收账款"科目核算。
5.让渡资产使用权收入的确认和计量
(1)让渡资产使用权收入包括利息收入、使用费收入等。
(2)让渡资产使用权收入同时满足下列条件的,才能予以确认:①相关的经济利益很可能流人企业;②收入的金额能够可靠地计量。
(3)利息收入金额,按照他人使用本企业货币资金的时间和实际利率计算确定。
使用费收入金额,按照有关合同或协议约定的收费时间和方法计算确定。如果合同、协议规定使用费一次支付,且不提供后期服务的,应视同该项资产的销售一次确认收入;提供后期服务的,应在合同、协议规定的有效期内分期确认收入;合同规定分期支付使用费的,应按合同规定的收款时间和金额或合同规定的收费方法计算的金额分期确认收入。
6.建造合同收入和费用的确认和计量
(1)建造合同是指为建造一项或数项在设计、技术、功能、最终用途等方面密切相关的资产丽订立的合同。建造合同分为固定造价合同和成本加成合同。
固定造价合同,是指按照固定的合同价或固定单价确定工程价款的建造合同。成本加成合同,是指以合同约定或其他方式议定的成本为基础,加上该成本的一定比例或定额费用确定工程价款的建造合同。
(2)建造合同收人的内容。建造合同收入应当包括下列内容:①合同规定的初始收入;②因合同变更、索赔、奖励等形成的收入。
合同变更是指客户为改变合同规定的作业内容而提出的调整。合同变更条款同时满足下列条件的,才能构成合同收入:①客户能够认可因变更而增加的收入;②该收入能够可靠地计量。
索赔款是指因客户或第三方的原因造成的、向客户或第三方收取的,用以补偿不包括在合同造价中成本的款项。索赔款同时满足下列条件的,才能构成合同收入:①根据谈判情况,预计对方能够同意该项索赔;②对方同意接受的金额能够可靠地计量。
奖励款是指工程达到或超过规定的标准,客户同意支付的额外款项。奖励款同时满足下列条件的,才麓构成合同收入:①根据合同目前完成情况,足以判断工程进度和工程质量能够达到或超过规定的标准;②奖励金额能够可靠地计量。
(3)建造合同成本的内容。建造合同成本应当包括从合同签订开始至合同完成止所发生的、与执行合同有关的直接费用和间接费用。
(4)建造合同收入和费用的确认和计量。
①在资产负债表日,建造合同的结果能够可靠估计的,应当根据完工百分比法确认合同收入和合同费用。完工百分比法,是指根据合同完工进度确认收人与费用的方法。
固定造价合同的结果能够可靠估计,是指同时满足下列条件:合同总收入能够可靠地计量;与合同相关的经济利益很可能流人企业;实际发生的合同成本能够清楚地区分和可靠地计量;合同完工进度和为完成合同尚需发生的成本能够可靠地确定。
成本加成合同的结果能够可靠估计,是指同时满足下列条件:与合同相关的经济利益很可能流人企业;实际发生的合同成本能够清楚地区分和可靠地计量。
企业确定合同完工进度可以选用下列方法:累计实际发生的合同成本占合同预计总成本的比例;已经完成的合同工作量占合同预计总工作量的比例;实际测定的完工进度。
②在资产负债表日,应当按照合同总收入乘以完工进度扣除以前会计期间累计已确认收入后的金额,确认为当期合同收入;同时,按照合同预计总成本乘以完工进度扣除以前会计期间累计巳确认费用后的金额,确认为当期合同费用。按照完工百分法确认和计量建造合同收入和费用的公式如下:
当期确认的合同收入=合同总收入×完工进度-以前会计期间累计已确认的收入
当期确认的合同费用=合同预计总成本×完工进度-以前会计期间累计已确认的费用
当期确认的合同毛利=当期确认的合同收入-当期确认的合同费用
③建造合同的结果不能可靠估计的,应当分别下列情况处理:合同成本能够收回的,合同收入根据能够收回的实际合同成本予以确认,合同成本在其发生的当期确认为合同费用。合同成本不可能收回的,在发生时立即确认为合同费用,不确认合同收入。
④合同预计总成本超过合同总收入的,应当将预计损失确认为当期费用。
7.费用
费用是指企业在日常活动中发生的、会导致所有者权益减少的、与向所有者分配利润无关的经济利益的总流出。
期间费用是指不计入产品生产成本、直接计入发生当期损益的费用,包括管理费用、销售费用和财务费用。期间费用在发生时直接计入发生当期的损益。
8.所得税
(1)递延所得税资产和负债。企业在取得资产、负债时,应当确定其计税基础。资产的计税基础,是指企业收回资产账面价值过程中,计算廊纳税所得额时按照税法规定可以自应税经济利益中抵扣的金额。负债的计税基础,是指负债的账面价值减去未来期间计算应纳税所得额时按照税法规定可予抵扣的金额。
暂时性差异是指资产或负债的账面价值与其计税基础之间的差额;未作为资产和负债确认的项目,按照税法规定可以确定其计税基础的,该计税基础与其账面价值之间的差额也属于暂时性差异。按照暂时性差异对未来期间应税金额的影响,分为应纳税暂时性差异和可抵扣暂时性差异。
应纳税暂时性差异是指在确定未来收回资产或清偿负债期间的应纳税所得额时,将导致产生应税金额的暂时性差异。可抵扣暂时性差异,是指在确定未来收回资产或清偿负债期间的应纳税所得额时,将导致产生可抵扣金额的暂时性差异。
企业应于资产负债表日,分析比较资产、负债的账面价值与其计税基础,两者之间存在差异的,确认递延所得税资产、递延所得税负债及相应的递延所得税费用(或收益)。
(2)所得税费用的确认和计量。企业在计算确定当期所得税(即当期应交所得税)以及递延所得税费用(或收益)的基础上,应将两者之和确认为利润表中的所得税费用(或收益),但不包括直接计入所有者权益的交易或事项的所得税影响。即:
所得税费用(或收益)=当期所得税+递延所得税费用(一递延所得税收益)
9.利润
利润是指企业在一定会计期间的经营成果。利润金额的计量取决于收入和费用、直接计入当期利润的利得和损失金额的计量。
利润各项目计算公式为:
营业利润=营业收入-营业成本-营业税金及附加-销售费用-管理费用-财务费用-资产减值损失+公允价值变动收益+投资收益
利润总额=营业利润+营业外收入-营业外支出
净利润=利润总额-所得税费用
十、财务报告
(一)考试目的
通过对财务报告的考核,测试考生对资产负债表、利润表、现金流量表、所有者权益变动表、合并财务报表、关联方披露、资产负债表日后事项、会计政策、会计估计变更和差错更正的掌握和运用情况,考核考生运用财务报告基本原则解决实际问题的能力。
(二)基本要求
1.掌握以下内容
(1)资产负债表、利润表、现金流量表和所有者权益变动表的内容、格式和编制方法;
(2)合并财务报表的合并范围;
(3)关联方关系的判断方法、关联方关系及其交易应披露的内容;
(4)资产负债表日后事项调整事项的内容及其会计处理;
(5)资产负债表日后事项非调整事项的内容及其披露要求;
(6)会计政策变更的条件及其会计处理;
(7)会计估计变更、前期差错更正的会计处理。
2.熟悉以下内容
(1)会计政策、会计估计变更和前期差错更正的披露内容;
(2)资产负债表日后事项的概念及涵盖的期间;
(3)会计政策、会计估计及其变更和前期差错的概念。
3.了解以下内容
(1)现金流量的分类;
(2)关联方关系的表现形式。
(三)要点说明
1.资产负债表
资产负债表是指反映企业在某一特定日期财务状况的报表。它反映企业在某一特定日期所拥有或控制的经济资源、所承担的现时义务和所有者对净资产的要求权。
企业应以日常会计核算记录的数据为基础进行归类、整理和汇总,加工生成报表项目,形成资产负债表。
资产和负债应当分别流动资产和非流动资产、流动负债和非流动负债列示。
资产满足下列条件之一的,应当归类为流动资产:(1)预计在一个正常营业周期中变现、出售或耗用;(2)主要为交易目的而持有;(3)预计在资产负债表日起一年内(含一年,下同)变现;(4)自资产负债表日起一年内,交换其他资产或清偿负债的能力不受限制的现金或现金等价物。
流动资产以外的资产应当归类为非流动资产,并应按其性质分类列示。
负债满足下列条件之一的,应当归类为流动负债:(1)预计在一个正常营业周期中清偿;(2)主要为交易目的而持有;(3)自资产负债表日起一年内到期应予以清偿;(4)企业无权自主地将清偿推迟至资产负债表日后一年以上。
流动负债以外的负债应当归类为非流动负债,并应按其性质分类列示。
2.利润表
利润表是指反映企业在一定会计期间的经营成果的报表。该表是将一定期间的营业收入与同期间费用进行配比,按照各项收入、费用以及构成利润的各个项目分类分项编制而成的。其中,费用应当按照功能分类,分为从事经营业务发生的成本、销售费用、管理费用和财务费用等。
3.现金流量袁
(1)现金流量表是指反映企业在一定会计期间现金和现金等价物流人和流出的报表。其中,现金,是指企业库存现金以及可以随时用于支付的存款;现金等价物,是指企业持有的期限短、流动性强、易于转换为已知金额现金、价值变动风险很小的投资。
(2)现金流量可以分为三类:即经营活动产生的现金流最、投资活动产生的现金流量和筹资活动产生的现金流量。
①经营活动是指企业投资活动和筹资活动以外的所有交易和事项,包括销售商品或提供劳务、购买商品或接受劳务、收到返还的税费、经营性租赁、支付职工薪酬、支付广告费用、支付各项税费等。
②投资活动是指企业长期资产的购建和不包括在现金等价物范围内的投资及其处置活动,包括取得和收回投资、购建和处置固定资产、购买和处置无形资产等。
③筹资活动是指导致企业资本及债务规模和构成发生变化的活动,包括发行股票或接受投入资本、分派现金股利、取得和偿还银行借款、发行和偿还公司债券等。
(3)现金流量表正表采用报告式的结构,分类反映经营活动产生的现金流量、投资活动产生的现金流量和筹资活动产生的现金流量,最后汇总反映企业现金及现金等价物净增加额。在有外币现金流量及境外子公司的现金流量折算为人民币的企业,正表中还应单设"?[率变动对现金的影响"项目。
补充资料包括三部分内容:①将净利润调节为经营活动的现金流量;②不涉及现金收支的重大投资和筹资活动;③现金及现金等价物净变动情况。
(4)企业町根据业务量的大小及复杂程度,选择采用工作底稿法、T形账户法,或直接根据有关科目的记录分析填列现金流量表。
4.所有者权益变动表
所有者权益变动表是指反映构成所有者权益的各组成部分当期增减变动情况的报表。当期损益、直接计入所有者权益的利得和损失,以及与所有者(或股东)的资本交易导致的所有者权益的变动,应当分别列示。
5.合并财务报表
(1)合并财务报表是指反映母公司和其全部子公司形成的企业集团整体财务状况、经营成果和现金流量的财务报表。合并财务报表至少应当包括合并资产负债表、合并利润表、合并现金流量表、合并所有者权益(或股东权益)变动表和附注。
(2)合并范围指纳入合并财务报表编报的子公司的范围。合并财务报表的合并范围应当以控制为基础予以确定。在确定能否控制被投资单位时,应当考虑企业和其他企业持有的被投资单位的当期可转换的可转换公司债券、当期可执行的认股权证等潜在表决权因素。母公司应当将其全部子公司纳入合并财务报表的合并范围。
(3)母公司直接或通过子公司间接拥有被投资单位半数以上的表决权,表明母公司能够控制被投资单位,应当将该被投资单位认定为子公司,纳入合并财务报表的合并范围。但是,有证据表明母公司不能控制被投资单位的除外。
(4)母公司拥有被投资单位半数或以下的表决权,满足下列条件之一的,视为母公司能够控制被投资单位,应当将该被投资单位认定为子公司,纳入合并财务报表的合并范围。但是,有证据表明母公司不能控制被投资单位的除外:①通过与被投资单位其他投资者之间的协议,拥有被投资单位半数以上的表决权。②根据公司章程或协议,有权决定被投资单位的财务和经营政策。③有权任免被投资单位的董事会或类似机构的多数成员。④在被投资单位的董事会或类似机构占多数表决权。
(5)企业在编制合并财务报表前,应当做好一些基础工作。
(6)合并财务报表可按如下程序来编制:①编制合并工作底稿;②将母公司、纳入合并范围的子公司个别资产负债表、利润表及所有者权益变动表各项目的数据过人合并工作底稿;③编制抵销分录;④计算合并财务报表各项目的合并数额;⑤填列合并财务报表。
6.关联方披露
(1)关联方一般指有关联的各方。一方控制、共同控制另一方或对另一方施加重大影响,以及两方或两方以上同受一方控制、共同控制或重大影响的,构成关联方。
控制是指有权决定一个企业的财务和经营政策,并能据以从该企业的经营活动中获取利益。共同控制是指按照合同约定对某项经济活动所共有的控制,仅在与该项经济活动相关的重要财务和经营决策需要分享控制权的投资方一致同意时存在。重大影响是指对一个企业的财务和经营政策有参与决策的权力,但并不能够控制或者与其他方一起共同控制这些政策的制定。
(2)关联方关系是指有关联的各方之间的内在关系。下列各方构成企业的关联方:①该企业的母公司。②该企业的子公司。⑧与该企业受同一母公司控制的其他企业。④对该企业实施共同控制的投资方。⑤对该企业施加重大影响的投资方。⑥该企业的合营企业。⑦该企业的联营企业。⑧该企业的主要投资者个人及与其关系密切的家庭成员。主要投资者个人,是指能够控制、共同控制一个企业或者对一个企业施加重大影响的个人投资者。⑨该企业或其母公司的关键管理人员及与其关系密切的家庭成员。关键管理人员,是指有权力并负责计划、指挥和控制企业活动的人员。与主要投资者个人或关键管理人员关系密切的家庭成员,是指在处理与企业的交易时可能影响该个人或受该个人影响的家庭成员。⑩该企业主要投资者个人、关键管理人员或与其关系密切的家庭成员控制、共同控制或施加重人影响的其他企业。
仅与企业存在下列关系的各方,不构成企业的关联方:①与该企业发生日常往来的资金提供者、公用事业部门、政府部门和机构。②与该企业发生大量交易而存在经济依存关系的单个客户、供应商、特许商、经销商或代理商。③与该企业共同控制合营企业的合营者。
仅仅同受国家控制而不存在其他关联方关系的企业,不构成关联方。
在具体运用关联方关系判断标准时,应当遵循实质重于形式的要求。
(3)关联方交易是指关联方之间转移资源、劳务或义务的行为,而不论是否收取价款。关联方交易的类型通常包括下列各项:购买或销售商品;购买或销售商品以外的其他资产;提供或接受劳务;担保;提供资金(贷款或股权投资);租赁;代理;研究与开发项目的转移;许可协议;代表企业或由企业代表另一方进行债务结算;关键管理人员薪酬。
(4)企业无论是否发生关联方交易,均应当在附注中披露与母公司和了公司有关的下列信息:①母公司和子公司的名称。母公司不是该企业最终控制方的,还应当披露最终控制方名称。母公司和最终控制方均不对外提供财务报表的,还应当披露母公司之上与其最相近的对外提供财务报表的母公司名称。②母公司和子公司的业务性质、注册地、注册资本(或实收资本、股本)及其变化。③母公司对该企业或者该企业对子公司的持股比例和表决权比例。
(5)企业与关联方发生关联方交易的,应当在附注中披露该关联方关系的性质、交易类型及交易要素。交易要素至少应当包括:①交易的金额。②未结算项目的金额、条款和条件,以及有关提供或取得担保的信息。③未结算应收项目的坏账准备金额。④定价政策。
(6)关联方交易应当分别关联方以及交易类型予以披露。类型相似的关联方交易,在不影响财务报表阅读者正确理解关联方交易对财务报表影响的情况下,可以合并披露。
企业只有在提供确凿证据的情况下,才能披露关联方交易是公平交易。
7.会计政策及其变更
(1)会计政策是指企业在会计确认、计量和报告中所采用的原则、基础和会计处理方法。
会计政策变更是指企业对相同的交易或事项由原来采用的会计政策改用另一会计政策的行为。
(2)会计政策变更需符合下列条件之一:①法律、行政法规或者国家统一的会计制度等要求变更。②会计政策变更能够提供更可靠、更相关的会计信息。
以下情形不属于会计政策变更:①本期发生的交易或者事项与以前相比具有本质差别而采用新的会计政策;②对初次发生的或不重要的交易或者事项采用新的会计政策。
(3)会计政策变更的核算。
①法律、行政法规或者国家统一的会计制度要求改变会计政策的同时,也规定了会计政策变更会计处理办法,企业应当按照国家相关会计规定执行;法律、行政法规或者国家统一的会计制度要求改变会计政策的同时,没有规定会计政策变更会计处理方法的,企业应当采用追溯调整法进行会计处理。追溯调整法,是指对某项交易或事项变更会计政策,视同该项交易或事项初次发生时即采用变更后的会计政策,并以此对财务报表相关项目进行调整的方法。会计政策变更累积影响数,是指按照变更后的会计政策对以前各期追溯计算的列报前期最早期初留存收益应有金额与现有金额之间的差额。
在追溯调整法下,企业应当将会计政策变更累积影响数调整列报前期最早期初留存收益,其他相关项目的期初余额和列报前期披露的其他比较数据也应当一并调整,但确定该项会计政策变更累积影响数不切实可行的除外。
②为提供更可靠、更相关会计信息而变更会计政策的,应当采用追溯调整法进行会计处理。
③确定会计政策变更对列报前期影响数不切实可行的,应当从可追溯调整的最早期间期初开始应用变更后的会计政策。
如果变更会计政策后,在当期期初确定该项会计政策变更对以前各期累积影响数不切实可行的,无论是属于法律、行政法规或国家统一的会计制度要求变更会计政策,还是为提供更可靠、更相关的会计信息而变更会计政策,都应当采用未来适用法进行会计处理。
未来适用法,是指将变更后的会计政策应用于变更日及以后发生的交易或者事项,或者在会计估计变更当期和未来期间确认会计估计变更影响数的方法。
(4)企业应在报表附注中与会计政策变更有关的如下内容:
①会计政策变更的性质、内容和原因,主要包括:对会计政策变更的阐述、会计政策变更的日期、变更前采用的会计政策、变更后采用的新会计政策以及会计政策变更的原因。②当期和各个列报前期财务报表中受影响的项目名称和调整金额,主要包括:采用追溯调整法时会计政策变更累积影响数、会计政策变更对当期以及比较财务报表所列其他各期净损益的影响金额。③无法进行追溯调整的,说明该事实和原因以及开始应用变更后的会计政策的时点、具体应用情况。
8.会计估计及其变更
(1)会计估计,是指企业对其结果不确定的交易或事项以最近可利用的信息为基础所作的判断。企业据以进行估计的基础发生了变化,或者由于取得了新信息、积累了更多的经验以及后来的发展变化,可能需要对会计估计进行修订。会计估计变更的依据应当真实、可靠。
会计估计变更是指由于资产和负债的当前状况及预期经济利益和义务发生了变化,从而对资产或负债的账面价值或者资产的定期消耗金额进行调整。
(2)企业对会计估计变更应当采用未来适用法处理。如会计估计的变更仅影响变更当期,有关估计变更的影响数应当在变更当期予以确认;如会计估计的变更既影响变更当期又影响未来期间,有关估计变更的影响数应当在变更当期和未来期间予以确认。
在具体实务中,企业应正确划分会计政策变更和会计估计变更。如企业难以对某项变更区分为会计政策变更或会计估计变更,则应当将其作为会计估计变更,并按会计估计变更的核算方法进行处理。
(3)企业应在报表附注中披露与会计估计变更有关的如下内容:①会计估计变更的内容和原因,主要包括会计估计变更的内容、会计估计变更的日期以及会计估计变更的原因。②会计估计变更对当期和未来期间的影响数,主要包括会计估计变更对当期损益的影响金额、会计估计变更对其他项目的影响金额。③会计估计变更的影响数不能确定的,披露这一事实和原因。
9.前期差错更正
(1)前期差错是指由于没有运用或错误运用下列两种信息,而对前期财务报表造成省略或错报:①编报前期财务报表时预期能够取得并加以考虑的可靠信息;②前期财务报告批准报出时能够取得的可靠信息。
前期差错通常包括计算错误、应用会计政策错误、疏忽或曲解事实以及舞弊产生的影响以及存货、固定资产盘盈等。
(2)本期发现的会计差错,应当调整当期相关项目。对于年度资产负债表日至财务报告批准报出日之间发现的报告年度的会计差错,应当作为资产负债表日后事项的调整事项进行处理。
对于以前期间发生的非重要会计差错,如影响损益,应直接计入发现当期净损益,其他相关项目也应一并调整;如不影响损益,应调整发现当期相关项目。
对于前期发生的重要会计差错,企业应当采用追溯重述法予以更正,确定前期差错累积影响数不切实可行的除外。追溯重述法,是指在发现前期差错时,视同该项前期差错从未发生过,从而对财务报表相关项目进行更正的方法。
确定前期差错影响数不切实可行的,可以从可追溯重述的最早期间开始调整留存收益的期初余额,财务报表其他相关项目的期初余额也应当一并调整,也可以采用未来适用法。
(3)企业应在报表附注中披露与前期差错有关的下列信息:①前期差错的性质,包括重要会计差错的事项、原因和更正方法。②各个列报前期财务报表中受影响的项目名称和更正金额,包括前期差错影响项目的名称、对净损益的影响金额以及对其他项目的影响金额。③无法进行追溯重述的,说明该事实和原因以及对前期差错开始进行更正的时点、具体更正情况。
10.资产负债表日后事项
(1)资产负债表日后事项是指资产负债表日至财务报告批准报出日之间发生的有利或不利事项,包括资产负债表日后调整事项和资产负债表日后非调整事项两类。
财务报告批准报出日,指董事会或类似机构批准财务报告报出的日期。董事会或类似机构批准财务报告对外公布的日期,与实际对外公布日之间发生的与资产负债表日后事项有关的事项,由此影响财务报告对外公布日期的,应以董事会或类似机构再次批准财务报告对外公布的日期为截止日期。
(2)资产负债表日后调整事项是指对资产负债表日已经存在的情况提供了新的或进一步证据的事项。
调整事项的例子包括:①资产负债表日后诉讼案件结案,法院判决证实了企业在资产负债表日已经存在现时义务,需要调整原先确认的与该诉讼案件相关的预计负债,或确认一项新负债。②资产负债表日后取得确凿证据,表明某项资产在资产负债表日发生了减值或者需要调整该项资产原先确认的减值金额。③资产负债表日后进一步确定了资产负债表目前购入资产的成本或售出资产的收入。④资产负债表日后发现了财务报表舞弊或差错。
(3)企业发生的资产负债表日后调整事项,应当调整资产负债表日的财务报表。资产负债表日后发生的调整事项,应具体分别以下情况进行处理:①涉及损益的事项,通过"以前年度损益调整"科目核算。②涉及利润分配调整的事项,直接在"利润分配——未分配利润"科目核算。③不涉及损益以及利润分配的事项,调整相关科目。④通过上述账务处理后,还应同时调整财务报表相关项月的数字,包括:资产负债表日编制的财务报表相关项目的数字(比较财务报表中应调整的相关项目的上年数);当期编制的财务报表相关项目的上年数;经过上述调整后,如果涉及报表附注内容的,还应当调整报表附注相关项目的数字,
(4)资产负债表日后非调整事项,是指表明资产负债表日后发生的情况的事项。企业发生的资产负债表日后非调整事项,不应当凋整资产负债表日的财务报表。
非调整事项的例子包括:①资产负债表日后发生重大诉讼、仲裁、承诺,,②资产负债表日后资产价格、税收政策、外汇汇率发生重大变化,③资产负债表日后因自然灾害导致资产发生重大损失④资产负债表日后发行股票和债券以及其他巨额举债,⑤资产负债表日后资本公积转增资本。⑥资产负债表日后发生巨额亏损。⑦资产负债表日后发生企业合并或处置子公司。
(5)资产负债表口后,企业利润分配力。案中拟分配的以及经审议批准宦告发放的股利或利润,不确认为资产负债表日的负债,但应当在报表附注中单独披露。
资产负债表日后事项表明持续经营假设不再适用的,企业不应当在持续经营假设基础上编制财务报表。
十一、资产评估结果的会计处理
(一)考试目的
通过本部分的考试,了解考生对资产评估结果会计处理的熟悉情况。重点考察考生对哪些情形需按资产评估结果进行会计处理,企业以非货币资产对外投资时投出方和接受投资方的会计处理,国有企业公司制改建的程序、国有企业实行主辅分离辅业改制的相关政策规定以及评估结果的会计处理,同一控制下和不同控制下企业合并的不同会计处理、收购全部股权和部分股权时对资产评估结果的利用及其会计处理的掌握和熟悉程度。
(二)基本要求
1.掌握以下内客
(1)掌握对资产评估结果的利用形式及其会计处理的原则及方法;
(2)掌握企业以非货币资产对外投资时投出方和接受投资方按照资产评估结果分别进行的会计处理;
(3)掌握国有企业公司制改造时资产评估的会计核算;
(4)掌握国有企业公司制改造的形式、股权设置及相关政策规定;
(5)掌握同一控制下的食业合并和非同一控制下企业合并的不同会计处理。
2.熟悉以下内容
资产评估增值的税务处理。
3.了解以下内容
资产评估相关的价值概念与会计计量的关系。
(三)要点内容
1.资产评估概述
(1)资产评估价值类型一般包括公开市场价值和公开市场以外的价值。资产评估所采用的价值标准与会计计量属性有密切关系,资产评估价值是公允价值的一种取得方式。
(2)资产评估结果的法定效力包括两个方面:作为出资、折股和建账的重要依据;作为交易双方确定交易价格的参考依据。随着产权公开交易的增多,资产评估结果更多地作为交易双方确定交易底价的参考依据。
(3)资产评估会计处理应以评估所对应的经济行为的实现为前提;资产评估会计处理要以评估结果的有效为前提;资产评估结果的会计处理应以产权的完全变动或直接将资产评估结果作为入账的公允价格为前提;按资产评估结果进行会计处理时要考虑评估基准日后资产价值发生贬损和权属变更的情况。资产评估的会计处理与资产评估结果的利用形式有密切关系,可以直接以资产评估价值作为调账、建账的依据,也可以资产评估价值作为公允价值的计量依据,还可以资产评估价值作为披露的依据。
(4)资产评估结果的具体运用。
①《公司法》第二十七条规定,有限责任公司股东可以用货币出资,也可以用实物、知识产权、土地使用权等可以用货币估价并可以依法转让的非货币财产作价出资;但是,法律、行政法规规定不得作为出资的财产除外。对作为出资的非货币财产应当评估作价,核实财产,不得高估或者低估作价。全体股东的货币出资金额不得低于有限责任公司注册资本的30%.《公司法》第八十二条规定的股份有限公司发起人出资方式,与有限责任公司股东的出资方式相同。根据这些规定,公司登记管理机关在办理以非货币财产作为新设公司或对已设立公司增资扩股时,一般直接使用评估值作为确定出资的依据,此时接受投资方需按评估结果建账;投出资产方需按评估结果作为长期股权投资的初始投资成本,评估价值与账面价值的差额作为营业外收入。
②《公司法》第九条规定,有限责任公司变更为股份有限公司,应当符合本法规定的股份有限公司的条件。股份有限公司变更为有限责任公司,应当符合本法规定的有限责任公司的条件。有限责任公司变更为股份有限公司的,或者股份有限公司变更为有限责任公司的,公司变更前的债权、债务由变更后的公司承继。《公司法》第九十六条规定,有限责任公司变更为股份有限公司时,折合的实收股本总额不得高于公司净资产额。有限责任公司变更为股份有限公司,为增加资奉公开发行股份时,应当依法办理。由此可见,有限责任公司依法变更为股份有限公司后。变更前后虽然企业性质不同但仍为-个可持续经营的会计主体,不应改变原计价原则,资产评估结果不应进行账务调整,资产评估结果仅作为新老股东了解公司资产状况或公司价值时使用。
③国有企业改制为公司制企业时,按照现行国有资产管理办法,需要根据资产评估结果折合为新设公司制企业的股本,此时需根据圈有资产管理部门批复的股权设置方案调账或建立新账。
④在资产转让中,若以一笔款项购入多项没有单独标价的固定资产时,一般以评估价值作为分摊单项固定资产价值的参考依据。《企业会计准则第4号——固定资产》第八条规定,以一笔款项购入多项没有单独标价的固定资产,应当按照各项固定资产公允价值比例对总成本进行分配,分别确定各项固定资产的成本。
(5)资产评估结果会计处理的方法,既可以采用沿用旧账法,也可以采用建立新账法,还可以直接作为公允价值的取得方式进行相关会计处理,或作为信息披露的依据。
在沿用旧账法下,在公司设立日根据资产评估结果将评估增减值调整入账。对于评估基准日和公司设立日之问被评估资产发生变动的事项,需在建账日视该事项对公司财务状况和经营成果的影响进行调整。
在建立新账法下,一般根据资产评估结果及国有资产管理部门批复的折股方案进行会计处理。对于评估基准日和公司设它日之间发生的资产、负债和所有者权益的增减变动情况,为确保新设公司资本保全,则需在公司建账时进行调整。
如将资产评估结果作为公允价值的确立依据,应对需要按照公允价值进行计量的资产进行会计处理。
(6)与资产评估增值有关的税务问题,应采用综合调整或分项调整的方法分别进行会计处理。
2.以非货币资产对外投资时资产评估结果的会计处理根据《公司法》的规定,股东可以用货币出资,也可以用实物、知识产权、土地使用权等可以用货币估价并可以依法转让的非货币财产作价出资。对非货币财产的出资,一般按照资产评估结果并经股东确认的价值作为对外投资和新设公司的注册资本。对投出方而言,资产评估价值高于账面价值时。一般以资产评估价值作为长期投资的计价依据,其与账面价值的差额作为营业外收入处理;若发生评估减值,其评估价值与账面价值的差额计入营业外支出。接受投资方按评估价值作为新设公司的相关资产和实收资本处理。当用非货币资产对已经存续的公司进行增资扩股时,其会计处理方法与上述原则相同。
3.国有企业公司制改建时资产评估的会计处理
(1)国有企业公司制改建的程序包括:确定改制方案;明晰产权;资产清查与审计;资产评估;确定改建形式;股权设置;土地使用权的处置;剥离资产的处理等。在规范改制过程中,严格确定交易管理、定价管理、转让价款管理;切实保护债权人利益和维护职工的合法权益;规范管理层收购。
(2)对实行主辅分离辅业改制的企业,除遵循上述程序外,还应考虑资产处置时按规定职工安置费用从净资产中的预留。
(3)国有企业整体改建为公司制企业的会计处理国有企业整体改建股份有限公司一般沿用旧账册,公司的经营业绩仍是连续的,在按资产评估结果进行账务调整时,一般应注意以下问题:
①根据有关政府部门批复的股权管理方案确定股份有限公司的股本,即将评估基准日评估后的净资产按股权管理方案确定的股本记入股份有限公司"股本"科目,将评估后的净资产与股本的差额记入"资本公积"科目。
②将评估基准口与凋账目之问发生的被评估资产的处置、销售、折旧等,按评估基准日的评估价值与账面价值之间的差额进行调整。企业改组为股份有限公司时,如果评估增值部分已按规定折成股份的,在计提固定资产折旧时,应当按照评估后的固定资产原价计提折旧。
③若建账日发现评估基准日被评估资产发生明显减值,对资本保全有影响的,一般应由原产权所有者用现钿或其他资产补足,或用以后年度应分享的利润补足。
⑧在评估基准日与建账日之间发生的盈亏,一般应由原产权所有者享有或承担。
(4)国有企业分立式公司制改建会计处理。国有企业采取分立式改建为公司制企业时,一般需对与拟组建公司制企业无关的资产和业务进行剥离,并根据剥离调整情况编制拟组建公司制企业的申报财务报表。在国有企业改制的条件下,公司制企业设立后应按资产评估结果建账,其经营业绩应包括公司设立前模拟的业绩和公司设立后的经营业绩。
①资产、负债的剥离调整。公司制企业应依据改制方案中确定的,划归公司制企业的各项资产和各项负债编制设立日的
资产负债表。划归公司制企业的各项资产和各项负债,必须实际投入并具有合法的权属凭证或债务转移合同。
经注册会计师审定的基准日的资产及相关负债属于资产评估的范围,以评估后净资产经国有资产管理部门批准后作为出资折股的依据。
②收入、费用的剥离调整。公司制企业应依据改制方案确定的公司业务范围,将原企业的收入及与之配比的费用按业务范围进行划分,确定列入公司制企业设立前各会计期间申报利润表的收入及费用。
(5)资产评估结果的会计处理。
①确立建账基准口,编制建账基准日的财务报表。以公司制企业设立日为公司制企业建账的基准日。但由于公司制企业设立前的生产经营活动仍在原企业进行,故在公司制企业建账前,要编制公司设立日原企业的资产负债表和截至公司设立口的利润表和现金流量表。同时应按照与评估基准日剥离调整相同的口径编制公司制企业的模拟资产负债表和利润表,该表的编制仍以历史成本为基础。
②公司制企业建立新账。公司制企业建账时,应按公司制企业建账目的模拟资产负债表、资产评估结果和财政部门批复的股权管理方案建立新账,将评估基准日各项资产及负债的价值增减额记入账内。但由于公司设立日和评估基准日不为同一日期,股权管理方案将评估基准日经评估后的净资产(包括实收资本、资本公积、盈余公积和未分配利润与评估增减值)折为股份有限公司的股本,评估基准日至公司设立日之间实现的利润应由原产权所有者享有,亏损则由原产权所有者承担并承担;评估基准日和公司设立日之间资产价值的贬损均由原产权所有者承担。
③评估基准日至公司设立日按评估后固定资产计提折旧的调整。由于公司制企业的股本依据评估后的净资产折股形成,对进入公司制企业的固定资产按评估后固定资产原价补提折并相应调整股份有限公司的"未分配利润"科目。
④评估基准日至建账日发生资产价值增减变化的处理。对于已经发生变化的资产评估增减值采用追溯调整法,即按资产变化方向调整。
⑤评估调账后净资产补足问题。评估调账后如净资产不足评估报告确定的评估后净资产总额的,即"未分配利润"为负数时,则需原产权所有者用货币资金或其他资产对股份公司出资不足补齐。
⑥编制建账日评估调账后的公司制企业资产负债表,该报表应作为公司制企业设立时的基本财务状况。
⑦各项资产减值准备的计提。按评估结果建账后,仍需按会计准则有关资产减值准备的规定确定是否计提资产减值准备。
4.企业并购时资产评估的会计处理
(1)企、世合并分为同一控制下的企业合并和非同一控制下的企业合并,对同一控制下的企业合并,合并方在企业合并中取得的资产和负债,应当按照合并日被合并方的账面价值计量。合并方取得的净资产的账面价值与支付的合并对价账面价值(或发行股份面值总额)的差额,应当调整资本公积;资本公积不足冲减的,调整留存收益。对非同一控制下的企业合并,购买方在购买日对作为企业合并对价付出的资产、发生或承担的负债应当按照公允价值计量,公允价值与账面价值的差额,计入当期损益。
(2)对于非同一控制下的企业合并,公司购买其他企、世的全部股权时,被购买企业保留法人资格的,被购买企业可以按照评估确认的价值调账;被购买企业丧失法人资格的,公司应按被购买企业评估确认后的价值入账。
(3)公司购买其他企业的部分股权时,且这种购买行为为非同一控制下的企业合并行为,被购买企业的账面价值应当保持不变,此时评估价值一般作为交易双方确定股权定价的参考依据。但对合并方而言,首先应根据长期股权投资准则确定初始投资成本,长期股权投资采用成本法核算,若长期股权投资的初始投资成本大于投资时应享有被投资单位可辨认净资产公允价值份额的,不调整已确认的初始投资成本;长期股权投资的初始投资成本小于投资时应享有被投资单位可辨认净资产公允价值份额的,应按其差额,借记"长期股权投资"科目,贷记"营业外收入"科目。应按被投资单位宣告发放的现金股利或利润中属于本企业的部分,分别作增加"应付股利"和"投资收益"处理;属于被投资单位在取得投资前实现净利润的分配额,作为投资成本的收回。
十二、财务报表分析
一、考试基本要求
1.掌握以下内容
(1)综合分析的含义和方法;
(2)财务比率分析各项指标的定义和具体运用;
(3)财务报表分析的内容。
2.熟悉以下内容
(1)财务报表的分析方法;
(2)财务报表分析的步骤。
3.了解以下内容
(1)财务报表分析的目的;
(2)财务报表分析的局限性。
二、要点说明
(一)财务报表分析方法
趋势分析法、比率分析法、因素分析法、比较分析法。
(二)财务比率
1.财务效益状况指标
(1)净资产收益率=净利润/平均净资产×l00%
平均净资产=(年初净资产+年末净资产)÷2
净资产=所有者权益(股东权益)=资产-负债
(2)总资产报酬率=(利润总额+利息支出)/平均资产总额×%
平均资产总额=(年初资产总额+年末资产总额)/2
(3)资本保值增值率=扣除客观因素后的年末所有者权益/年初所有者权益×l00%
(4)主营业务利润率=主营业务利润/主营业务收入×l00%
(5)盈余现金保障倍数=经营现金净流量/净利润
(6)费用利润率=利润总额/费用总额×100%
费用总额=营业成本+营业税金及附加+销售费用+管理费用+财务费用
2.资产营运状况指标
(1)总资产周转率(次)=销售(营业)收入净额/平均资产总额
销售(营业)收入净额=销售收入总额-销售折让
(2)流动资产周转率(次)=销售(营业)收入净额/平均流动资产总额
平均流动资产总额=(年初流动资产总额+年末流动资产总额)÷2
(3)存货周转率(次)=销售(营业)成本/平均存货
平均存货=(年初存货+年末存货)/2
(4)应收账款周转率(次)=销售(营业)收入净额/平均应收账款
平均应收账款=(年初应收账款+年末应收账款)/2
(5)不良资产比率=年末不良资产总额/年末资产总额×100%
3.偿债能力状况的分析指标
(1)资产负债率=负债总额/资产总额×l00%
(2)已获利息倍数=息税前利润/利息支出
息税前利润=利润总额+利息支出
(3)速动比率=速动资产/流动负债×100%
速动资产=流动资产-存货
(4)现金流动负债比率=年经营现金净流入/年末负债×100%
4.发展能力状况指标
(1)销售(营业)收入增长率=本年销售(营业)增长额/上年销售(营业)收入总额×100%
(2)资本积累率=本年所有者权益增长额/年初所有者权益×100%
(3)三年资本平均增长率=[(年末所有者权益总额÷三年前年末所有者权益总额)1/3-1]
(4)三年销售平均增长率={(当年主营业务收入总额÷三年前主营业务收入总额)1/3-1}
(5)技术投入比率=当年技术转让费支出与研发投入÷主营业务收入净额×100%
5.上市公司财务报表分析比率
(1)每股收益=净利润÷年未普通股股份总数
每股收益=(净利润-优先股股利)÷(年末股份总数-年末优先股股数)
稀释每股收益:当企业发行有可转换债券、认股权证、股份期权时,每股收益可能存在稀释的问题,为此需要计算稀释的每股收益。
(2)市盈率=普通股每股市价÷普通股每股收益
(3)股利支付率=每股现金股利÷每股收益
(4)股利与市价的比率=每股股利÷每股市价
(5)每股净资产=期末股东权益÷期末普通股股数
(三)资产负债表、利润表、现金流量表分析
1.资产负债表分析的步骤和内容主要有:
(1)总体分析,分析企业的规模和变化趋势。
(2)结构分析,包括资产结构、负债结构、资本结构分析。
通过资产结构分析,分析资产的利用效果;通过负债结构分析,分析企业经营的安全性;通过资本结构分析,分析资本的保值增值情况。
(3)财务比率分析,利用财务比率指标分析。
(4)具体项目分析,对企业财务状况产生较大影响的项目和变化幅度较大的项目进行具体分析。主要的项目有:货币资金、交易性金融资产、应收款项、预付款项、存货、长期股权投资、固定资产、无形资产、资产总计、交易性金融负债、非流动负债、所有者权益等项目。
2.利润表分析的步骤和内容
(1)总体分析,分析企业的盈利状况和变化趋势。
(2)结构分析,通过利润构成的结构分析,分析企业持续产生盈利的能力,利润形成的合理性。
(3)财务比率分析,利用财务比率指标分析。
(4)项目分析,对企业经营成果产生较大影响的项目和变化幅度较大的项目进行具体分析。主要的项目有:营业收入、营业成本、销售费用、管理费用、财务费用、投资收益、所得税费用等项目。
3.现金流量表分析的步骤和内容
(1)总体分析:分析企业现金净流量的情况,为经营管理决策提供依据。
(2)结构分析:包括经营活动产生现金流量、投资活动产生现金流量、筹资活动产生现金流量分别占现金及现金等价物净增加额的比重以及各自结构的分析。通过结构分析,分析企业产生现金流锓的能力。
(3)财务比率分析:利用财务比率指标分析。
①流动比分析。
现金到期的债务比=经营活动现金净流量÷本期到期的债务
现金流动负债比=经营活动现金净流量÷流动负债
现金债务总额比=经营活动现金净流量÷债务总额
②获取现金能力分析。
销售现金比率=经营活动现金净流量÷销售额
每股营业现金净流量=经营活动现金净流量÷普通股股数
全部资产现金回收率=经营活动现金净流量÷资产总额
③财务弹性分析。
现金满足投资比率=近5年平均经营活动现金净流量/近5年平均资本支出、存货、增加、现金股利之和
现金股利保障倍数=每股经营活动现金净流量÷每股现金股利
④收益质量分析。
营运指数=经营活动现金净流量÷经营所得现金
经营所得现金=净利润-非经营收益+非付现费用
(4)具体项目分析。现金流量表项目分析是对影响企业现金流量的项目和变化幅度较大的项目进行分析。主要的项目有:销售商品、提供劳务收到的现金、经营活动产生的现金流量净额、投资活动产生的现金流量净额、筹资活动产生的现金流量净额等项目。
(四)综合分析
综合分析是将企业视作一个完整的大系统,并将企业的财务状况、经营成果和财务状况变动等融合在一个有机的整体中,全方位地评价企业的财务状况、经营成果和财务状况的变动。综合分析的方法主要有:杜邦分析法和绩效评价分析法。杜邦分析法是利用各个主要财务比率指标之间的内在联系,通过综合分析来评价企业财务状况的分析方法。
净资产收益率=净利润/平均净资产×100%
=净利润/平均资产总额×平均资产总额/平均净资产×100%
=净利润/主营业务收入×主营业务收入/平均资产总额×平均资产总额/平均净资产×100%
绩效评价分析法是利用包括定量指标和定性指标在内的指标体系的实际数和平均数的对比,综合评价企业绩效的分析方法。
竞争性工商企业评价指标体系
| 定量指标(权重80%) | 定性指标(权重20%) | ||
| 指标类别(100分) | 基本指标(100分) | 修正指标(i00分) | 评议指标(100分) |
| 一、财务效益状况(38分) |
净资产收益率(25分) 总资产报酬率(13分) |
资本保值增值率(12分) 主营业务利润率(8分) 盈余现金保障倍数(9分) 费用利润宰(10分) |
1.经营者基本素质(18分) 2.产品市场占有能力(16分) 3.基础管理水平(12分) 4.发展创新能力(14分) 5经营发展战略(12分) 6.在岗员工素质(10分) 7.技术装备更新水平(10分) 8.综合社会贡献(8分) |
| 二、资产运营状况(18分) | 总资产周转率(9分) 流动资产周转率(9分) |
存货周转率(5分) 应收账款周转率(5分) 不良资产比率(8分) | |
| 三、偿债能力状况(20分) | 资产负债率(12分) 已获利息倍数(8分) |
现金流动负债比率(10分) 速动比率(10分) | |
| 四、发展能力状况(24分) | 销售增长率(12分) 资本积累率(12分) |
三年资产平均增长率(9分) 三年利润平均增长率(8分) 技术投人比率(7分) | |
十三、财务预测与决策
(一)考试目的
通过对财务预测与决策的考核,测试考生对财务预测与决策的基本原理与方法的掌握与运用情况,考核考生运用财务预测与决策解决实际问题的能力。
(二)基本要求
1.掌握以下内容
(,)掌握销售百分比法;
(2)掌握资本结构决策分析方法;
(3)掌握项目投资现金流量的计算方法;
(4)掌握项目投资评价的基本方法。
2.熟悉以下内容
(1)熟悉货币时间价值的计算;
(2)熟悉风险的衡量;
(3)熟悉个别资本成本的计算;
(4)熟悉加权平均资本成本的计算。
3.了解以下内容
(1)了解货币时间价值的概念;
(2)了解风险的概念;
(3)了解财务计划的编制。
(三)要点说明
1.货币时间价值
(1)复利终值和现值。复利终值又称本利和(或)到期值,是指本金在约定的期限内按一定的利率计算出每期的利息,将其加入本金再计算利息,逐期滚算到约定期末的本金和利息总值。
复利现值是复利终值的相对概念,指未来一定时问的特定资金按复利计算的现在价值,或者说是为了未来取得一定的本利和现在需要的本金。
(2)普通年金终值和现值。年金是指一系列稳定有规律的,
持续一段固定时期的现金收付活动。例如,分期付款赊购、分期偿还贷款、发放养老金、分期支付工程款、每年相同的销售收入等,都属于年金收付形式。
普通年金又称后付年金是指各期期末收付的年金。普通年金终值是指一定时期内每期期末等额的系列收付款项的复利终值之和。普通年金现值是指一定时期内每期期末等额的系列收付款项的现值之和。
(3)预付年金。预付年金是指在每期期初支付的年金,又称即付年金或先付年金。
(4)递延年金。递延年金是指第l次支付发生在第2期或第3期以后的年金。
(5)永续年金。无限期定额支付的年金,称为永续年金。现实中的存本取息,可视为永续年金的一个例子。永续年金没有终止时间,也就没有终值。
2.风险的衡量
财务上所讲的风险是指由于从事某项财务活动而产生的收益偏离预期结果的可能性。风险有很多类型。企业风险可以分为经营风险与财务风险;证券投资风险可分为系统风险(又称市场风险或不可分散风险)和非系统风险(又称企业特有风险或可分散风险)等。风险的衡量需要使用概率和统计方法。
(1)单项资产风险与报酬的衡量。
①概率。概率就是用来表示随机事件发生可能性大小的数值。通常,把必然发生事件的概率定为l,把不可能发难事件的概率定为0,而一般随机事件的概率是介于0与l之间的一个数。概率越大就表示该事件发生的可能性越大。
②期望值。期望值是一个概率分布中的所有可能结果,必各自相应的概率为权数计算的加权平均值。通常用符号 表示,
其计算公式为:

标准离差率是一个相对指标,它以相对数反映决策方案的风险程度。在期望值不同的情况下,标准离差率越大,风险越大;反之,标准离差率越小,风险越小。
(2)投资组合风险与收益的衡量。投资组合理论认为,若干种证券组成的投资,其收益是这些证券收益的加权平均数,但其风险不是这些证券风险的加权平均风险,投资组合能降低风险。
①证券组合的预期报酬率和标准差a.预期报酬率。两种或两种以上证券的组合,其预期报酬率可以直接表示为:

式中:σjk——j证券与k证券之间的预期相关系数;
σj——j证券的标准差
σk——k证券的标准差。
③系统风险和非系统风险。系统风险是指那些影响所有公司的因素引起的风险。例如,战争。经济衰退、通货膨胀、高利率等意外的、非预期的变化,对许多资产都会有影响。由于系统风险是影响整个资本市场的风险,昕以也称"市场风险".由于系统风险没有有效的办法消除,所以也称"不呵分散风险".
非系统风险是指发生于个别公司的特有事件引起的风险。这类事件是非预期的、随机发生的,它只影响一个或少数公司,不会影响整个市场。这种风险可以通过投资组合来分散。由于非系统风险是个别公司或个别资产所特有的,因此也称"特殊风险"或"特有风险".由于非系统风险可以通过投资组合分散掉,因此也称"可分散风险".
(3)资本资产定价模型。资本资产定价模型以充分组合情况下风险与要求的收益率之间的均衡关系为研究对象。资本资产定价模型可以帮助投资者确定为了补偿某一特定程度的风险,投资者应该获得多大的收益率水平,即期望投资报酬率,
①系统风险的度量。度帚一项资产系统风险的指标是贝他系数,用字母β表示。β系数是指某个资产的收益率与市场组合之间的相关性。β系数的经济意义在于,它向我们提供了相对于市场组合而言特定资产的系统风险是多少。
②投资组合的β系数,投资组合的廓等于被组合各证券β值的加权平均数:

如果一个高β值股票(β>1)被加人到一个平均风险组合(βp)中,则组合风险将会提高;反之亦然。所以,一种股票的β值可以度量该股票对整个组合风险的贡献,β值可以作为这一股票风险程度的一个大致度量。
③证券市场线。按照资本资产定价模型理沦,单一证券的系统风险可由β系数来度量,而且其风险与收益之间的关系可由证券市场线来描述。
证券市场线:Ki=Ri+β(Km一Rf)
式中:Ki——第i个股票的要求收益率;
Rf——无风险收益率(通常以国库券收益率作为无风险收益率);
Km——平均股票的要求收益率(指β=1的股票要求的收益率,也是指包括所有的组合即市场组合要求的收益率)。
在均衡状态下,(Km一Rf)是投资者为补偿承担超过无风险收益的平均风险而要求的额外收益,即风险价格。
证券市场线的斜率表示经济系统中风险厌恶感的程度。一般的说,投资者对风险的厌恶感越强,证券市场线的斜率越大,对风险资产所要求的风险补偿越大,对风险资产的要求收益率越高。
从证券市场线可以看出,投资者要求的收益率不仅仅取决于市场风险,而且还取决于无风险利率(证券市场线的截距)和市场风险补偿程度(证券市场线的斜率)。由于这些影响因素是不断变动的,所以证券市场线也会随之变动。比如预计通货膨胀率提高时,无风险利率会随之提高,这将导致证券市场线向上平移。风险厌恶感的加强,会提高证券市场线的斜率。
3.销售百分比法
(1)筹资需求预测是筹资决策的前提,其方法主要有定性预测法、趋势预测法、比率预测法、回归分析等。销售百分比法是比率预测法最常见的方法。它是假设收入、费用、资产、负债与销售收入存在着稳定的百分比关系,根据预计销售额和相应的百分比预计资产、负债和所有者权益,然后利用会计等式确定筹资需求。具体的计算方法有两种:一种事先根据销售总额预计资产、负债和所有者权益的总额,然后确定筹资需求;另一种是根据销售的增加额预计资产、负债和所有者权益的增加额,然后确定筹资需求。
(2)销售百分比法的步骤:
①销售预测:
②估计资产需要量;
③估汁收入、费用和留存收益;
④估计筹资需求。
4.个别资本成本的计算
(1)资本成本是指企业因筹集和使用资金而付出的代价,包括资金筹集费和资金占用费两部分。资本成本可有多种计量形式。一般而言,在比较各种筹资方式时,使用个别资本成本,包括普通股成本、留存收益成本、长期借款成本、债券成本;在进行资本结构决策时,使用加权平均资本成本;在进行追加筹资决策时,则使用边际资本成本。,
(2)个别资本成本是指各种筹资方式的成本。主要包括借款成本、债券成本、普通股成本和留存收益成本。前两种为债务资本成本,后两种为权益资本成本。
5.加权平均资本成本的计算
由于受多种因素的制约,企业不可能只使用某种单一的筹资方式,往往需要运用多种筹资方式筹集所需资金,企业正常经营所需的资金实际上是不同来源资金的组合。为进行筹资决策,除了要分别计算不同来源的资本成本外,还要计算企业全部资金的总成本——加权平均资本成本。加权平均资本成本一般是以各种资本占全部资本的比重为权数,对个别资本成本进行加权平均确定的。个别资本成本和企业的资本结构是计算加权平均资本成本的两大决定因素,其计算公式为:

所谓"边际资本成本"是指企业追加筹措资本的成本。企业无法以某一同定的资本成本来筹措无限的资金,当其筹集的资金超过一定限度时原来的资本成本就会增加。在企业追加筹资时,需要知道筹资额在什么数额上便会引起资本成本怎样的变化。这就要用到边际资本成本的概念。边际资本成本可以理解为资金每增加一个单位而增加的成本。边际资本成本也是按加权平均法计算的,是追加筹资时所使用的加权平均成本。
7.资本结构
(1)资本结构是指企业各种长期资金筹集来源的构成和比例关系。它是企业融资决策的核心问题之一。企业应综合考虑有关影响凼素,运用适当的方法确定最佳资本结构。用以衡量企业资本结构是否最佳的标准主要有:①加权平均资本成本最低,企业为筹资所花费的代价最少;②筹集到的能供企业使用的资本最充裕,能够确保企业长期经营和发展的需要;③股票市价上升,股东财富最大,企业总体价值最大;④企业的财务风险最小。
(2)每股收益分析(EPS分析)是利用每股收益的无差别点进行的。所谓每股收益的无差别点,指每股收益不受融资方式影响的销售水平。根据每股收益无差别点,可以分析判断在什么样的销售水平下适于采用何种资本结构。
每股收益的计算为:

能使得上述条件公式成立的销售额(S)为每股收益无差别点销售额。
(3)杠杆分析:杠杆分析是指分析企业各种杠杆运用情况对企业息前税前收益(EBIT)和每股收益(EPS)的影响,以及最终对企业资本结构决策的影响。主要的杠杆分析方法有经营杠杆系数分析、财务杠杆系数分析和复合杠杆系数分析。财务杠杆系数是企业一定时期息前税前利润确定的条件下,所计算的每股收益的变动率相当于息前税前利润变动率的倍数。财务杠杆可用如下公式计算:

式中:NCFt——第t年净经营现金流量;
Rt——第t年销售净额;
OCt——第t年经营成本,又称付现成本;
Dt——第t年折旧额;
T——所得税率。
(3)期末净现金流量。项目寿命期末除了寿命期最后一年的净经营现金流量外,还有固定资产清算变现的税后收入、回收投入项目的净营运资本、停止使用的土地出卖收入等。
10.项目投资决策分析的基本方法
(1)回收期法。回收期是企业用投资项目所得的净现金流量来回收项目初始投资所需的年限。投资回收期的计算因每年的税后净经营现金流量是否相等而有所不同。如果每年的税后净经营现金流量相同,且原始投资一次支出,则:
回收期=原始投资额/每年税后净经营现金流量(NCF)
如果每年的税后净经营现金流量不等,且投资分几年投入,回收期为使下式成立的n值。公式如下:

解上述方程可得IRR.内部收益率的判断标准是:IRR大于、等于筹资的资本成本,项目可接受;若IRR小于资本成本,则项目不可接受。
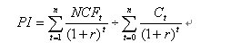
(4)获利能力指数法。获利能力指数是项目经营净现金流赶现值和投资支出现值之比,表明项目单位投资的获利能力,记为PI.

公式中分子为项同经营期间逐年收益的现值,分母为投资支出现值,故又称为收益成本比率。
获利能力指数的判断标准是:Pl≥l,项目可接受;反之,项目应拒绝:
(5)会计收益率法。会计收益率是项目年平均税后净收入和平均账面投资额之比,记为ARR.
会计收益率的判断标准是:4RR≥企qE目标收益率时,项目可行。
11.项目投资决策分析的应用
(1)固定资产更新决策。现有企业在经营过程中需要不断地吸收新的技术,对旧生产线和旧设备进行更新改造。企业在作资产更新分析时,原有老资产仍在运行,分析中应考虑老资产所产生的现金流量。在增量现金流量识别上,以不更新资产作为一个方案,更新资产作为另一个方案,构成一组互斥方案,计算它们的增蹙现金流量。
(2)资本限量决策。资本限量决策是指企业资金有一定限度,不能投资于所有可接受的项目。也就是说,有很多获利项目可供投资,但无法筹集到足够的资金。资本限量决策实质上就是运用获利能力指数法寻求一组使净现值最大化的投资项目组合。使用获利能力指数法的基本步骤如下:
(1)计算所有投资项目的净现值和获利能力指数,只接受PI≥l的投资项目;
(2)按各投资方案的获利能力指数高低为标准进行排序,逐项计算累计投资额,并与资本限量进行比较;
(3)当截止到某投资项目的累计投资额恰好等于资本限量时,前面的各投资项目即为最优的投资组合。
(4)如果第(3)步无法直接找到最优投资组合,需采用一定的方法对第(3)步进行必要的修正,即刈投资项目在资本限量内进行所有可能的投资组合排列,并找出所有投资组合的净现值的大小,接受净现值最大的投资组合为最优组合。

| 2007年注册资产评估师《财务会计》考试大纲 |
| 2007年注册资产评估师《经济法》考试大纲 |
| 2007年注册资产评估师《资产评估》考试大纲 |
| 2007年注册资产评估师《机电设备评估基础》考试大纲 |
| 2007年注册资产评估师《建筑工程评估基础》考试大纲 |
Copyright © 2000 - www.fawtography.com All Rights Reserved. 北京正保会计科技有限公司 版权所有
京B2-20200959 京ICP备20012371号-7 出版物经营许可证
京公网安备 11010802044457号
套餐D大额券
¥
去使用