扫码下载APP
及时接收最新考试资讯及
备考信息
[财务会计]、[经济法]、[资产评估]、[机电设备评估基础]、[建筑工程评估基础]
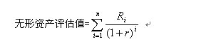
一、总论
(一)考试目的
通过对资产评估总论内容的考核,测试考生对资产评估基本理论和专业知识的掌握和运用情况。考察考生运用资产评估基本理论和专业知识解决资产评估实际问题的能力。
(二)考试基本要求
1.掌握以下内容
(1)资产评估的含义、构成要素和特点;
(2)资产的分类及其特征;
(3)资产评估价值类型及其划分标准;
(4)市场价值与市场价值以外的价值(非市场价值)的定义、两者之间的关系;
(5)明确市场价值与市场价值以外的价值(非市场价值)在资产评估中的意义和作用;
(6)交易假设、公开市场假设、持续使用假设和清算假设的内涵和实质;
(7)各种评估假设使用范围及约束条件;
(8)资产评估中的预期收益原则、替代原则、供求原则、贡献原则、评估时点原则等经济技术原则及其应用领域。
2.熟悉以下内容
(1)资产评估中价值和价格的区别;
(2)市场价值以外的价值(非市场价值)的主要价值形式;
(3)资产评估一般目的与特定目的的内涵和两者的关系;
(4)资产评估特定目的在资产评估中的地位和作用;
(5)资产评估中的独立性、客观性和公正性等工作原则;
(6)资产评估与会计资产计价的联系与区别,熟悉资产评估与审计的联系和区别。,
3.了解以下内容
(1)资产评估的作用;
(2)资产评估的分类。
(三)要点内容
1.资产评估及其构成要素和特点
(1)资产评估。资产评估是专业机构和人员,按照国家法律法规和资产评估准则,根据特定目的,遵循评估原则,依照相关程序,选择适当的价值类型,运用科学方法,对资产价值进行分析、估算并发表专业意见的行为和过程。
(2)资产评估的基本组成要素是由以下内容组成:是评估主体,即从事资产评估的机构和人员,他们是资产评估工作的主导者。二是评估客体,即被评估的资产,它是资产评估的具体对象,也称为评估对象。三是评估依据,也就是资产评估工作所遵循的法律、法规、经济行为文件、重大合同协议以及取费标准和其他参考依据。四是评估目的,即资产业务引发的经济行为对资产评估结果的要求,或资产评估结果的具体用途。它直接或问接地决定和制约资产评估的条件,以及价值类型的选择。五是评估原则,即资产评估的行为规范,是调节评估当事人各方关系、处理评估业务的行为准则。六是评估程序,即资产评估工作从开始准备到最后结束的工作顺序。七是评估价值类型,即对评估价值质的规定,它对资产评估参数的选择具有约束性。八是评估方法,即资产评估所运用的特定技术,是分析和判断资产评估价值的手段和途径。九是资产评估假设,即资产评估得以进行的前提条件的假定说明等。十是资产评估基准日,即资产评估的时间基准。以上基本要素构成了资产评估活动的有机整体。
(3)资产评估特点。理解和把握资产评估的特点,有利于进一步认识资产评估的实质,对于搞好资产评估工作,提高资产评估质量具有重要意义。一般来说,资产评估具有市场性、公正性、专业性和咨询性的特点。
①市场性是资产评估的一个突出特点。资产评估是适应市场经济需要和要求而产生的专业中介服务活动,其基本目标就是根据资产业务的不同性质,通过模拟市场对资产价值做出经得起市场检验的判断和报告。
②公正性也是资产评估的一个显著特点。公正性是指资产评估行为服务于资产业务的需要,而不是服务于资产业务当事人的任何一方的需要。资产评估是站在独立客观的立场上对资产的价值发表专家的意见。
③专业性和咨询性同样是资产评估的一个明显特点。首先,从事资产评估服务的应是一批不同类型的专家及专业人上并形成专业化分工,使得评估活动专家化和专业化;其次,评估人员对资产价值的估计判断都是建立在专业技术知识和经验的基础之上;再次,尽管资产评估是一些专家行为,评估结果是一种专家意见。但足,资产评估结论是为资产业务提供专业化估价意见,该意见本身并无强制执行的效力,从性质上讲,属于咨询而不是定价。
2.资产及其基本特征
资产是一个具有多角度、多层面的概念,既有经济学中的资产概念,也有其他学科的资产概念,评估人员应明确作为评估对象的资产的确切含义。经济学中的资产是泛指特定经济主体拥有或控制的,能够给特定经济主体带来经济利益的经济资源。也有将其表述为特定经济主体拥有或控制的,具有内在经济价值的实物和无形的权利。
会计学中的资产是指过去的交易或事项形成并由企业拥有或控制的资源,该资源预期会给企业带来经济利益。会计学中的资产不但有定义而且有确认标准,只有同时满足定义和确认标准条件的才能成为会计资产:而且会计资产主要指的是企业中的资产,这是资产评估对象中的重要组成部分,但资产评估对象或资产评估中的资产只有定义约束,没有确认标准,而且也并不完全局限于企业中的资产。
资产评估中的资产或作为资产评估对象的资产,其内涵更接近于经济学中的资产,即特定权利主体拥有或控制的并能给特定权利主体带来未来经济利益的经济资源。而外延则包括了具有内在经济价值,以及市场交换价值的所有实物和无形的权利。
资产具有以下基本特征:
(1)资产必须是经济主体拥有或者控制的。
(2)资产是能够给经济主体带来经济利益的资源,即可望给经济主体带来现金流入的资源。
(3)资产必须能以货币计量。也就是说资产价值能够运用货币进行计量,否则就不能作为资产确认。
3.资产的分类
(1)按资产存在形态分类,可以分为有形资产和无形资产。
(2)按资产构成和是否具有综合获利能力分类,可以分为单项资产和整体资产。
(3)按资产能否独立存在分类,可以分为可确指的资产和不可确指的资产。
(4)按资产与生产经营过程的关系分类,可以分为经营性资产和非经营性资产。
(5)按现行企业会计制度及其资产的流动性分类,可以分为流动资产、长期性投资资产、固定资产和无形资产等。
4.资产评估中的价格与价值
在资产评估中资产的价格和价值是被如下定义和规定的:在资产评估中,价格一般是指在特定的交易行为中,特定的买方(或)卖方对商品或服务的交换价值的认可,以及提供或支付的货币数额。价格足一个历史数据或事实,是特定的交易行为中特定买方和卖方对商品或服务实际支付或收到的货币数额。资产评估中的价值是一个交换价值范畴,它反映了可供交易的商品、服务与其买方、卖方之间的货币数量关系。资产评估中的价值不是一个历史数据或事实,它只是专业人士根据特定的价值定义在特定时间内对商品、服务价值的估计。
5.市场价值与市场价值以外的价值(非市场价值)及其划分标准
(1)市场价值与市场价值以外的价值(非市场价值)的划分标准有以下几个方面:
①资产评估时所依据的市场条件,是公开市场条件还是非公开市场条件。
②资产评估时所依据的被评估资产的使用状态,是正常使用(最佳使用)还是非正常使用。
③评估时所使用的信息资料及其相关参数的来源,使用的是公开市场信息数据还是非公开市场的信息数据。
(2)市场价值与市场价值以外的价值(非市场价值)定义资产评估中的市场价值是指资产在评估基准日公开市场上最佳使用(或正常使用、最有可能使用)状态下可能实现的交换价值的估计数额。
或者说评估资产价值依据的所有信息资料都来源于公开市场的资产评估价值结论是市场价值。
市场价值以外的价值也称非市场价值或其他价值。它并没有直接的定义,它是一系列不符合资产市场价值定义条件的所有价值形式的总称或组合,它包括了一系列具体的价值形式。例如,在用价值、投资价值、持续经营价值、保险价值、清算价值、课税价值、特殊价值等。
(1)在用价值是指作为企业组成部分的特定资产对其所属企业能够带来的价值,而并不考虑该资产的最佳用途或资产变现的情况。
(2)投资价值是指资产对于具有明确投资目标的特定投资者或某一类投资者所具有的价值。资产的投资价值与投资性资产价值是两个不同的概念,投资性资产价值是指特定主体以投资获利为目的而持有的资产在公开市场上按其最佳用途实现的市场价值。
(3)持续经营价值是指企业作为一个整体的价值。由于企业的各个组成部分对该企业整体价值都有相应的贡献,可以将企业总的持续经营价值分配给企业的各个组成部分,即构成企业持续经营的各局部资产的在用价值。
(4)保险价值是指根据保险合同或协议中规定的价值定义所确定的价值。
(5)清算价值是指资产处于清算、迫售或快速变现等非正常市场条件下所具有的价值。
(6)课税价值是指根据税法中规定的与征纳税收相关的价值定义所确定的价值。
6.市场价值与市场价值以外的价值(非市场价值)在资产评估中的意义和作用
这种分类方法和概念界定有利于评估人员对评估条件与评估结果性质的认识,便于评估人员在撰写评估报告时更清楚明了地说明其评估结果的确切含义。这种分类方法及概念界定便于评估人员划定其评估结果的适用范围和使用范围。
7.资产评估目的
资产评估的目的有资产评估一般目的和特定目的之分。资产评估一般目的包含着特定目的,而资产评估特定目的则是一般目的的具体化。
(1)资产评估一般目的。资产评估的一般目的或资产评估的基本目标是由资产评估的性质及其基本功能决定的。资产评估作为一种专业人士对特定时点及特定条件约束下资产价值的估计和判断的社会中介活动,它一经产生就具有了为委托人以及资产交易当事人提供合理的资产价值咨询意见的功能。不论是资产评估的委托人,或是与资产交易有关的当事人,他们所需要的无非是评估师对资产在一定时间及一定条件约束下资产公允价值的判断。如果我们暂且不考虑资产交易或引起资产评估的特殊需求,资产评估所要实现的一般目的只能是资产在评估时点的公允价值。
(2)资产评估的特定目的。资产评估作为资产估价活动,总是为满足特定资产、世务的需要而进行的,在这里资产业务是指引起资产评估的经济行为。通常把资产业务对评估结果用途的具体要求称为资产评估的特定目的。
8.资产评估特定目的在资产评估中的地位和作用
资产评估特定目的是由引起资产评估的特定经济行为(资产业务)所决定的,它对评估结果的性质、价值类型等有重要的影响。资产评估特定日的不仅是某项具体资产评估活动的起点,同时它又是资产评估活动所要达到的目标。资产评估特定目的贯穿着资产评估的全过程,影响着评估人员对评估对象的界定、资产价值类型的选择,等等。它是评估人员在进行具体资产评估时必须首先明确的基本事项。
9.资产评估假设
(1)交易假设。交易假设是资产评估得以进行的一个最基本的前提假设,交易假设是假定所有待评资产已经处在交易过程中,评估师根据待评估资产的交易条件等模拟市场进行估价。
交易假设一方面为资产评估得以进行"创造"了条件;另一方面它明确限定了资产评估外部环境,即资产是被置于市场交易之中。资产评估不能脱离市场条件而孤立地进行。
(2)公开市场假设。公开市场假设是对资产拟进入的市场的条件,以及资产在这样的市场条件下接受何种影响的一种假定说明或限定。公开市场假设的关键在于认识和把握公开市场的实质和内涵。就资产评估而言,公开市场是指充分发达与完善的市场条件,指一个有自愿的买者和卖者的竞争性市场。在这个市场上,买者和卖者的地位是平等的,彼此都有获取足够市场信息的机会和时间,买卖双方的交易行为都是在自愿的、理智的,而非强制或不受限制的条件下进行的。
在资产评估中,市场是有范围的,它可以是地区性市场,也可以是国内市场,还可以是国际市场。关于假设中的公开市场可以是区域的、国内的或国际的。
(3)持续使用假设。持续使用假设也是对资产拟进入的市场的条件,以及在这样的市场条件下的资产状态的一种假定性描述或说明。持续使用假设又细分为三种具体情况:一是在用续用;二是转用续用;三是移地续用。
①在用续用指的是处于使用中的被评估资产在产权发生变动或资产业务发生后,将按其现行正在使用的用途及方式继续使用下去。
②转用续用指的是被评估资产将在产权发生变动后或资产业务发生后,改变资产现时的使用用途,调换新的用途继续使用下去。
③移地续用指的是被评估资产将在产权变动发生后或资产业务发生后,改变资产现在的空间位置,转移到其他空间位置上继续使用。
(4)清算假设。清算假设是对资产拟进入的市场条件的一种假定说明或限定。具体而言,是对资产在非公开市场条件下被迫出售或快速变现条件的假定说明。清算假设首先是基于被评估资产面临清算或具有潜在的被清算的事实或可能性,再根据相应数据资料推定被评估资产处于被迫出售或快速变现的状态。
10.资产评估经济技术原则
(1)预期收益原则。预期收益原则是以技术原则的形式概括出资产及其资产价值的最基本的决定因素。资产之所以有价值是因为它能为其拥有者或控制者带来未来经济利益,资产价值的高低主要取决于它能为其所有者或控制者带来的预期收益量的多少。预期收益原则是评估人员判断资产价值的一个最基本的依据。
(2)供求原则。供求原则是经济学中关于供求关系影响商品价格原理的概括。假定在其他条件不变的前提下,商品的价格随着需求的增长而上升,随着供给的增加而下降。尽管商品价格随供求变化并不成固定比例变化,但变化的方向都带有规律性。供求规律对商品价格形成的作用力同样适用于资产价值的评估,评估人员在判断资产价值时也应充分考虑和依据供求原则。
(3)贡献原则。从一定意义上讲,贡献原则是预期收益原则的一种具体化原则。它也要求资产价值的高低要由该资产的贡献米决定。贡献原则主要适用于构成某整体资产的各组成要素资产的贡献,或者是当整体资产缺少该项要素资产将蒙受的损失。
(4)替代原则。作为一种市场规律,在同一市场上,具有相同使用价值和质量的商品,应有大致相同的交换价值。如果具有相同使用价值和质量的商品,具有不同的交换价值或价格,买者会选择价格较低者。当然,作为卖者,如果可以将商品卖到更高的价格水平上,他会在较高的价位上出售商品。在资产评估中确实存在着评估数据、评估方法等合理替代的问题,正确运用替代原则是公正进行资产评估的重要保证。
(5)评估时点原则。市场是变化的,资产的价值会随着市场条件的变化而不断改变。为了使资产评估得以操作,同时又能保证资产评估结果可以被市场检验,在资产评估时,必须假定市场条件固定在某一时点,这一时点就是评估基准日,或称估价日期,它为资产评估提供了一个时间基准。资产评估的评估时点原则要求资产评估必须有评估基准日,而且评估值就是评估基准日的资产价值。
上述经济技术原则是资产评估的基本部分,在具体资产评估过程中还可能适用其他经济技术原则。
11.资产评估与会计和审计的联系与区别
(1)资产评估与会计的联系。资产评估与会计的联系主要表现在特定条件下,资产会计计价和财务报告利用资产评估结论,以及资产评估需要参考会计数据资料两个方面。
①2006年2月15日,我国颁布的新的《企业会计准则》第一次全面地引入了公允价值,在投资性房地产、长期股权投资、交易性金融资产、债务重组、非货币性资产交换、非同一控制下企业合并、资产减值等具体准则中允许采用公允价值计量。根据我国现阶段市场的发育程度,我国新的会计准则采取了有限度地运用公允价值作为会计计价属性的做法,并对采用公允价值计量规定了一些条件:一是资产存在活跃市场的,应当以市场中的交易价格作为公允价值;二是资产本身不存在活跃市场,但类似资产存在活跃市场的,应当以类似资产的交易价格为基础确定公允价值;三是对于不存在同类或类似资产可比市场交易的资产,应当采用估值技术确定其公允价值。
②资产评估利用和参考会计数据的情况也是经常发生的,特别是在企业价值评估中,广泛地利用企业财务报表、有关财务指标以及财务预测数据等。而且,这些企业会计数据资料的准确程度在一定程度上也会影响资产评估结果的质量。
(2)资产评估与会计计价之间的相互关系随着新的会计准则的实施会越来越多,但是不能否认在许多情况下,两者的区别电是明显的。
①会计是一项以记账、算账和报账为基本手段,连续地、系统地反映和监督企业生产经营、财务收支及其成果的一种社会活动。会计计价主要是确定出可靠、谨慎的资产、负债及收益的会计信息,服务于企业、政府和社会。反映和监督是会计的基本职能。资产评估是一种价值判断活动,它主要服务于资产交易和产权变动。资产交易和产权变动要求资产评估必须遵循公开、公正和公平的原则,估测出资产的公允价值。公正客观地评估和咨询是资产评估的基本职能。
②资产评估与会计可靠、谨慎地确定资产、负债及收益的服务宗旨相一致;会计记账和算账中的资产确认和计价主要以历史成本为依据,与资产评估为资产交易及产权变动服务的宗旨相一致。在资产评估中的资产确认和评价主要是以效用和市场价值为依据。
③会计中的资产计价方法主要采用核算方法。资产评估中的资产价值评估除了可以利用核算方法外,还广泛应用预期收益折现方法、市场售价类比方法等多种技术方法。
④会计计价的基本目标是为企业管理、会计核算和会计信息披露服务。,资产评估的基本目标是为资产交易和产权变动服务。
(3)资产评估与审计虽同为专业服务性质的活动,但双方既相互区别,又相互联系。它们的区别主要为:
①审计是在现代企业两权分离背景下产生的旨在对企业财务报表所反映的企业财务状况和经营成果的真实性和公允性做出事实判断,具有明显的公正性特征。资产评估是在市场经济充分发展,适应资产交易、产权变动的需要,旨在为委托人与有关当事人的被评估资产做出价值判断,具有明显的咨询性特征。
②审计人员在执业过程中,要自始至终地贯彻公证、防护和建设三大专业原则,而资产评估人员在执业过程中则必须遵循供求、替代、贡献、预期等基本经济原则。
③审计工作足以会计学、税法及其他经济法规等知识为专业知识基础,而资产评估的专业知识基础,除了由经济学、法律、会计学等知识组成外,工程技术方面的知识,也是其重要的组成部分。
④审计主要是对会计报告的审计,为保证会计信息的公允可靠,审计对业务的处理标准,特别是资产的订价原则与会计是同一的,如历史成本。而资产评估自始至终坚持以市场和资产的效用为资产价值判断的依据。资产评估在资产计价原则、输出数据原则及技术标准等方面与审计有着质的区别。
二、资产评估的基本方法
(一)考试目的
通过对资产评估基本方法内容的考核,测试考生对资产评估基本方法内涵、使用前提、具体方法的掌握和运用的情况,考核考生对资产评估各类基本方法和具体方法的应用能力。
(二)考试基本要求
1.掌握以下内容
(1)市场法的基本含义与应用前提;
(2)市场法运用的基本步骤;
(3)市场法中的直接比较法和类比调整法中的具体方法,如现行市价法、功能价值类比法、价格指数法、成新率价格调整法、市价折扣法、成本市价法、市场售价类比法和价值比率(倍数)法等的运用及其适用条件和使用要求;
(4)收益法的基本含义和应用前提;
(5)收益法中收益额、折现率和收益期限三个基本参数的内涵、实质和估测方法;
(6)收益法中各种具体方法的运用及其适用条件和使用要求;
(7)成本法的基本含义;
(8)成本法中重置成本、实体性贬值、功能性贬值和经济性贬值的含义;
(9)重置核算法、价格指数法、功能价值类比法、规模经济效益指数法等具体估算重置成本的方法的运用;
(10)各种贬值的估测方法;
(11)掌握市场法、收益法和成本法之问的逻辑关系及应用关系。
2.熟悉以下内容
(1)市场法中可比因素及其内在要求;
(2)收益法的实施步骤;
(3)每类评估方法中各种具体方法之间的逻辑关系和应用关系;
(4)选择和运用各种评估方法基本要求与需要考虑的各种条件及参数。
3.了解以下内容
(1)成本法的适用范围;
(2)统计分析法的运用步骤。
(三)要点内容
1.市场法的基本含义与应用前提
(1)市场法的基本含义。市场法是指利用市场上同样或类似资产的近期交易价格,经过直接比较或类比分析以估测资产价值的各种评估技术方法的总称。
(2)市场法的应用前提。通过市场法进行资产评估需要满足两个最基本的前提条件:一是要有一个活跃的公开市场;二是公开市场上要有可比的资产及其交易活动。
2.市场法运用的基本步骤
(1)选择参照物;
(2)在评估对象与参照物之间选择比较因素;
(3)指标对比、量化差异;
(4)在各参照物成交价格的基础上调整已经量化的对比指标差异;
(5)综合分析确定评估结果。
3.市场法中的直接比较法
市场法中的直接比较法是指利用参照物的交易价格及参照物的某一基本特征直接与评估对象的同一基本特征进行比较而判断评估对象价值的一类方法。它包括但并不限于以下具体评估方法(具体方法的名称可能并不完全统一)。例如,现行市价法、功能价值类比法、价格指数法、成新率价格调整法、市价折扣法等。
(1)现行市价法。当评估对象本身具有现行市场价格或与评估对象基本相同的参照物具有现行市场价格的时候,可以直接利用评估对象或参照物在评估基准日的现行市场价格作为评估对象的评估价值。
(2)市价折扣法。市价折扣法是以参照物成交价格为基础,考虑到评估对象在销售条件、销售时限等方面的不利因素,凭评估人员的经验或有关部门的规定,设定一个价格折扣率来估算评估对象价值的方法。用数学式表达为:
资产评估价值=参照物成交价格×(1-价格折扣率)
(3)功能价值类比法(类比估价法)。功能价值类比法是以参照物的成交价格为基础,考虑参照物与评估对象之间的功能差异进行调整来估算评估对象价值的方法。根据资产的功能与其价值之间的线性关系和指数关系的区别,其计算公式分别为:
①资产价值与其功能呈线性关系的情况,通常被称为生产能力比例法:
资产评估价值=参照物成交价格×评估对象生产能力/参照物生产能力
②资产价值与其功能呈指数关系的情况,通常被称为规模经济效益指数法:
资产评估价值=参照物成交价格×(评估对象生产能力/参照物生产能力)
(4)价格指数调整法(物价指数法)。价格指数调整法是以参照物成交价格为基础,考虑参照物的成交时间与评估对象的评估基准日之间的时间间隔对资产价值的影响,利用价格指数调整估算评估对象价值的方法。
(5)成新率价格调整法。成新率价格调整法是以参照物的成交价格为基础,考虑参照物与评估对象新旧程度上的差异,通过成新率调整估算出评估对象的价值。其计算公式为:
资产评估价值=参照物成交价格×评估对象成新率/参照物成新率
直接比较法直观简洁,便于操作,但通常对参照物与评估对象之间的可比性要求较高。参照物与评估对象要达到相同或基本相同的程度,或参照物与评估对象的差异主要体现在某一明显的因素上,如新旧程度或交易时间先后等。
4.市场法中的类比调整法
类比调整法是市场法中最基本的具体评估方法。该法并不要求参照物与评估对象必须一样或者基本一样。只要参照物与评估对象在大的方面基本相同或相似,该法通过对比分析调整参照物与评估对象之间的差异,在参照物成交价格的基础上调整估算评估对象的价值。
类比调整法具有适用性强,应用广泛的特点。但该法对信息资料的数量和质量要求较高,而且要求评估人员要有较丰富的评估经验、市场阅历和评估技巧。因为,类比调整法可能要对参照物与评估对象的若干可比因素进行对比分析和差异调整。没有足够的数据资料,以及对资产功能、市场行情的充分了解和把握,很难准确地评定估算出评估对象的价值。
在具体操作过程中,类比凋整法中使用频率较高的有成本市价法、市场售价类比法和价值比率(倍数)法等具体评估方法。
(1)成本市价法。成本市价法是以评估对象的现行合理成本为基础,利用参照物的成本市价比率来估算评估对象价值的方法。用数学式表达为:
资产评估价值=评估对象现行合理成本×参照物成交价格/参照物现行合理成本
(2)市场售价类比法。市场售价类比法是以参照物的成交价格为基础,考虑参照物与评估对象在功能、市场条件和销售时间等方面的差异,通过对比分析和量化差异,调整估算出评估对象价值的各种方法,其数学表达式为:
资产评估价值=参照物售价+功能差异值+时间差异值+…+交易情况差异值
或:资产评估价值=参照物售价×功能差异修正系数×…×时间差异修正系数
(3)价值比率(倍数)法。价值比率法则主要适用于整体企业的评估。价值比率法是以参照企业或并购案例企业的价值比率,如市盈率作为乘数(倍数),以此乘数与评估对象(企业)的相关参数相乘估算评估对象(企业)价值的方法。以市盈率作为价值比率为例,用数学式表达为:
被评估企业评估价值=评估对象(企业)收益额×参照物(企业)市盈率
5.收益法基本的含义与应用前提
收益法是指通过估测被评估资产未来预期收益的现值来判断资产价值的各种评估方法的总称。它服从资产评估中将利求本的思路,即采用资本化和折现的途径及其方法来判断和估算资产价值。它涉及三个基本要素:一是被评估资产的预期收益;二是折现率或资本化率;三是被评估资产取得预期收益的持续时间。因此,能否清晰地把握上述三要素就成为能否运用收益法的基本前提。从这个意义上讲,应用收益法必须具备的前提条件是:
(1)被评估资产的未来预期收益可以预测并可以用货币衡量;
(2)资产拥有者获得预期收蒜所承担的风险也。可以预测并可以用货币衡量;
(3)被评估资产预期获利年限可以预测。
6.收益法中的收益额
收益额足适用收益法评估资产价值的基本参数之一。在资产评估中,资产的收益额是指根据投资回报的原理,资产在正常情况下所能得到的归其产权主体的所得额。资产评估中的收益额有两个比较明确的特点:其一,收益额是资产未来预期收益额,而不是资产的历史收益额或现实收益额;其二,在许多场合下用于资产评估的收益额是资产的客观收益,而不一定是资产的实际收益。收益额的上述两个特点是非常重要的,评估人员在执业过程中应切实注意收益额的特点,以便合理运用收益法来估测资产的价值。
7.收益法中的折现率
收益法中的折现率,从本质上讲是一种期望投资报酬率,是投资者在投资风险一定的情况下,对投资所期望的回报率。折现率就其构成而言,它是由无风险报酬率和风险报酬率组成的。无风险报酬率,亦称安全利率,一般是参照同期国库券利率。风险报酬率是指超过无风险报酬率以上部分的投资回报率。
8.收益法中的收益期限
收益期限是指资产具有获利能力持续的时间,它由评估人员根据被评估资产自身效能及相关条件,以及有关法律、法规、契约、合同等加以测定。
9.收益法中的主要技术方法
收益法实际上是在预期收益还原思路下若干具体方法的集合。从犬的方面来看,收益法中的具体方法可以分为若干类,其一是针对评估对象未来预期收益有无限期的情况划分,分为有限划分,又可分为等额收益评估方法、非等额收益方法等。对于收益法中的主要技术方法,考生应掌握各种具体方法的运用及其适用条件和使用要求。具体方法可参考辅导教材第二章的相关内容。
10.成本法的基本含义
成本法也是资产评估的基本方法之一。成本法是指首先估测被评估资产的重置成本,然后估测被评估资产业已存在的各种贬损因素,并将其从重置成本中予以扣除而得到被评估资产价值的各种评估方法的总称。上述评估用公式可概括为:
资产评估价值=资产的重置成本-资产实体性贬值-资产功能性贬值-资产经济性贬值
11.成本法中的基本要素
就一般意义上讲,成本法的运用涉及四个基本要素,即资产的重置成本、资产的实体性贬值、资产的功能性贬值和资产的经济性贬值。
(1)资产的重置成本。简单地说,资产的重置成本就是资产的现行再取得成本。具体来说,重置成本又分为复原重置成本和更新重置成本两种。
①复原重置成本是指采用与评估对象相同的材料、建筑或制造标准、没计、规格及技术等,以现时价格水平重新购建与评估对象相同的全新资产所发生的费用。
②更新重置成本是指采用新型材料、现代建筑或制造标准、新型设计、规格和技术等,以现行价格水平购建与评估对象具有同等功能的全新资产所需的费用。
(2)资产的实体性贬值。、资产的实体性贬值亦称有形损耗,是指资产由于使用及自然力的作用导致的资产的物理性能的损耗或下降而引起资产的价值损失。
(3)资产的功能性贬值。资产的功能性贬值是指由于技术进步引起的资产功能相对落后而造成的资产价值损失。它包括由于新工艺、新材料和新技术的采用,而使原有资产的建造成本超过现行建造成本的超支额,以及原有资产超过体现技术进步的同类资产的运营成本的超支额。
(4)资产的经济性贬值。资产的经济性贬值是指由于外部条件的变化引起资产闲置、收益下降等而造成的资产价值损失。
12.重置成本的具体估测方法
(1)重置核算法。重置核算法亦称细节分析法、核算法等。它是利用成本核算的原理,根据重新取得资产所需的费用项目,逐项计算然后累加得到资产的重置成本。在实际测算过程中又具体划分为两种类型:购买型和白建型。购买型是以购买资产的方式作为资产的重置过程,购买的结果一般是资产的购置价,如果被评估资产属于不需要运输、安装的资产,购置价就是资产的重置成本。如果被评估资产属于需要运输,安装的资产,资产的重置成本具体是由资产的现行购买价格、运杂费、安装调试费以及其他必要费用构成,将上述取得资产的必需费用累加起来,便可计算出资产的重置成本。自建型是把自建资产作为资产重置方式,它根据重新建造资产所需的料、工、费及必要的资金成本和升发者的合理收益等分析和计算出资产的重置成本。
(2)价格指数法。价格指数法是利用与资产有关的价格变动指数,将被估资产的历史成本(账面价值)调整为重置成本的一种方法。
(3)功能价值类比法。功能价值类比法是指利用某些资产的功能(生产能力)的变化与其价格或重置成本的变化呈某种指数关系或线性关系,通过参照物的价格或重置成本,以及功能价值关系估测评估对象价格或重置成本的技术方法(该方法亦称之为类比估价法——指数估价法)。当资产的功能变化与其价格或重置成本的变化呈线性关系时,人们习惯把线性关系下的功能价值类比法称之为生产能力比例法,而把非线性关系条件下的功能价值法称之为规模经济效益指数法。
①生产能力比例法。生产能力比例法是寻找一个与被评估资产相同或相似的资产为参照物,根据参照资产的重置成本及参照物与被评估资产生产能力的比例,估算被评估资产的重置成本。
②规模经济效益指数法。通过不同资产的牛产能力与其成本之间关系的分析可以发现,许多资产的成本与其生产能力之间不存在线性关系,当资产A的生产能力比资产B的生产能力大1倍时,其成本却不一定大l倍,也就是说,资产生产能力和成本之间只是同方向变化,而不是等比例变化,这是由于规模经济效益作用的结果。两项资产的重置成本和生产能力相比较,其关系可用下列公式表示:
被评估资产的重置成本/参照物资产的重置成本=(被评估资产的产量/参照物资产的产量)X
推导可得:
被评估资产的重置成本=参照物资产的重置成本×(被评估资产的产量/参照物资产的产量)X
公式中的X被称为规模经济效益指数,通常是一个经验数据。
关于具体评估方法及其数学归纳式可参考辅导教材相关章节的内容。
13.各种贬值的估测方法
(1)实体性贬值估测方法。
①观察法。它是指由具有专业知识和丰富经验的工程技术人员对被评估资产的实体各主要部位进行技术鉴定,并综合分析资产的设计、制造、使用、磨损、维护、修理、大修理、改造情况和物理寿命等因素,将评估对象与其全新状态相比较,考察由于使用磨损和自然损耗对资产的功能、使用效率带来的影响,判断被评估资产的实体性贬值率或成新率,从而估算文体性贬值。
②使用年限法(或称年限法)。使用年限法是利用被评估资产的实际已使用年限与其总使用年限的比值来判断其实体贬值率(程度),进而估测资产的实体性贬值。
使用年限法所显示的评估技术思路是一种应用较为广泛评估技术,在资产评估实际工作巾,评估人员还可以利用资产的工作量、行驶里程等指标,利用使用年限法的技术思路测算资产的实体性贬值。
⑧修复费用法。这种方法是利用恢复资产功能所支出的费用金额来直接估算资产实体性贬值的一种方法,所谓修复费用包括资产主要零部件的更换或者修复、改造、停工损失等费用支出。如果资产可以通过修复恢复到其全新状念,可以认为资产的实体性损耗等于其修复费用,,
(2)功能性贬值估测方法。
①超额运营成本形成的功能性贬值的估算可以按下列步骤进行:
第一,将被评估资产的年运营成本与功能相同但性能更好的新资产的年运营成本进行比较。
第二,计算二者的差异,确定净超额运营成本。由于企业支付的运营成本是存税前扣除的,企业支付的超额运营成本会引致税前利润额下降,所得税额降低,使得企业负担的运营成本低于其实际支付额。因此,净超额运营成本是超额运营成本扣除其抵减的所得税以后的余额。
第三,估计被评估资产的剩余寿命。
第四,以适当的折现率将被评估资产在剩余寿命内每年的超额运营成本折现,这些折现值之和就是被评估资产功能性损耗(贬值),计算公式为:
被评估资产功能性贬值额=∑(被评估资产年净超额运营成本×折旧系数)
②超额投资成本形成的功能性贬值的估算还可以通过超额投资成本的估算进行,即超额投资成本可视同为功能性贬值,计算公式为:
功能性贬值=复原重置成本-更新重置成本
(3)经济性贬值估测方法。
①间接计算法:
经济性贬值率=[1-(资产预计可被利用的生产能力/资产原设计生产能力)x]×%
式中,X为功能价值指数,实践中多采用经验数据,数值一般在0.6-0.7之间。
经济性贬值额的计算应以评估对象的重置成本为基数,按确定的经济性贬值率估测。
②直接计算法:
经济性贬值额=资产年收益损失额×(1-所得税税率)×(P/A,r,n)
式中,(P/A,r,n)为年金现值系数。
14.评估方法之间的关系
(1)资产评估方法之间的联系。评估方法是实现评估目的的手段。对于特定经济行为,在相同的市场条件下,对处在相同状态下的同一资产进行评估,其评估值应该是客观的。这个客观的评估值不会因评估人员所选用的评估方法的不同而出现截然不同的结果。可以认为正是评估基本目的决定了评估方法问的内在联系。而这种内在联系为评估人员运用多种评估方法评估同一条件下的同一资产,并作相互验证提供了理论根据。但需要指出的是,运用不同的评估方法评估同一资产,必须保证评估目的、评估前提、被评估对象状态的一致,以及运用不同评估方法所选择的经济技术参数合理。
(2)资产评估方法之间的区别。各种评估方法独立存在本身就说明各种评估方法之间存在差异。各种评估方法都是从不同的角度去表现资产的价值。不论是通过与市场参照物比较获得评估对象的价值,或是根据评估对象预期收益折现获得其评估价值,或是按照资产的再取得途径寻求评估对象的价值,都是对评估对象在一定条件下价值的描述,它们之间是有内在联系并可相互替代的。但是,每一种评估方法都有其自成一体的运用过程,都要求具备相应的信息基础,评估结论也都是从某一角度反映资产的价值。因此,各种评估方法又是有区别的。
三、资产评估程序
(一)考试目的
通过对资产评估程序内容的考核,测试考生对资产评估程序相关知识的掌握情况,考核考生对资产评估程序及其重要性,以及资产评估具体程序应用的掌握程度。
(二)考试基本要求
1.掌握以下内容
(1)资产评估程序、广义与狭义资产评估程序的区别;
(2)资产评估程序的重要性;
(3)资产评估程序的主要环节。
2.熟悉以下内容
(1)明确资产评估业务基本事项的主要内容;
(2)执行资产评估程序的基本要求。
3.了解以下内容
资产评估中信息收集与分析方法。
(三)要点内容
1.资产评估程序
资产评估程序是指资产评估机构和人员执行资产评估业务、形成资产评估结论所履行的系统性工作步骤。
2.广义与狭义资产评估程序的区别
狭义的资产评估程序开始于资产评估机构和人员接受委托,终止于向委托人或相关当事人提交资产评估报告书。
广义的资产评估程序开始于承接资产评估业务前的明确资产评估基本事项环节,终止于资产评估报告书提交后的资产评估文件归档管理。
3.资产评估基本程序
资产评估基本程序主要包括:
(1)明确资产评估业务基本事项;
(2)签订资产评估业务约定书;
(3)编制资产评估计划;
(4)资产勘查与现场调查;
(5)收集资产评估资料;
(6)评定估算;
(7)编制和提交资产评估报告书;
(8)资产评估工作底稿归档。
4.资产评估程序的重要性
资产评估程序的重要性体现在:
(1)资产评估程序是规范资产评估行为、提高资产评估业务质量和资产评估服务公信力的重要保证;
(2)资产评估程序是相关当事方评价资产评估服务的重要依据;
(3)资产评估程序是资产评估机构和人员防范执业风险、保护自身合法权益、合理抗辩的重要手段之一。
5.明确资产评估业务基本事项
明确资产评估业务基本事项是资产评估程序的第一个环节,包括在签订资产评估业务约定书以前所进行的一系列基础性工作,对资产评估项目风险评价、项目承接与否以及资产评估项目的顺利实施具有重要意义。由于资产评估专业服务的特殊幸,资产评估程序甚至在资产评估机构接受、业务委托前就已开始:资产评估机构和人员在接受资产评估业务委托之前,应当采取与委托人等相关当事人讨论、阅读基础资料、进行必要初步调查等方式,与委托人等相关当事人共同明确以下资产评估业务基本事项:
(1)委托方和相关当事方基本状况。资产评估机构和人员应当了解委托方基本状况、资产占有方等相关当事方的基本状况。在不同的资产评估项目中,相关当事方有所不同,主要包括资产占有方、资产评估报告使用方、其他利益关联方等。委托人与相关当事方之问的关系也应当作为重要基础资料予以充分了解,这对于理解评估目的、相关经济行为以及防范恶意委托等十分重要。在可能的情况下,评估机构和评估人员还应要求委托人明确资产评估报告的使用人或使用人范围以及资产评估报告的使用方式。明确评估报告使用者范围不但有利于评估机构和评估人员更好地根据使用者的需求提供良好服务,同时也有利于降低评估风险。
(2)资产评估目的。资产评估机构和人员应当与委托方就资产评估目的达成明确、清晰的共识,并尽可能细化资产评估目的,说明资产评估业务的具体目的和用途,避免仅仅笼统列出通用资产评估目的的简单做法。
(3)评估对象基本状况。资产评估机构和人员应当了解评估对象及其权益基本状况,包括其法律、经济和物理状况,如资产类型、规格型号、结构、数量、购置(生产)年代、生产(工艺)流程、地理位置、使用状况、企业名称、住所、注册资本、所属行业、在行业中的地位和影响、经营范围、财务和经营状况等。资产评估机构和人员应当特别了解有关评估对象权利受限状况。
(4)价值类型及定义。资产评估机构和人员应当在明确资产评估目的的基础上,恰当确定价值类型,确信所选择的价值类型适用于资产评估目的,并就所选择价值类型的定义与委托方进行沟通,避免出现歧义、误导。
(5)资产评估基准日。资产评估机构和人员应当通过与委托方的沟通,了解并明确资产评估基准日,资产评估基准日是评估业务中极为重要的基础,也是评估基本原则之一的时点原则在评估实务中的具体体现。评估基准日的选择应当有利于资产评估结论有效地服务于资产评估目的,减少和避免不必要的资产评估基准日期后事项。评估机构和人员应当根据专业知识和经验,建议委托方根据评估目的、资产和市场的变化情况等因素合理选择评估基准日。
(6)资产评估限制条件和重要假设。资产评估机构和人员应当在承接评估业务前,充分了解所有对资产评估业务可能构成影响的限制条件和重要假设。以便进行必要的风险评价,并更好地为客户服务。
(7)其他需要明确的重要事项。
6.执行资产评估程序的基本要求
(1)资产评估机构和人员应当在国家和资产评估行业规定的范围内,建市、健全资产评估程序制度。
(2)资产评估机构和人员执行资产评估业务,应当根据具体资产评估项目的情况和资产评估程序制度,确定并履行适当的资产评估程序,不得随意简化或删减资产评估程序。
(3)资产评估机构应当建立相关工作制度,指导和监督资产评估项目经办人员及助理人员实施资产评估程序:
(4)如果由于资产评估项目的特殊性,资产评估机构和人员无法或没有履行资产评估程序中的某个基本环节,资产评估机构和人员应当考虑这种状况是否会影响到资产评估结论的合理性,并在资产评估报告书中明确披露这种状况及其对资产评估结论可能具有的影响,必要时应当拒绝接受委托或终止资产评估工作。
(5)资产评估机构和人员应当将资产评估程序的组织实施情况记录于工作底稿,并将主要资产评估程序执行情况在资产评估报告书中予以披露。
四、机器设备评估
(一)考试目的
通过对机器设备评估内容的考核,测试考生对机器没备评估的基本原理与方法的掌握和运用情况,考核考生分析和解决机器设备评估问题的能力。
(二)考试基本要求
1.掌握以下内容
(1)掌握成本法在机器设备评估中的技术思路;
(2)掌握重置成本计算中常用的直接法、物价指数法、成本核算法、综合估价法、重量估价法及类比估价法;
(3)掌握设备运杂费、安装费、基础费的计算方法;
(4)掌握进口设备从属费用的计算方法;
(5)掌握估算实体性贬值常用的观察法、年限法、修复费用法;
(6)掌握超额投资成本形成的功能性贬值和超额运营成本形成的功能性贬值的估算方法;
(7)掌握经济性贬值的估算方法;
(8)掌握市场法中机器设备的比较因素;
(9)掌握直接匹配法的使用及特点;
(10)掌握因素调整法的特点及应用;
(11)掌握收益年金资本化法的应用。
2.熟悉以下内容
(1)熟悉重置成本的基本概念;
(2)熟悉实体性贬值的基本概念、类型、产生原因;
(3)熟悉功能性贬值的基本概念、类型、产生原因;
(4)熟悉经济性贬值的基本概念、产生原因;
(5)熟悉运用市场法评估机器设备的技术思路;
(6)熟悉市场法的使用范围;
(7)熟悉成本比率调整法的应用;
(8)熟悉收益法在机器设备评估中的技术思路。
3.了解以下内客
(1)了解机器设备的定义;
(2)了解机器设备的分类。
(三)要点内容
1.机器设备评估中的成本法
(1)成本法在机器设备评估中的技术思路。成本法是通过估算被评估机器设备的重置成本和各种贬值,用重置成本扣减各种贬值作为资产评估价值的一种方法,它是机器设备评估中最常使用的方法之一。成本法的计算公式为:
P=RC-DP-Dj-D.
式中:P——评估值;
RC——重置成本;
DP——实体性贬值;
Df——功能性贬值;
De——经济性贬值。
(2)重置成本的基本概念。机器设备的重置成本包括购置或购建设备所发生的必要的、合理的直接成本费用、间接成本费用和因资金占用所发生的资金成本。设备的直接成本一般包括:设备净价,即购买或建造费用、运杂费、安装费、基础费及其他合理成本;间接成本一般包括:管理费用、设计费、工程监理费、保险费等。
①设备净价。设备净价的计算方法包括:直接法;物价指数法;重置核算法;综合估价法;重量估价法;类比估价法一指数估价法等:
i.直接法。直接法是根据市场交易数据直接确定设备净价的方法,是一种最简单、有效并且可信的方法。使用这种方法的关键是获得市场价格资料,对丁大部分的通用设备,市场价格资料的取得是比较容易的;而非标准、专用设备的价格资料往往很难从市场直接取得。获得市场价格的渠道包括市场询价、使用价格资料等。
ii.物价指数法。物价指数法是以设备的原始购买价格为基础,根据同类设备的价格上涨指数,来确定机器设备净价。对于二手设备,历史成本是最初使用者的账面原值,而非当前设备使用者的购置成本。物价指数可分为定基物价指数和环比物价指数。
采用定基指数计算设备当前重置成本的公式为:
重置成本=历史成本×当前年份指数/基年指数
采用环比物价指数计算设备重置成本的公式为:
式中:RC——设备价格;
Mrm——主材费;
Km——成本主材费率;
Mpm——主要外购件费;
Kp一成本利润率;
rt——综合税率;
Kd——非标准没备的设计费率;
n——非标准设备的生产数量。、
v.重量估价法。该方法用设备的重量乘以综合费率,同时考虑利润和税金,确定设备的重置成本,并根据设备的复杂系数进行适当调整。综合费率根据相似没备的统计资料确定。计算公
RC=W×Rw×K+P+T
或:
RC=W×Rw×K(1+rp)/(1-rt)
式中:RC——设备重置成本;
W——设备的净重;
Rw——综合费率;
K——调整系数;
P——合理利润;
T——税金;
rp——利润率;
rt——综合税率。
vi.类比估价法——指数估价法。对于某些特定的设备,如化工设备、石油设备等,同一系列不同生产能力设备的重置成本变化与生产能力变化呈某种指数关系。计算公式为:
RC=(A1/A2)4×S2
式中:A1——被评估设备的生产能力;
A2——参照物设备的生产能力;
RC——被评估设备的重置成本;
x——规模指数;
S2——参照物设备的价格。
②运杂费。计算公式:
国产设备运杂费=国产设备原价×国产设备运杂费率
进口设备国内运杂费=进口设备到岸价×进口设备国内运杂费率
③安装费。计算公式为:
国产设备安装费=设备原价×设备安装费率
进口设备安装费=相似国产设备原价×国产设备安装费率
进口设备安装费=进口设备到岸价×进口设备安装费率
③基础费。计算公式:
国产设备基础费=国产设备原价×国产设备基础费率
进口设备基础费=相似国产设备原价×国产设备基础费率
进口设备基础费=进口设备到岸价×进口设备基础费率
(3)进口设备从属费用。进口设备的从属费用包括国外运费、国外运输保险费、关税、消费税、增值税、银行财务费、外贸手续费,对车辆还包括车辆购置附加费等。其中:
①国外运费可按设备的重量、体积及海运公司的收费标准计算,也可按一定比例计取,取费基数为设备离岸价(FOB价)。计算公式为:
海运费=设备离岸价×海运费率
②国外运输保险费的取费基数为设备离岸价+海运费。计算公式为:
国外运输保险费=(设备离岸价+海运费)×保险费率/(1-保险费率)
③关税的取费基数为设备到岸价,计算公式为:
关税=到岸价×关税税率
④消费税的计税基数为:关税完税价+关税。计算公式为
消费税=(关税完税价+关税)×消费税税率/(1-消费税税率)
⑤增值税的取费基数为关税完税价+关税+消费税,计算公式为:
增值税=(关税完税价+关税+消费税)×增值税税率
⑥银行财务费的取费基数为货价人民币数。计算公式为:
银行财务费=设备离岸价×费率
⑦外贸手续费也称为公司手续费,取费基数为到岸价人民币数。计算公式为:
外贸手续费=到岸价×外贸手续费率
⑧车辆购置附加费的取费基数为到岸价人民币数+关税+消费税。计算公式为:
车辆购置附加费=(到岸价人民币数+关税+消费税)×费率
(4)实体性贬值。设备的有形磨损分为两种:设备在使用过程中产生的有形磨损称为第I种有形磨损;设备在闲置存放过程中产生的磨损称为第Ⅱ种有形磨损。由此引起的贬值称为实体性贬值(DP),或物理性贬值。设备实体性贬值的程度可以用实体性贬值率米反映。
实体性贬值的确定方法:
①观察法。观察法是评估师通过观察,凭借视觉、听觉、触觉,或借助少量的检测工具,对设备进行检查,根据经验对鉴定对象的状态、损耗程度做出判断。在不具备测试条件的情况下,这是最常使用的方法。
对于大型设备,为了避免个人主观判断的误差,可以采用德尔非法或模糊综合判断法。
②使用年限法。年限法是从使用寿命的角度来估算贬值,它假设机器设备有一定的使用寿命,设备的价值与使用寿命成正比。设备在使用过程中,由于物理磨损使得设备的使用寿命逐步消耗,直至寿命耗尽,退出使用。因此,设备的贬值可以用使用寿命的消耗量表示,实体性贬值率也可以用已使用寿命与总使用寿命之比来表示。计算公式为:
式中: ——已使用寿命;
L——总使用寿命。
对于复杂没备,各个组成部件的使用寿命是不同的,如果每个部件都可以独立更换,整个机器的贬值率可以用以下公式表示:

式中:RC——设备价格;
Mrm——主材费;
Km——成本主材费率;
Mpm——主要外购件费;
Kp一成本利润率;
rt——综合税率;
Kd——非标准没备的设计费率;
n——非标准设备的生产数量。、
v.重量估价法。该方法用设备的重量乘以综合费率,同时考虑利润和税金,确定设备的重置成本,并根据设备的复杂系数进行适当调整。综合费率根据相似没备的统计资料确定。计算公
RC=W×Rw×K+P+T
或:
RC=W×Rw×K(1+rp)/(1-rt)
式中:RC——设备重置成本;
W——设备的净重;
Rw——综合费率;
K——调整系数;
P——合理利润;
T——税金;
rp——利润率;
rt——综合税率。
vi.类比估价法——指数估价法。对于某些特定的设备,如化工设备、石油设备等,同一系列不同生产能力设备的重置成本变化与生产能力变化呈某种指数关系。计算公式为:
RC=(A1/A2)4×S2
式中:A1——被评估设备的生产能力;
A2——参照物设备的生产能力;
RC——被评估设备的重置成本;
x——规模指数;
S2——参照物设备的价格。
②运杂费。计算公式:
国产设备运杂费=国产设备原价×国产设备运杂费率
进口设备国内运杂费=进口设备到岸价×进口设备国内运杂费率
③安装费。计算公式为:
国产设备安装费=设备原价×设备安装费率
进口设备安装费=相似国产设备原价×国产设备安装费率
进口设备安装费=进口设备到岸价×进口设备安装费率
③基础费。计算公式:
国产设备基础费=国产设备原价×国产设备基础费率
进口设备基础费=相似国产设备原价×国产设备基础费率
进口设备基础费=进口设备到岸价×进口设备基础费率
(3)进口设备从属费用。进口设备的从属费用包括国外运费、国外运输保险费、关税、消费税、增值税、银行财务费、外贸手续费,对车辆还包括车辆购置附加费等。其中:
①国外运费可按设备的重量、体积及海运公司的收费标准计算,也可按一定比例计取,取费基数为设备离岸价(FOB价)。计算公式为:
海运费=设备离岸价×海运费率
②国外运输保险费的取费基数为设备离岸价+海运费。计算公式为:
国外运输保险费=(设备离岸价+海运费)×保险费率/(1-保险费率)
③关税的取费基数为设备到岸价,计算公式为:
关税=到岸价×关税税率
④消费税的计税基数为:关税完税价+关税。计算公式为
消费税=(关税完税价+关税)×消费税税率/(1-消费税税率)
⑤增值税的取费基数为关税完税价+关税+消费税,计算公式为:
增值税=(关税完税价+关税+消费税)×增值税税率
⑥银行财务费的取费基数为货价人民币数。计算公式为:
银行财务费=设备离岸价×费率
⑦外贸手续费也称为公司手续费,取费基数为到岸价人民币数。计算公式为:
外贸手续费=到岸价×外贸手续费率
⑧车辆购置附加费的取费基数为到岸价人民币数+关税+消费税。计算公式为:
车辆购置附加费=(到岸价人民币数+关税+消费税)×费率
(4)实体性贬值。设备的有形磨损分为两种:设备在使用过程中产生的有形磨损称为第I种有形磨损;设备在闲置存放过程中产生的磨损称为第Ⅱ种有形磨损。由此引起的贬值称为实体性贬值(DP),或物理性贬值。设备实体性贬值的程度可以用实体性贬值率米反映。
实体性贬值的确定方法:
①观察法。观察法是评估师通过观察,凭借视觉、听觉、触觉,或借助少量的检测工具,对设备进行检查,根据经验对鉴定对象的状态、损耗程度做出判断。在不具备测试条件的情况下,这是最常使用的方法。
对于大型设备,为了避免个人主观判断的误差,可以采用德尔非法或模糊综合判断法。
②使用年限法。年限法是从使用寿命的角度来估算贬值,它假设机器设备有一定的使用寿命,设备的价值与使用寿命成正比。设备在使用过程中,由于物理磨损使得设备的使用寿命逐步消耗,直至寿命耗尽,退出使用。因此,设备的贬值可以用使用寿命的消耗量表示,实体性贬值率也可以用已使用寿命与总使用寿命之比来表示。计算公式为:
式中: ——已使用寿命;
L——总使用寿命。
对于复杂没备,各个组成部件的使用寿命是不同的,如果每个部件都可以独立更换,整个机器的贬值率可以用以下公式表示:

8.市场法在房地产评估中的应用
(1)运用市场法评估房地产中的修正因素。
市场法就是通过与近期交易的类似房地产进行比较,并对一系列因素进行修正,而得到被估房地产在评估基准目的市场状况下的价格水平。这些因素主要有交易情况因素、交易日期因素、房地产状况因素等。
(2)运用市场法评估房地产的计算公式。
市场法的摹本计算公式是:
P=P'×A×B×C
式中:P——被估房地产评估价值;
P'——可比交易实例价值;
A——交易情况修正系数;
B——交易日期修正系数;
C——房地产状况因素修正系数。
如果土地容积率、土地使用年期单独修正,则计算公式为:P=P'×A×B×C
×容积率修正系数×土地使用年期修正系数
(3)市场法评估房地产价值的程序。运用市场法评估房地产价值,一般经过下列程序:收集交易资料,确定可比交易案例,对交易情况、交易日期、房地产状况等进行修正,确定房地产价值。
9.成本法在房地产评估中的应用
(1)成本法评估土地的基本公式:
土地价值=土地取得费+土地开发费+税费+利息+利润+土地增值收益
其中,土地取得费是为取得土地而向原土地使用者支付的费用,分为两种情况:一是国家征收集体土地而支付给集体土地所有者的费用,包括土地补偿费、地上附着物和青苗补偿费及安置补助费等。二是为取得已利用城市土地而向原土地使用者支付的补偿费用,这是对原城市土地使用者在经济上的补偿。
(2)成本法评估新建房地产的费用。新建房地产开发过程中发生的各项费用,包括土地征收及拆迁补偿费、前期工程费、基础设施费、建筑安装工程费、配套设施费、管理费用、投资利息和销售税费等。
(3)运用成本法评估旧建筑物的基本思路。运用成本法评估旧建筑物的价值,应以评估基准日的重新建造成本为基础,考虑评估对象的使用和磨损,扣除建筑物的贬值额。
旧建筑物现值的计算公式为:
建筑物价值=重置成本一年贬值额×已使用年限
常用的计算贬值额方法是直线折旧法和成新折扣法。
直线折旧法计算建筑物每年的贬值额为:

式中:D——年贬值额;
C——建筑物的重新建造成本;
S——建筑物的净残值;
N——建筑物的耐用年限;
R——建筑物的残值率,即建筑物的净残值与重新建造成本的比率。
10.假设开发法在房地产评估中的应用
(1)假设开发法的基本思路。假设开发法是将被估房地产开发后的预期价值,扣除正常投入费用、正常税金及合理利润后,依据该剩余值测算被估房地产价值的方法。
实际评估工作中,常用的一个具体计算公式为:
土地价值=房屋的预期售价-开发建设成本-利息-利润-税费
(2)假设开发法评估的程序。假设开发法评估的程序为:
调查房地产基本情况,确定被估房地产的最佳开发利用方式,预测房地产开发完成后的收益,测算开发建设成本,测算开发利润,测算投资利息和税费,估算被估房地产价值。
11.基准地价的作用
基准地价是按照城市土地级别或均质地域分别评估的商业、住宅、工业等各类用地和综合土地级别的土地使用权的平均价格,基准地价一般具有如下作用:
(1)具有政府公告作用;
(2)是宏观调控地价水平的依据;
(3)是国家征收城镇土地税收的依据;
(4)是政府参与土地有偿使用收益分配的依据;
(5)是进一步评估宗地地价的基础;
(6)引导十地资源在行业部门问的合理配置。
12.路线价法在土地评估中的应用
(1)路线价法的计算公式:路线价法的计算公式有不同的表现形式,下面是常用的一种表达方式:
宗地总价=路线价×深度百分率×临街宽度
如果宗地条件特殊,如宗地属街角地、两面临街地、三角形地、梯形地、不规则形状地、袋地等,则需依下列公式计算:
宗地总价=路线价×深度百分率×临街宽度×其他条件修正率
或:
宗地总价=路线价×深度百分率×临街宽度±其他备件修正额
(2)深度百分率的定义。深度百分率,是地价随临街深度长短变化的比率。
(3)深度百分率的表现形式。深度百分率的表现形式有三种,分别为:单独深度百分率、累计深度百分率和平均深度百分率。单独深度百分率呈递减现象,累计深度百分率呈递增现象,平均深度百分率呈递减现象。
(4)路线价法的操作步骤。路线价法的操作步骤主要包括以下内容:路线价区段的划分、标准深度的确定、路线价的评估、深度百分率表和其他条件修正率表的制作、土地宗地价值的计算。
13.在建工程评估中的形象进度法
形象进度法是选择足够的可比销售资料,根据在建工程建造完成后的市场价格,结合工程形象进度评估在建工程价值的方法。
六、资源资产评估
(一)考试目的
通过对资源资产评估内容的考核,测试考生对资源资产评估的基本原理与方法的掌握和了解情况,考核考生分析和解决资源资产评估实际问题的能力。
(二)考试基本要求
1.掌握以下内容
(1)资源性资产的自然属性、经济属性和法律属性;
(2)森林资源资产价格构成的主要因素;
(3)林木资产评估的市场法、收益法、成本法和剩余法的计算公式;
(4)矿业权的内涵;
(5)采矿权评估的贴现现金流量法、可比销售法的计算公式。
2.熟悉以下内容
(1)自然资源的分类;
(2)资源性资产评估的特点;
(3)森林资源资产评估中资料的收集内容及核查项目;
(4)影响矿产价格的因素;
(5)探矿权评估的约当投资——贴现现金流量法、重置成本法的计算公式。
3.了解以下内容
(1)森林资源资产的种类;
(2)林木资产评估方法的适用范围;
(3)探矿权泮估的地勘加和法、地质要素评序法、联合风险勘查协议法和粗估法的基本思路。
(三)要点内容
1.自然资源的分类
根据自然资源在开发过程中能否再生,可划分为耗竭性资源和非耗竭性资源。耗竭性资源的主体是矿产资源,是经过漫长的地质过程形成的,随着人类的开发利用,其绝对数量有明显的减少现象,是不可再生资源。非耗竭性资源基本上是由环境要素构成的,在合理开发利用的限度内,人类可以永续利用。非耗竭性资源可分为二三种:恒定的非耗竭性资源、可再生的非耗竭性资源和不可再生的非耗竭性资源。
按照资源的性质,从自然资源与人类的经济关系角度,可划分为环境资源、生物资源、土地资源、矿产资源和景观资源等。
2.资源资产的自然属性、经济属性和法律属性
资源资产具有自然属性、经济属性和法律属性。自然属性包括:天然性、有限性与稀缺性、生态性和区域件等。经济属性包括:具有使用价值、能够以货币计量和具有可收益性等。法律属性包括资源资产产权存法律上具有独立性和资源资产的使用权可以依法交易等。
3.森林资源资产价格构成的主要因素
森林资源资产价格。主要由下列因素构成:营林生产成本、资金的时间价值、利润、税金、林木生产中的损失、地租、地区差价和树种差价等。
4.评估林木资产的市场法
该方法是以相同或类似林木资产的现行市价作为比较基础,
评估待估林木资产价值的方法。计算公式为:
P=K×Kb×G×Q
式中:P——林木资产评估值;
K——林分质量调整系数;
Kb——物价指数调整系数;
G——参照物单位蓄积量的交易价格;
Q——被估林木资产的蓄积量。
5.评估林木资产的收益法
收益法又称收益净现值法,是将被评估林木资产在未来经营期内各年的净收益折现为现值,然后累计求和得出林木资产评估价值的方法。计算公式为:

式中:P——林木资产评估值;
W——销售总收入;
C——木材经营成本;
F——木材经营合理利润;
S——林木资源的再生价值。
8.矿业权的内涵
我国的矿产资源属于国家所有,南国务院行使矿产资源的所有权,矿产资源物质实体及其所有权属于国家所有。国家实行探矿权、采矿权有偿取得制度,矿产资源的探矿权和采矿权可以依法出让和转让。探矿权和采矿权通常合称矿业权,简称矿权。所谓矿业权是指在依法取得的勘查或采矿许可证规定的范围和期限内,对矿产资源进行勘查、开采等一系列生产经营活动的权利。
9.评估采矿权的贴现现金流量法
评估采矿权的贴现现金流量法的计算公式为:

式中:P——采矿权价值;
一一参照的采矿权成交价格;
——规模调整系数;
一一品位调整系数;
——价格调整系数;
——差异调整系数。
七。无形资产评估
(一)考试目的
通过对无形资产评估内容的考核,测试考生对无形资产评估的基本原理与方法的掌握和运用情况,考核考生分析和解决无形资产评估问题的能力。
(二)考试基本要求
1.掌握以下内容
(I)无形资产的定义;
(2)影响无形资产评估价值的因素;
(3)无形资产的分类;
(4)收益法在无形资产评估中的基本公式;
(5)成本法在无形资产评估中的基本公式;
(6)专利权的资产特点;
(7)运用收益法评估专利资产时,折现率及分成率的确定方法;
(8)商标资产的定义及分类;
(9)商标资产价值的影响因素;
(10)版权的经济权利;
(11)运用成本法评估计算机软件的价值;
(12)商誉的定义及特性;
(13)割差法在商誉评估中的应用。
2.熟悉以下内容
(1)无形资产的特性;
(2)无形资产评估的程序、评估的前提假设及对象;
(3)运用收益法评估无形资产时确定收益额的直接估算法、差额法、分成率法和要素贡献法等具体方法的具体要求、估算要点和估算过程;
(4)估算外购无形资产重置成本的市价类比法和物价指数法的基本要求、估算要点和具体应用;
(5)运用市场法评估无形资产的技术思路,运用时需注意的问题;
(6)专利资产的评估目的、评估程序;
(7)专利资产使用权限的分类;
(8)运用收益法评估专利资产时,收益额和剩余经济寿命预测法的具体要求、测算要点和具体运用;
(9)影响专有技术价值的囚素;
(10)专有技术评估方法;
(11)运用收益法评估商标资产的具体要求、测算要点和具体估算过程;
(12)版权的定义以及版权的分类;
(13)计算机软件无形资产的特点;
(14)计算机软件三种评估方法的各自特点;
(15)超额收益法在商誉评估中的应用;
(16)商誉评估的基本前提和基本要求:
3.了解以下内容
(1)无形资产成本的不完整性、弱对应性和虚拟性等特点对无形资产评估的影响;
(2)估算自创无形资产重置成本的核算法和倍加系数法的基本要求、估算要点和具体应用;
(3)专有技术的特点;
(4)商标资产的评估程序;
(5)影响版权价值的因素;
(6)各类版权的有效期限;
(7)版权的限制;
(8)版权的特征;
(9)商誉评估中需注意的事项。
(三)要点内容
1.无形资产的定艾
无形资产是指特定主体所控制的,不具有实物形态,对生产经营长期发挥作用且能带来经济利益的资源。
2.无形资产的特性
(1)共益性;
(2)积累性;
(3)替代性。
3.无形资产的分类
(1)按取得无形资产的方式分类,,无形资产可分为自创的无形资产和外购的无形资产。
(2)按无形资产能否独立存在分类。无形资产可以分为可确指无形资产和不可确指无形资产。可确指的无形资产,如专利权、商标权等;不可确指的无形资产,如商誉。
4.影响无形资产评估价值的因素
影响无形资产评估价值的因素包括无形资产的取得成本、机会成本、获利能力因素、市场因素、风险因素、产权剐素、使用期限因素、技术因素、其他因素。
5.收益法
(1)基本公式为:

(2)无形资产收益额的确定包括直接估算法、差额法、分成率法、要素贡献法。
6.成本法采用成本法评估无形资产,其基本公式为:
无形资产评估值=无形资产重置成本×(1-贬值率)
(1)自创无形资产重置成本的估算包括核算法和倍加系数法。其中,核算法公式为:
无形资产重置成本=生产成本+期间费用+合理利润
(2)外购无形资产重置成本的估算包括:市价类比法和物价指数法。
(3)在评估实践中,贬值率的取值一般选择综合考虑了被评无形资产的各种无形损耗(功能和经济方面的)后的折算比率。
7.专利资产的资产特点
(1)资产确认复杂;
(2)收益能力有一定的不确定性;
(3)专利资产还具有时问性、地域性、排他性、共享性特征。
8.收益法在专利资产评估中的应用
专利资产的收益额是指直接由专利权带来的预期收益,对于收益额的测算,通常可以通过直接测算超额收益和通过利润分成率测算获得。
(1)折现牢的确定。
折现率的计算公式为:
折现率=无风险报酬率+风险报酬率
其中。无风险报酬率一般应考虑社会平均报酬率;风险报酬率的确定应考虑:技术风险、市场风险、资金风险及经营管理风险。
技术风险应考虑技术转化风险、技术替代风险、技术权利风险及技术成熟风险。
市场风险应考虑市场容量风险及市场竞争风险。
资金风险应考虑固定资产融资风险及流动资金融资风险。
经营管理风险应考虑的因素包括:经营管理团队、生产控制风险以及经营管理制度完善程度。
(2)分成率的确定。
①利用综合评价法确定分成率。影响分成率因素包括:法律囚素、技术因素和经济因素。其中法律影响因素包括:专利类型及法律状态、保护范围以及侵权判定的难易程度;技术影响因素包括:技术所属领域、替代技术的状况、技术先进性、技术的创新性、技术的成熟度、相关技术配合程度、技术的应用范围以及技术的防御能力;经济影响因素包括:资产投入状况、行业收益率、技术的供求关系,以及利润率。
采用综合评价法确定分成率的步骤:
。建立评测体系;
。指标权重的确定;
。构造综合评价模型。
②利用评测体系确定待估专利资产的分成率。
。确定待估专利资产分成率的取值范围;
。根据分成率的评测表,确定待估专利资产分成率的调整系数;
。确定待估专利资产分成率。
9.影响专有技术价值的因素
影响专有技术价值的因素包括:使用期限、获利能力、供需市场情况、开发成本及保密措施。
10.商标权的定义及分类
商标是商品或服务的标记,是商品生产者或经营者为了把自己的商品或服务区别于他人的同类商品或服务,在商品上服务中使用的一种特殊标记。,这种标记一般是由文字、图形、字母、数字、三维标志和颜色组合,以及上述要素的组合。
按商标是否具有法律保护的专用权,可以分为注册商标和未注册商标:商标资产的评估,指的是注册商标专用权的评估。
11.商标资产价值的影响因素
商标资产价值的影响因素包括:商标的法律状态;商标的知名度;商标所依托的商品;宏观经济状况;评估目的;类似商标的交易情况;商标设计、广告宣传;其他因素。
12.版权的经济权利
作品的版权包括精神权利和经济权利,版权中的经济权利是指能够给版权人带来经济利益的权利。对于评估而言,一般考虑的是权利人拥有的经济权利。
13.运用成本法评估计算机软件
(1)基本公式。对于大型系统软件,一般可采用成本法进行评估。当用于计算机软件产品定价,或者以计算机软件合资入股,确定计算机软件价值时,可以考虑采用成本法。
成本法指按被评估资产的现时完全重置成本减去损耗或贬值来确定被评估资产的价值。其基本公式为:
评估价值=重置全价-贬值
成本法评估计算机软件价值的基本模型有开发成本要素、开发过程成本或语句行数等三种成本评估模型。目前评估实际应用比较广泛的计算机软件成本评估模型——参数成本法模型。基本公式为:
P=C1+C2
计算机软件开发成本C1由计算机软件工作量朋和单位工作量成本W所决定,其公式为:
C1=M×W
(2)运用COCOM0Ⅱ模型确定计算机软件开发工作量脚。
采用此模型计算机软件开发工作量M的计算公式为:

14.商誉的特性
(1)商誉不能离开企业而单独存在,不能与企业可确指的资产分开出售。
(2)商誉是多项因素作用形成的结果,但形成商誉的个别因素,不能以任何方法单独计价。
(3)商誉本身不是一项单独的、能产生收益的无形资产,而只是超过企业可确指的各单项资产价值之和的价值。
(4)商誉是企业长期积累起来的一项价值。
15.割差法确定商誉价值
商誉的评估值=企业整体资产评估值-企业可确指的各单项资产评估值之和
八、长期投资性资产评估
(一)考试目的
通过对长期投资性资产评估内容的考核,测试考生对长期投资性资产评估的基本概念、评估具体方法的掌握和运用情况,考核考生分析和解决长期投资性资产评估实际问题的能力。
(二)考试基本要求
1.掌握以下内容
(1)债券投资的特点;
(2)评估非上市交易债券的方法;
(3)非上市普通股评估的技术思路;
(4)固定红利型、红利增长型和分段型股利分配政策假设前提下的股票价值评估方法;
(5)优先股的评估方法;
(6)股权投资收益的分配形式;
(7)非控股型长期股权投资和控股型长期股权投资的评估方法。
2.熟悉以下内容
(1) 熟悉长期投资性资产的含义;
(2) 长期投资性资产评估的特点、局限性及程序;
(3) 上市交易债券和上市交易股票的价值的基本要求和评估方法
3.了解以下内容
(1)股票投资的特点;
(2)股票的票面价格、发行价格、账面价格、清算价格、内在价格和市场价格的关系;
(3)其他长期性资产的构成及成为评估对象的条件、标准和评估方法,,
(三)要点内容
1.长期投资的分类
长期投资性资产通常可以理解为企业通过分配来增加收益,或为谋求其他利益,而将资产让渡给其他单位所获得的另一项拟长时间持有的资产。长期投资性资产按其投资的性质可分为长期股权投资、长期持有债券投资和混合性投资三类。
2.债券投资评估的特点
(1)投资风险较小,安全性较强;
(2)到期还本付息,收益相对稳定;
(3)具有较强的流动性。
3.非上市交易债券的评估方法
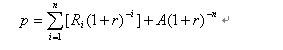
对于非上市交易债券不能直接采用市价进行评估,应该采取相应的评估方法进行价值评估。对距评估基准日1年内到期的债券,可以根据本金加上持有期间的利息确定评估值;超过1年到期的债券,可以根据本利和的现值确定评估值。但对于不能按期收回本金和利息的债券,评估人员应在调查取证的基础上,通过分析预测,合理确定评估值。
通过本利和的现值确定其评估值的债券,宜采用收益法进行评估。根据债券付息方法,债券又可分为到期一次还本付息债券和分次付息、一次还本债券两种。评估时应采用不同的方法计算。
(1)到期一次还本付息债券的价值评估。
对于一次还本付息的债券,其评估价值的计算公式为:
P=F/(1+r)n
①债券本利和采用单利计算。,在采用单利计算时:
F=A(1+m.r)
②债券本利和采用复利计算。在采用复利计算时:
F=A(l+r)m
(2)分次付息,到期一次还本债券的评估。前已述及,分次付息,到期一次还本债券的价值评估宜采用收益法,其计算公式为:

上述公式涉及到的相关参数具体内容请参考辅导教材相关章节。
4.非上市交易股票的评估思路
非上市交易的股票,一般应采用收益法评估,即综合分析股票发行企业的经营状况及风险、历史利润水平和分红情况、行业收益等因素,合理预测股票投资的未来收益,并选择合理的折现率确定评估值。
5.固定红利型股利政策下股票价值评估
固定红利型是假设企业经营稳定,分配红利固定,并且今后也能保持固定水平。在这种假设条件下,普通股股票评估应采用年金法。评估值的计算公式为:
P=R/r
6.红利增长型股利政策下股票价值评估
红利增长型适用于成长型股票的评估。成长型企业发展潜力大,收益率会逐步提高。该类型的假设条件是发行企业并未将剩余收益分配给股东,而是用于追加投资扩大再生产,因此,红利呈增长趋势。在这种假设前提下,普通股股票价值评估应考虑将股票收益的预期增长率包含在资本化率中。普通股股票价值评估值公式为:
p=R/(r-g) (r>g)
股利增长率g的计算方法,一是统计分析法,即根据过去股利的实际数据,利用统计学的方法计算出的平均增长率,作为股利增长率;二是趋势分析法,即根据被评估企业的股利分配政策,以企业剩余收益中用于再投资的比率与企业净资产利润率相乘确定股利增长率。
上述公式中涉及到的相应参数可参考辅导教材的有关章节中的具体介绍。
7.分段型股利政策下股票价值评估
分段型股利政策下股票价值评估的原理是:
第一段,指能够较为客观预测股票的收益期间或股票发行企业某一经营周期;
第二段,以不易预测收益的时间为起点,以企业持续经营到永续为第二段。
将两段收益现值相加,得出评估值。实际计算时,第一段以预测收益直接折现;第二段可以采用固定红利型或红利增长型,收益额采用趋势分析法或其他方法确定,先资本化再折现。
8.优先股的评估方法
在正常情况下,优先股在发行时就已规定了股息率。评估优先股主要是判断股票发行主体是否有足够税后利润用于优先胶的股息分配,这种判断是建立在对股票发行企业的全面了解和分析的基础上,包括股票发行企业生产经营情况、利润实现情况、股本构成中优先股所占的比重、股息率的商低,以及股票发行企业负债状况等。如果股票发行企业资本构成合理,企业盈利能力强,具有很强的支付能力。评估人员可以根据事先确定的股息率,计算出优先股的年收益额,然后进行折现计算,即可得出评估值。计算公式如下:

9.股权投资收益的分配形式
股权投资收益的分配形式,比较常见的有如下几种类型:
(1)按投资额占被投资企业实收资本的比例,参与被投资企业净利润的分配;
(2)按被投资企业销售收入或利润的一定比例提成;
(3)按投资方出资额的一定比例支付资金使用报酬等。
10.非控股型股权投资评估
(1)对于非控股型股权投资评估,可以采用收益法,即根据历史上收益情况和被投资企业的未来经营情况及风险,预测未来收益,再用适当折现率折算为现值得出评估值。
(2)对于合同、协议明确约定了投资报酬的长期股权投资,可将按规定应获得的收益折为现值,作为评估值。
(3)对到期收回资产的实物投资情况,可按约定或预测出的收益折为现值,再加上到期收回资产的现值,计算评估值。
(4)对于不是直接获取资金收人,而是取得某种权利或其他间接经济效益的,可通过了解分析,测算相应的经济效益,折现计值。
(5)对于明显没有经济利益,也不能形成任何经济权利的投资则按零价值计算。在未来收益难以确定时,可以采用重置价值法进行评估。即通过对被投资企业进行评估,确定净资产数额,再根据投资方所占的份额确定评估值。
(6)如果进行该项投资的期限较短,价值变化不大,被投资企业资产账实相符,则可根据核实后的被投资企业资产负债表上净资产数额,再根据投资方所占的份额确定评估值。非控股型股权投资在某些情况下也可以采取成本法评估。
不论采用什么方法评估非控股型股权投资,都应考虑少数股权折价因素对评估值的影响。
11.控股型股权投资评估
对于控股型的长期股权投资,原则上应对被投资企业进行评估后再测算控股权投资的价值。对被投资企业的评估应以收益法为主,特殊情况下,可以单独采用市场法,对被投资企业进行评估,评估基准日与投资方的评估基准日相同。
12.评估人员评估股东部分权益价值,应当在适当及切实可行的情况下考虑由于控股权和少数股权等因素产生的溢价或折价
九、流动资产评估
(一)考试目的
通过对流动资产评估内容的考核,测试考生对各类流动资产评估的特点及评估方法的掌握情况,考核考生分析和解决流动资产评估实际问题的能力。
(二)考试基本要求
1.掌握以下内容
(1)流动资产评估的特点及流动资产账面价值与评估价值之间的关系;
(2)运用市场法、成本法评估不同类型材料、低值易耗品的技术思路、约束条件和具体方法;
(3)运用成本法和市场法评估在产品、产成品及库存商品价值的技术思路、约束条件和具体方法;
(4)应收账款评估的基本程序,坏账损失估计的坏账比例法和账龄分析法。
2.熟悉以下内容
(1)流动资产评估的特点、局限性及评估程序;
(2)待摊费用和预付费用的评估方法;
(3)应收票据贴现值的计算方法。
3.了解以下内容
(1)流动资产的内容和特点;
(2)货币性资产的评估方法;
(3)评估应收账款的局限性。
(三)要点内容
1.流动资产评估的特点
(1)流动资产评估主要是单项资产评估。对流动资产的评估主要是以单项资产为对象进行价值评估。
(2)合理确定流动资产评估的基准时问对流动资产评估具有非常重要的意义。由于流动资产与其他资产的显著特点在于其资产的流动性和价值的波动性。不同形态的流动资产随时都在变化,而评估则是确定其某一时点上的价值,不可能人为地停止流动资产的周转。因此,评估基准日应尽可能选择在会计期末,必须在规定的时点进行资产清查、登记和确定流动资产数量和账面价值,避免重登和漏登现象的发生。
(3)既要认真进行资产清查,同时又要分清主次,掌握重点。由于流动资产一般具有数量大、种类多的特点,清查工作量大,所以流动资产清查应考虑评估的时间要求和评估成本。对流动资产评估往往需要根据不同企业的生产经营特点和流动资产分布的情况,对流动资产分清主次、重点和一般,选择不同的方法进行清查和评估,做到突出重点,兼顾一般。清查采用的方法是抽查、重点清查和全面清查。当抽查核实中发现原始资料或清查盘点工作可靠性较差时,应扩大抽查面,直至核查全部流动资产。
(4)流动资产的账面价值基本上可以反映其现值。由于流动资产周转快、变现能力强,在物价水平相对比较稳定的情况下,流动资产的账面价值基本上可以反映出流动资产的现值。因此,在特定情况下,可以采用历史成本作为其评估值。同时,评估流动资产时一般可以不需要考虑资产的功能性贬值因素,其有形损耗(实体性损耗)的计算只适用于诸如低值易耗品、呆滞、积压存货类流动资产的评估。
2.材料的评估
(1)材料评估的内容。企业中的材料,按其存放地点可分为库存材料和在用材料。在用材料是在生产过程中已形成产成品或半成品,已不再作为单独的材料存在,故材料评估主要是对库存材料进行评估。
(2)材料评估的步骤。进行实物盘点,使其账实相符;根据不同评估目的和待估资产的特点,选择相应的评估方法;在评估方法的选择上,更多的是采用成本法或市场法;运用存货管理的ABC分析法,突出重点。
(3)材料评估的方法。近期购进的材料库存时间较短,在市场价格变化不大的情况下,其账面值与现行市价基本接近,可采用成本法,也可以采用市场法;对购进批次间隔时间长、价格变化较大的库存材料进行评估时,可以采用最接近市场价格的材料价格或直接以市场价格作为其评估值;企业库存的某些材料可能购进的时间早,市场已经脱销,目前无明确的市价可资参考或使用,对这类材料的评估,可以通过寻找替代品的价格变动资料来修正材料价格。也可以在分析市场供需的基础上,判断该项材料的供需关系,并以此修正材料价格,还可以通过市场可比同类商品的平均物价指数进行评估;呆滞材料是指从企业库存材料中清理出来,需要进行处理的材料,首先应对其数量和质量进行核实和鉴定。然后区别不同情况进行评估,对其中失效、变质、残损、报废、无用的,应通过分析计算,扣除相应的贬值数额后,确定其评估值。
3.低值易耗品的评估
在库低值易耗品的评估,可以根据具体情况,采用与库存材料评估相同的方法;在用低值易耗品的评估,可以采用成本法进行评估。
4.在产品的评估
对在产品进行评估时,一般可采用成本法或市场法进行评估。
5.产成品及库存商品的评估
对产成品及库存商品应依据其变现能力和市场可接受的价格进行评估,应该分析产成品的销售及周转情况,适用的方法有成本法和市场法,同时应该结合资产评估的经济行为,注意对其可能实现的利润情况进行分析。
6.应收账款及预付账款的评估
在评估应收账款及预付账款时,要关注并分析债务方的经营情况,合理判断其风险。在对应收账款及预付账款这些资产估算时,一般应从两方面进行:一是清查核实应收账款数额;二是估计可能的坏账损失。
对预计坏账损失的估计方法主要有:
(1)坏账比例法。此法是按坏账占全部应收账款的比例来判断不可收回的应收账款,从而确定坏账损失的数额。坏账比例的确定,可以根据被评估企业前若干年(一般为3~5年)的实际坏账损失额与其应收账款发生额的比例确定。
如果一个企业的应收账款多年未清理,账面找不到处理坏账的数额,也就无法推算出坏账损失率,在这种情况下就不能采用这种方法。
(2)账龄分析法。此法是根据应收账款账龄的长短,分析应收账款预计可收回的金额及其产生坏账的可能性。一般来说,应收账款账龄越长,产生坏账损失的可能性就越大。因此,可将应收账款按账龄长短分成不同的组别,按不同组别估计坏账损失的可能性,进而估计坏账损失的金额。
7.应收票据的评估
应收票据的评估可采用下列两种方法:按票据的本利和计算,即应收票据的评估价值为票据的面值加上应计的利息。按应收票据的贴现值计算,即应收票据的评估价值为按评估基准日到银行申请贴现的贴现值。
8.待摊费用和预付费用的评估
对于待摊费用的评估,原则上应按其形成的具体资产价值来确定。预付费用的评估依据其未来是否可产生效益而定,只有那些在评估日之后仍将发挥作用的预付费用,才是评估的对象。
十、企业价值评估
(一)考试目的
通过对企业价值评估内容的考核,测试考生对企业价值评估的基本原理与方法的掌握和运用情况,考核考生分析和解决企业价值评估实际问题的能力。
(二)考试基本要求
1掌握以下内容
(1)企业及企业评估价值的含义;
(2)年金法的使用条件和正确运用;
(3)分段法的使用条件和正确运用;
(4)企业收益的界定及不同收益口径的确定依据和方法;
(5)企业收益预测的要求、步骤和方法;
(6)折现率选择的基本原则;
(7)保证折现率与收益额之间口径一致的要求和技术处理方法;
(8)测算风险报酬率的累加法和口系数法等具体方法;
(9)企业价值评估市场法、成本法的运用;
(10)企业价值评估中的价值类型。
2.熟悉以下内容
(1)企业价值评估的特点;
(2)企业价值评估中一般范围及有效资产和无效资产的划分标准、界定的意义、途径,以及正确划分企业价值评估范围对企业价值评估的影响;
(3)收益法评估企业价值评估中的核心问题;
(4)无风险报酬率的本质和选取渠道和标准;
(5)企业价值评估中收益法、市场法、成本法之间的关系,各种评估方法评估结果之间相互验证时的要求和技术处理;
(6)折现率与资本化率及其相互关系。
3.了解以下内容
(1)新兴市场中资产评估面临的问题,了解产权的定义及我国的产权模糊现象;
(2)企业价值评估的信息资料收集。
(三}要点内容
1.企业及企业评估价值的含义
企业是以盈利为目的,按照法律程序建立的经济实体,形式上体现为由各种要素资产组成并具有持续经营能力的自负盈亏的法人实体。进一步说,企业是由各个要素资产围绕着一个系统目标,发挥各自特定功能,共同构成一个有机的生产经营能力和获利能力的载体及其相应的权益。
从一般意义上讲,企业的评估价值是企业的公允价值。这不仅是由企业作为资产评估的对象所决定的,而且是由对企业进行价值评估的目的所决定的。企业价值评估的主要目的是为企业产权交易提供服务,使交易双方对拟交易企业的价值有一个较为清晰的认识,所以企业价值评估应建立在有效市场假设之上,其揭示的是企业的公允价值。当然,在特定的评估目的下和具体的评估条件中,企业的公允价值又有具体表现形式。从大的方面分类,又包括了企业的市场价值和市场价值以外的价值。
企业评估价值基于企业的盈利能力。企业之所以能够存在价值并且能够进行交易是由于它们所具有的产生利润(现金流)的能力。与企业的定义及其内涵相对应,从企业价值评估的具体对象范围的角度,企业价值又可划分为企业整体价值、企业股东全部权益价值、企业股东部分权益价值等。
2.企业价值评估的一般范围
企业价值评估的一般范围即企业价值评估的产权范围。从产权的角度界定,企业价值评估的范围应该是企业的全部资产。包括企业产权主体自身占用及经营的部分,企业产权主体所能控制的部分,如全资子公司、控股子公司,以及非控股公司中的投资部分。在具体界定企业价值评估的资产范围时,应根据以下有关数据资料进行:
(1)企业的资产评估申请报告及上级主管部门批复文件所规定的评估范围;
(2)企业有关产权转让或产权变动的协议、合同、章程中规定的企业资产变动的范围。
3.企业价值评估中的有效资产和无效资产企业是由各类单项资产组合而成的资产综合体,这些单项资产对企业盈利能力的形成具有不同的贡献。其中,对企业盈利能力的形成做出贡献,发挥作用的资产就是企业的有效资产,而对企业盈利能力的形成没有做出贡献,甚至削弱了企业的盈利能力的资产就是企业的无效资产。企业的盈利能力是企业的有效资产共同作用的结果,要正确揭示企业价值,就要将企业资产范围内的有效资产和无效资产进行正确的界定与区分,将企业的有效资产纳入评估企业价值的具体资产范围。这种区分是进行企业价值评估的必要前提。
4.收益法评估企业价值的核心问题
运用收益法对企业进行价值评估,关键在于对以下三个问题的解决:
(1)恰当选择企业的收益额。企业的收益能以多种形式出现,包括净利润、净现金流、息前净利润和息前净现金流等,选择何种形式或口径的收益作为企业价值评估中的企业收益,可能会在一定程度上影响评估人员对企业获利能力的判断,进而会影响评估人员对企业价值的最终判断。恰当选择企业的收益额,同时要求评估人员注意企业收益额与折现率口径保持一致的问题。恰当选择企业的收益额从本意来讲,是为了客观合理地反映企业的获利能力,进而相对合理准确地评估企业价值。由于不同形式或口径的企业收益的性质和内涵是有一定差别的,在不考虑折现率因素的前提下,不同形式和口径的企业收益,其折现价值的内涵和性质也是有差别的,例如:净利润或净现金流量折现或还原为净资产价值(所有者权益)
净利润或净现金流量+长期负债利息(1- 所得税税率)折现或还原为投资资本价值(所有者权益+长期负债)
净利润或净现金流量+利息(1-所得税税率)折现或还原为总资产价值(所有者权益+长期负债+流动负债)
(2)合理预测企业收益。合理预测企业的收益并不一定要评估人员对企业的将来收益进行精确的计算。这种要求是不现实和不可能的。但是,由于企业收益的预测的水平和合理性直接影响评估师对企业盈利能力的判断,进而影响评估人员对企业最终评估值的判断。所以,评估人员在评估中应全面考虑影响企业盈利能力的因素,对企业的收益做出客观、合理及合乎逻辑的预测。
(3)选择合适的折现率。折现率作为潜在投资者的期望投资回报率,它的选择直接关系到对企业未来取得收益的风险的判断。由于不确定性的客观存在,对企业未来收益的风险进行判断至关重要。能否对企业取得未来收益的风险做出恰当的判断,从而选择合适的折现率,不仅对企业的最终评估值具有较大影响,而且还会影响对企业评估价值的价值类型的选择。选择合适的折现率包括了两个方面的内容:一是保证折现率的值与被评估企业获得预期收益面临的风险的匹配;二是所选择的折现率的口径与企业收益额的口径的一致。
5.年金法的计算公式和使用条件
用于企业价值评估的年金法,是将已处于均衡状态,其未来收益具有充分的稳定性和可预测性的企业的收益进行年金化处理,然后再把已年金化的企业预期收益进行收益还原,估测企业的价值。
6.分段法的计算公式和使用奈件
分段法是将持续经营的企业的收益预测分为前后段。将企业的收益预测分为前后两段的理由在于:在企业发展的前一个期间,企业处于不稳定状态,因此企业的收益是不稳定的;而在该期间之后,企业处于均衡状态,其收益是稳定的或按某种规律进行变化。对于前段企业的预期收益采取逐年预测,并折现累加的方法。而对于后段的企业收益,则针对企业具体情况并按企业的收益变化规律,对企、吐后段的预期收益进行折现和还原处理。将企业前后两段收益现值加在一起便构成企业的收益现值。
7.企业收益的界定
在对企业收益进行具体界定时,应首先从企业财务会计的角度注意以下两个方面:
(1)企业创造的不归企业权益主体所有的收入,不能作为企业价值评估中的企业收益。如税收,不论是流转税还是所得税都不能视为企业收益。
(2)凡是归企业权益主体所有的企业收支净额,都可视为企业的收益。无论是营业收支、资产收支,还是投资收支,只要形成净现金流人量,就可视为企业收益。这是判断和把握企业价值评估中收益额的重要基础。
8.企业收益的不同口径的确定依据和方法
选择什么口径的企业收益作为收益法评估企业价值的基础,首先应服从企业价值评估的目的和目标,即企业价值评估的目的和目标是评估反映企业股东全部权益价值(所有者权益的净资产价值)还是反映企业所有者权益及债权人权益的投资资本价值,或企业整体(总资产)价值。其次,对企业收益口径的选择,应在不影响企业价值评估目的的前提下。选择最能客观反映企业正常盈利能力的收益额作为对企业进行价值评估的收益基础:对于某些企业,净现金流量就能客观地反映企业的获利能力对于另一些企业,息前净现金流量可能更能反映企业的获利能力。如果企业评估的目标是企业的股东全部权益价值(净资产价值),使用净现金流量最为直接,即评估人员直接利用企业的净现金流量评估出企业的净资产价值来。当然,评估人员也可以
利用企业的息前净现金流量首先估算出企业的整体(总资产)价值,然后再从企业整体(总资产)价值中扣减掉企业的全部负债得到企业的股东全部权益价值(净资产价值)。是运用企业的净现金流量直接估算出企业的股东全部权益价值(净资产价值),还是采用迂回的方法先估算企业的整体(总资产)价值,再估算企业的股东全部权益价值(净资产价值),取决于是企业的净现金流量或是企业的息前净现金流量更能客观地反映出企业的获利能力。掌握收益口径和表现形式与不同层次的企业价值的对应关系,以及不同层次企业价值之间的关系是企业价值评估中非常重要的事情。
9.企业收益预测
企业的收益预测,大致分为三个阶段。首先,对企业收益的历史及现状的分析与判断。其次,对企业未来可预测的若干年的预期收益的预测。最后。对企业未来持续经营条件下的长期预期收益趋势的判断。
10.企业收益预测的基本步骤
企业预期收益的预测大致可分为以下几个步骤:
(1)评估基准日审计后企业收益的调整;
(2)企业预期收益趋势的总体分析和判断;
(3)企业预期收益预测。
11.企业评估中选择折现率的基本原则
(1)折现率不低于投资的机会成本。
(2)行业基准收益率不宜直接作为折现率,但行业平均收益率可作为确定折现率的重要参考指标。
(3)贴现率不宜直接作为折现率。
12.安全利率一一无风险报酬率
安全利率亦称为无风险报酬率,它取决于资金的机会成本,即正常的投资报酬率不能低于该投资的机会成本。这个机会成本通常以政府发行的国库券利率和银行储蓄利率作为参照依据。
13.在测算风险报酬率的时候,评估人员应注意的因素
(1)国民经济增长率及被评估企业所在行业在国民经济中的地位;
(2)被评估企业所在行业的发展状况及被评估企业在行业中的地位;
(3)被评估企业所在行业的投资风险;
(4)企业在未来的经营中可能承担的风险等。
风险报酬率=行业风险+经营风险报酬率+财务风险报酬率+其他风险报酬率
14.β系数法及其步骤
β系数法主要用于估算被评估企业(或被评估企业所在行业)的风险报酬率。其基本思路是,被评估企业(或行业)风险报酬率是社会平均风险报酬率与被评估企业(或被评估企业所在行业)风险和社会平均风险的相关系数(β系数)的乘积。
β系数法估算风险报酬率的步骤为:
(1)将社会平均收益率扣除无风险报酬率,求出社会平均风险报酬率;
(2)将企业(或企业所在行业)的风险与充分风险分散的市场投资组合的风险水平进行比较及其测算,求出企业所在行业的口系数;
(3)用市场平均风险报酬率乘以企业(或企业所在行业)的口系数,便可得到被评估企业(或企业所在行业)的风险报酬率。
用数学公式表示为:

如果所求β系数是被评估企业的β系数,直接利用β系数就可以r,而不需要再考虑企业特定风险调整系数α了。
15.保证折现率与收益额之间口径一致的要求和技术处理方法
根据不同的评估目的和评估价值目标,用于企业评估的收益额可以有不同的口径,如净利润、净现金流量、无负债利润(息前净利润)、无负债净现金流量(息前净现金流量)等。而折现率作为一种价值比率,就要注意折现率的计算口径(计算折现率时的分子与分母的口径)。折现率既有按不同口径收益额为分子计算的折现率,如,股权收盗或债权收益,以及股权和债权综合收益,也有按同一口径收益额为分子,而以不同口径资金占用额或投资额为分母计算的折现率,如企业资产总额收益率、企业投资资本收益率、企业净资产收益率等。所以,在运用收益法评估企业价值时,必须注意收益额与计算折现率所使用的收益额之间结构与口径上的匹配和协调,以保证评估结果合理且有意义。
16.企业价值评估的市场法
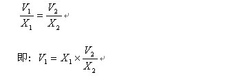
企业价值评估的市场法就是在市场上找出一个或几个与被评估企业相同或相似的参照系企业,分析、比较被评估企业和参照系企业的重要指标,在此基础上,修正、调整参照系企业的市场价值,最后确定被评估企业的价值:其理论依据就是"替代原则".
市场法中常用的两种具体方法是参考企业比较法和并购案例比较法。
(1)参考企业比较法是指通过对资本市场上与被评估企业处于同一或类似行业的上市公司的经营和财务数据进行分析,计算适当的价值比率或经济指标,在与被评估企业比较分析的基础上,得出评估对象价值的方法。
(2)并购案例比较法是指通过分析与被评估企业处于同一或类似行业的公司的买卖、收购及合并案例,获取并分析这些交易案例的数据资料,计算适当的价值比率或经济指标,在与被评估企业比较分析的基础上。得出评估对象价值的方法:
市场法评估思路可用公式表示如下:

式中:V1——被评估企业价值;
V2——可比企业价值;
X1——被评估企业与企业价值相关的可比指标;
X2一一可比企业与企业价值相关的町比指标。
通常又称为可比价值比率或倍数。式中X参数可选用以下财务变量但不限于以上变量:利息、折旧和税收前利润,即EBIDT;无负债的净现金流量;销售收入。
17.企业价值评估中的成本法
企业价值评估中的成本法也称资产基础法,是指在合理评估技术方法的总称。
成本法实际上是通过对企业账面价值的调整得到企业价值。其理论基础也是"替代原则",即任何一个精明的潜在投资者,在购置一项资产时所愿意支付的价格不会超过建造一项与所购资产具有相同用途的替代品所需的成本。成本法以企业单项资产的再取得成本为出发点,有忽视企业的获利能力的可能性,而且在评估中很难考虑那些未在财务报表上出现的项日,如企业的管理效率、自创商誉、销售网络等。因此,以持续经营为前提对企业进行评估时,成本法一般不应当作为惟一使用的评估方法。
在具体运用成本法评估企业价值时,人们通常又称之为资产加和法。成本法具体是指将构成企业的各种要素资产的评估值加总求得企业价值的方法。企业重建并不是对被评估企业的简单复制,而主要是对企业生产能力和盈利能力的重建。因此,企业价值评估的成本法是紧紧围绕企业的盈利能力进行的。
18.企业价值评估中的其他方法
企业价值评估中的收益法、市场法和成本法各有特点又有联系,在正常情况下,企业价值评估应尽可能使用多种评估方法进行评估,并进行相互验证。
19.企业价值评估中的价值类型
与其他的资产评估结果的价值类型分类一样,企业价值中的价值类型也划分为市场价值和非市场价值两类。
(1)企业价值评估中的市场价值从价值属性的角度定义,是指企业在评估基准日公开市场上正常使用状态下最有可能实现的交换价值的估计值。或者从评估过程的角度来说、企业价值评估依据的所有信息资料都来源于公开市场的评估结果是企业价值评估中的市场价值。
(2)企业价值评估中的非市场价值(市场价值以外的价值)并不是一种具体的企业价值存在形式,它是一系列不符合企业价值评估中的市场价值定义条件的价值形式的总称或组合。企业价值评估中的非市场价值也是企业公允价值具体表现形式的一类概括,企业价值评估中的非市场价值主要有投资价值、持续经营价值、保险价值、清算价值等。
十一、资产评估报告
(一)考试目的
通过对资产评估报告相关知识的考核,测试考生对资产评估报告的基本内容、编写技能、制作要求及对与资产评估报告有关基本概念的掌握情况,考核考生对资产评估业务的理解深度和制作资产评估报告的能力。
(二)考试基本要求
1.掌握以下内容
(1)资产评估报告书的基本要素和基本内容;
(2)制作资产评估报告书的技术要点。
2.熟悉以下内容
(1)资产评估报告书的种类及作用;
(2)制作资产评估报告书的步骤;
(3)资产评估报告书的应用。
3.了解以下内容
(1)资产评估报告的基本概念;
(2)国外资产评估报告的基本要素与披露要求。
(三)要点内容
1.资产评估报告
资产评估报告,是指注册资产评估师遵照相关法律、法规和资产评估准则,在实施了必要的评估程序对特定评估对象价值进行估算后,编制并由其所在评估机构向委托方提交的反映其专业意见的括面文件。
2.资产评估报告书的作用
为被委托评估的资产提供作价意见,资产评估报告节是反映和体现资产评估工作情况,明确委托方、受托方及有关方面责任的依据。对资产评估报告书进行审核,是管理部门完善资产评估管理的重要手段。资产评估报告书是建立评估档案,归集评估档案资料的重要信息来源。注册资产评估师应当根据评估业务具体情况,提供能够满足委托方和其他评估报告使用者合理需求的评估报告。
3.资产评估报告书的种类
按资产评估的范围划分,资产评估报告书可分为整体资产评估报告书和单项资产评估报告书。按评估对象不同划分,资产评估报告书可划分为资产评估报告书、房地产估价报告书、土地估价报告书等。资产评估报告还可分为简明评估报告和完整评估报告等。
4.国有资产评估报告的基本制度
国有资产评估报告基本制度是规定资产评估机构完成国有资产评估工作后由相关国有资产管理部门或代表单位对评估报告进行核准、备案的制度。
5.资产评估报告的基本要素
评估报告类型;委托方、资产占有方及其他评估报告使用者;评估范围和评估对象基本情况;评估目的;价值类型;评估基准日;评估假设和限制条件;评估依据;评估程序实施过程和情况;评估结论;声明;评估报告日;评估机构和注册资产评估师签章;附件。
6.资产评估报告书的基本内容
包括三部分基本内容,即资产评估报告书正文及相关附件的基本内容,资产评估说明的基本内容,资产评估明细表的基本内容。
7.资产评估报告书制作的技术要点
(1)文字表达方面的技能要求。资产评估报告书既是一份对被评估资产价值有咨询性和鉴证性作用的文书,又是一份用来明确资产评估机构和评估人员工作责任的文字依据,所以它的文字表达技能要求既要清楚、准确,又要提供充分的依据说明,还要全面地叙述整个评估的具体过程。其文字的表达必须准确,不得使用模棱两可的措词。注册资产评估师应当在评估报告中提供必要信息,使评估报告使用者能够合理理解评估结论。
(2)格式和内容方面的技能要求。对资产评估报告书格式和内容方面的技能要求,目前应遵循财政部颁发的《资产评估报告基本内容与格式的暂行规定》,并遵循相关评估准则进行编制。
(3)评估报告书的复核及反馈方面的技能要求。资产评估报告书的复核、评判与反馈是资产评估报告书制作的具体技能要求。通过对工作底稿、评估说明、评估明细表和报告书正文的文字、格式及内容的复核和反馈,可以使有关错误、遗漏等问题在出具正式报告书之前得到修正。对评估人员来说,资产评估工作是一项必须由多个评估人员同时作业的中介业务,每个评估人员都有可能因能力、水平、经验、阅历及理论方法的限制而产生工作盲点和工作疏忽,所以,对资产评估报告书初稿进行审核就成为必要。对评估资产的情况熟悉程度来说,大多数资产委托方和占有方对委托评估资产的分布、结构、成新等具体情况总是会比评估机构和评估人员更熟悉,所以。在出具正式报告之前征求委托方意见,收集反馈意见也很有必要。
对资产评估报告必须建立起多级复核和交叉复核的制度,明确复核人的职责,防止流于形式的复核。收集反馈意见主要是通过委托方或占有方熟悉资产具体情况的人员。对委托方或占有方意见的反馈信息,应谨慎对待,应本着独立、客观、公正的态度去接受其反馈意见。
(4)撰写报告书应注意的事项。资产评估报告书的制作技能除了需要掌握上述三个方面的技术要点外,还应注意以下儿个事项:
①实事求是,切忌出具虚假报告。报告书必须建立在真实、客观的基础上不能脱离实际情况,更不能无中生有。报告拟定人应是参与该项目并较全面了解该项目情况的主要评估人员。
②坚持一致性做法,切忌出现表里不一。报告书文字、内容前后要一致,摘要、正文、评估说明、评估明细表内容与格式、数据要一致。
③提交报告书要及时、齐全和保密。在正式完成资产评估工作后,应按业务约定书的约定时间及时将报告书送交委托方。
送交报告书时,报告书及有关文件要送交齐全。涉及外商投资项目的对中方资产评估的评估报告,必须严格按照有关规定办理。此外,要做好客户保密工作,尤其是对评估涉及到的商业秘密和技术秘密,更要加强保密工作。
8.资产评估报告书的应用
资产评估报告书由评估机构出具后,资产评估委托方、资产评估管理方和有关部门对资产评估报告书及有关资料根据需要分别进行应用。
9.关注评估对象的法律权属
注册资产评估师执行资产评估业务,应当关注评估对象的法律权属,并在评估报告中对评估对象法律权属及其证明资料来源予以必要说明。注册资产评估师不得对评估对象的法律权属提供保证。
10.披露注意事项
注册资产评估师执行资产评估业务受到限制无法实施完整的评估程序时,应当在评估报告中明确披露受到的限制、无法履行的评估程序和采取的替代措施。
11.明确评估报告使用者及使用方式
编制资产评估报告时,应该特别关注资产评估报告的使用者,评估机构应当在资产评估报告书中明确评估报告使用者、报告使用方式,提示评估报告使用者合理使用评估报告。
十二、我国资产评估行业发展概况
(一)考试目的
通过对我国资产评估行业发展概况的考核,测试考生对我国资产评估行业发展状况的掌握情况,考核考生对我国资产评估行业自起步以来的主要发展状况、我国资产评估法律规范体制、我国资产评估准则体系以及我国已经制定的资产评估准则的掌握程度。
(二)考试基本要求
1,掌握以下内容
(1)全国人大或者人大常委会颁布的涉及到资产评估行业的法律法规;
(2)我国资产评估准则体系构成;
(3)《资产评估准则——基本准则》的主要内容;
(4)《资产评估职业道德准则——基本准则》的主要内容。
2.熟悉以下内容
(1)我国资产评估法律规范体制;
(2)我国已经制定的资产评估准则。
3.了解以下内容
(1)我国资产评估行业的发展状况;
(2)《国有资产评估管理办法》的主要内容;
(3)我国资产评估准则体系的指导思想。
(三)要点内容
1.全国人大或者人大常委会颁布的涉及到资产评估行业的法律法规全国人大或者人大常委会颁布的法律,如《公司法》、《证券法》、《合伙企业法》、《拍卖法》、《刑法》,这些法律主要从两个方面涉及资产评估行业:一是对何时需要进行资产评估进行规定;二是对评估机构、专业人员违反法律规定的罚则做出了规定。
2.我国资产评估准则体系
(1)我国资产评估准则体系指导思想。设计我国资产评估准则体系时主要遵循以下指导思想:
我国资产评估准则应当是综合性的评估准则体系,包括不动产、动产、机器设备、企业价值、无形资产等各类别资产的评估准则。
我国资产评估准则体系应当高度重视程序性准则与专业性准则。鉴于资产评估行业的特点,我国资产评估准则体系不仅应包括从程序方面规范评估行为的准则,如评估报告、工作底稿、评估程序等,也应包括针对各主要类别资产特点而进行规范的专业性准则,如企业价值评估准则、机器设备评估准则、不动产评估准则等。
我国资产评估准则体系中应当将职业道德准则放在与业务性准则同等重要的高度。基于职业道德在资产评估行业中的重要作用,我国资产评估准则在重视制定规范评估行为的业务性准则的同时,更应当高度重视职业道德准则的作用。
我国资产评估准则体系应当层次清晰,逻辑严密,并具有一定的灵活性。我国资产评估准则体系应当体现各层次准则文件的不同效力和不同规范领域,同时由于资产评估理论与实践在国际上发展的不均衡性,我国资产评估行业的发展尚处于不断完善的过程中,准则制定应考虑评估理论和实践的未来发展趋势。
(2)我国资产评估准则体系。从资产评估准则体系横向关系上划分,资产评估准则包括业务准则和职业道德准则两个部分。
从资产评估准则体系纵向关系上划分,资产评估准则分为不同的层次。
①资产评估职业道德准则的纵向关系较为简单,分为职业道德基本准则和具体准则两个层次。职业道德基本准则对注册资产评估师职业道德方面的基本要求、专业胜任能力、注册资产评估师与委托方和相关当事方的关系、注册资产评估师与其他注册资产评估师的关系等进行概要规范;职业道德具体准则将根据评估实践中存在的与职业道德有关的问题和职业道德基本准则中的一些重要内容如独立性、保密原则等进一步明确规范。
②资产评估业务准则由于涉及面广,在纵向关系上分为以下四个层次:
第一层次为资产评估基本准则。资产评估基本准则是注册资产评估师执行各种资产类型、各种评估目的资产评估业务的基本规范,是各类资产评估业务中所应当共同遵守的基本规则。由于我国资产评估行业特殊的发展背景和综合性定位,基本准则在整个评估准则体系中占有极为重要的地位。
第二层次为资产评估具体准则。,资产评估具体准则分为程序性准则和专业性准则两个部分。
程序性准则是关于注册资产评估师通过履行一定的专业程序完成评估业务、保、征评估质量的规范,包括评估业务约定书、评估工作底稿、评估报告等。程序性准则的制定需要与目前我国资产评估行业的理论研究和实践发展相结合。注册资产评估师只有履行必要的资产评估程序,才能保证资产评估的质量,在程序上避免重大的遗漏或疏忽。
专业性准则针对不同资产类别的特点,分别对不同类别资产评估业务中的评估师执业行为进行规范。,根据我国资产评估行业的惯例和国际上的通行做法,专业性准则主要包括企业价值评估准则、无形资产评估准则、不动产评估准则、机器设备评估准则、珠宝首饰艺术品评估准则等。
第三层次为资产评估指南。资产评估指南包括对特定评估目的、特定资产类别(细化)评估业务以及对资产评估中某些重要事项的规范。评估师在执行不同目的的评估业务中,所应当关注的事项也各有不同。资产评估指南拟对我国资产评估行业中涉及主要评估目的的业务进行规范,同时也将涉及一些具体的资产类别评估业务,并对资产评估工作中的一些重要特定事项进行规范。
第四层次为资产评估指导意见。资产评估指导意见是针对资产评估业务中的某些具体问题的指导性文件。该层次较为灵活,针对评估业务中新出现的问题及时提出指导意见,某些尚不成熟的评估指南或具体评估准则也可以先作为指导意见发布,待实践一段时间或成熟后再上升为具体准则或指南。
3.《资产评估准则——基本准则》的主要内容
2004年2月25目财政部发布《资产评估准则——基本准则》,自2004年5月1日起施行。该准则属于业务性准则的基本准则,共6章27条,从资产评估基本要求、操作准则、报告准则、执业责任等方面对各类资产评估业务进行_厂规范。《资产评估准则——基本准则》重点在以下方面做出了规定:
(1)根据国际惯例重新定义资产评估。基本准则指出资产评估是"依据相关法律、法规和资产评估准则,对评估对象在评估基准日特定目的下的价值进行分析、估算并发表专业意见的行为和过程".这一定义不同于以往我国评估行业对资产评估所下的定义,是在总结10多年来资产评估行业发展经验的基础上,对资产评估的本质属性进行的归纳和描述,并与国际评估准则和美国评估准则中的定义基本一致。该定义突出强调了资产评估结果是一种专业意见,对引导业内外人士正确认识资产评估作用具有重要的现实指导意义。
(2)对评估师执业提出了基本要求。基本准则要求评估师执行资产评估业务,应当遵守相关法律、法规和资产评估准则,具有良好的职业道德;勤勉尽责,恪守独立、客观、公正的原则。基本准则要求评估师应当具备能够胜任所执行的评估业务的专业能力,并对聘请专家和指导助理人员等行为进行了规范。
(3)对评估操作进行了原则性规范。资产评估程序是资产评估机构和从业人员在执行资产评估业务、形成资产评估结论所履行的系统性工作步骤,十多年来我国资产评估行业并未对评估程序进行系统的规范。基本准则第一次对评估程序做出了规定,要求评估师执行资产评估业务,应当根据业务具体情况履行适当的评估程序,并列出明确评估业务基本事项等八个资产评估基本程序。评估程序的规定有利于规范评估师执业行为,切实保证评估业务质量;同时,恰当履行资产评估程序也是资产评估机构和人员防范执业风险,合理保护自身权益的重要手段。
基本准则遵循国际惯例,引进了价值类型的概念。价值类型概念和理论对资产评估十分重要,已逐步为世界各国评估界普遍接受,并成为各国评估准则和评估实践的基础。基本准则改变了t0多年来我国在评估实践中不采用价值类型的做法。价值类型的意义在于指出同一资产可能具有不同类型的价值,评估师应当避免使用未经定义的、笼统的价值概念;评估师应当在与客户进行充分讨论之后,根据评估目的选取合适的价值类型;评估师应当对选用的价值类型进行明确定义和说明。明确价值类型有利于更好地服务于客户,避免评估报告使用者将一些不常用的或具有特殊内涵和定义的价值类型误认为是常用的价值类型,以引导评估报告使用者正确理解、合理使用评估结果,同时也有利于降低评估师的执业风险。
基本准则针对我国评估行业在评估方法运用方面存在的问题,结合评估理论研究成果和国外评估行业的通行做法,对评估方法的运用重点做出了规定。由于受理论研究滞后和实践经验不足的局限,我国评估从业人员长期在评估实践中主要采用成本法,而忽视市场法和收益法的运用。随着社会主义市场经济体制的发展与完善,我国经济发展的市场化程度越来越高,市场体系也在逐步完善,为运用多种评估方法创造了条件,而日益多元化的评估报告使用者也对"成本法一贯制"的做法提出了强烈批评。国外评估行业的实践已经证明,三种基本评估方法本身并无优劣,不能简单认为哪种评估方法就比其他方法好,重要的是评估师应当根据具体情况判断,选择与具体评估项目相适应的一种或多种评估方法;对同一项目而言,在评估目的既定的情况下,评估师首先应当考虑尽可能使用三种基本方法,根据所确定的价值类型、项目具体情况特别是数据资料的完备程度选择评估方法,并对评估方法选择的合理性进行说明;如果选择一种以上评估方法,应当对分别得出的结论进行综合分析,合理确定评估结论。为此,基本准则要求评估师应当熟知、理解并恰当运用市场法、收益法和成本法等三种基本评估方法;应当根据评估对象、价值类型、资料收集情况等相关条件,分析三种资产评估基本方法的适用性,恰当选择评估方法。形成合理评估结论。
评估假设是资产评估、世务的重要要素之一,假设的合理性直接关系到结论的合理性和可用性。评估假设的合理和规范在我国一直未引起足够的重视,评估实践中已经出现一些滥用假设、采用不合理假设的现象。基本准则明确要求评估师执行资产评估业务,应当合理使用评估假设,并在评估报告中披露评估假设及其对评估结论的影响。
(4)对评估信息披露环节进行规范。在评估披露要求方面,基本准则要求评估师应当在执行必要的评估程序后,编制并由所在资产评估机构出具评估报告;应当在评估报告中提供必要信息,使评估报告使用者能够合理理解评估结论;可以根据评估业务具体情况以及委托方和其他评估报告使用者的需求,确定评估报告繁简程度。
(5)明确执业责任。基本准则第一次明确提出评估师应当对评估结论的合理性承担责任。这一正面规定体现了评估行业对社会公共利益的维护,评估师不应当以评估方法的选择、评估假设的选择等为由,逃避对评估结论合理性所应当承担的责任。同时合理性的概念也体现了资产评估的特点,有利于合理维护评估师的利益,即社会公众和评估报告使用者不应当要求评估师对评估结论的"准确性"、与成交价格的~致性承担保证责任。
为合理区分评估师与相关当事人的责任,基本准则指出遵守相关法律、法规和资产评估准则,对评估对象在评估基准日特定目的下的价值进行分析、估算并发表专业意见,是评估师的责任;提供必要的资料并保证所提供资料的真实性、合法性、完整性,恰当使用评估报告是委托方和相关当事方的责任;评估结论不应当被认为是对评估对象可实现价格的保证。
针对大量出现的要求评估师对评估对象法律权属承担责任的诉讼,基本准则指出评估师执行资产评估业务,应当关注评估对象的法律权属,并在评估报告中对评估对象法律权属及其证明资料来源予以必要说明。评估师不得对评估对象的法律权属提供保证。
4.《资产评估职业道德准则——基本准则》基本内容2004年2月25日财政部发布《资产评估职业道德准则——基本准则》,自2004年5月1日起施行。该准则共6章32条,分别从基本要求、专业胜任能力、与委托方和相关当事方的关系、与其他注册资产评估师的关系等方面对评估师职业道德行为进行了规范。
(1)注册资产评估师遵纪守法的要求。
i.要独立地进行专业判断,不得以委托方或相关当事方预先设定的价值量作为评估结果。
ii.不得利用工作之便为自己或他人谋取不正当利益。
iii.应当遵守保密守则。除法律、法规和有关制度另有规定外,未经委托方书面许可,不得对外提供在执业过程获知的各种商业秘密和相关业务资料。
iv.不应同时在两家以上(含)评估机构执业,吐玉不得以个人名义从事资产评估业务活动,
v.对参与评估人员的工作进行指示、督促和复核,保征评估人员执行执业标准、程序和遵守职业道德规范。
vi.要维护评估行业的职业形象,不得从事与注册资产评估师身份不符或可能损害其职业形象的活动。
vii.在每个具体的工作过程形成能够支持评估结沦的工作底稿,并按照有关规定管理和保存好评估工作档案。
viii.要自觉接受中国资产评估协会的管理,积极履行对资产评估行业协会迁务等要求。
(2)注册资产评估师恪守独立、客观、公正的要求。
i.恪守独立性原则要求。独立性原则是指注册资产评估师在执业过程中,应当在实质上和形式上独立于外部组织和所服务对象。独立性包括实质上的独立和形式上的独立。实质上的独立是指注册资产评估师与服务对象之间没有利害关系。形式上的独立是指注册资产评估师在为委托方提供服务时所表现的在社会公众或第三者面前呈现出一种独立于委托人的形象。
ii.恪守客观性原则要求。客观性原则是指注册资产评估师在执业过程中应当以客观事实为依据,实事求是,尽可能地排除人为的主观因素,真实地反映、分析、判断和处理评估业务,不以个人好恶或成见影响工作结果。
iii.恪守公正性原则要求。公正性原则是指注册资产评估师在执业时,应当具备正直、诚实的品质,公平正直地对待有关利益各方,不以牺牲一方利益而使另一方受益的行为。它要求注册资产评估师在资产评估的执业过程中,应始终不偏不倚,公平地对待资产评估业务中的利益相关方。
(3)注册资产评估师在承接业务、评定价值、评估结论披露等具体执业过程中的职业道德要求。
i.不得以个人的名义进行评估业务的承揽工作。
ii.在承揽和接受业务时,与委托方或相关当事方存在利害关系时,应主动回避。
iii.在接受资产评估业务时,应实事求是地与委托方签订规范的委托合同(协议)。不得采用欺诈、利诱、强迫等不正当手段招揽业务。
iv.注册资产评估师进行价值评定时,应当严格执行资产评估执业标准和执业程序,不得随意降低执业标准,不得随意删减、简化执业程序。
v.注册资产评估师进行价值评估时,应当独立进行专业判断,不得以委托方或相关当事方预先设定的价值量作为评估结果。
vi.注册资产评估师进行价值评定时,应当使用合理的假设。
vii.注册资产评估师进行价值评定时,应当获取足够的相关资料和数据,并应当对获取的资料、数据和评估有关事宜进行充分分析。
viii.注册资产评估师进行价值评定时,应当对参与评估人员的工作进行指示、督促和复核,保证评估人员执行执业标准、程序和遵守职业道德规范。
ix.注册资产评估师进行价值评定时,有时还需要利用有关专家协助工作。
x.注册资产评估师执行资产评估业务过程中,应当在每个具体的工作过程形成评估工作底稿。
xi.在进行评估结论披露时,应当根据相关法律、法规和资产评估准则出具评估报告。
xii.在进行评估结论披露时,应当在评估报告中充分披露评估所依据的假设、限制条件和评估相关的必要信息。
xiii.在进行评估结论披露时,应当引导报告使用者恰当使用评估报告。
xiv.在进行评估结论披露时,不应在自己未参与或不了解项目的评估报告上签署,也不得允许他人以本人名义签署评估报告。
(4)注册资产评估师专业胜任能力的要求。注册资产评估师职业道德规范中的专业胜任能力要求包括两个方面的内容,一是指要从事资产评估业务的人应当先经过专门教育和培训,获取了评估方面的专业知识、专业训练,并取得评估的实践经验,具备从事资产评估业务的分析、判断和表达能力,才能进入这一行业从事评估活动;二是指已进入资产评估行业从事资产评估业务的注册资产评估师在承揽、接受和进行资产评估业务时,一般只能在其专业技能和时空安排等方面能够胜任的范围内进行,对超越其专业技能和时空安排等胜任能力的业务应当放弃、拒绝或采取恰当的措施加以解决。
(5)注册资产评估师与委托方和相关当事方的关系的要求。
i.对资产评估业务质量的责任要求。对资产评估业务质量的责任要求主要是指注册资产评估师从事资产评估业务的过程中有严格遵守资产评估技术规范的责任,认真执行资产评估有关准则、评估程序和评估质量控制标准,做好资产评估业务的各项具体工作。
ii.对客户责任要求。对客户责任要求主要是指注册资产评估师在从事资产评估过程中,应当坦诚地对待客户,在不违背其他当事人和公众利益的前提下,尽最大努力,竭诚为客户提供评估有关的专业服务,维护客户的合法权益并与客户保持相互信任的关系。具体包括应当做到按时按质完成委托的资产评估业务;坚持保密原则,做好为客户保密的工作;竭诚为客户服务的要求。
iii.在完成评估任务的整个过程中,不得向委托方或相关当事方索取约定服务费之外的不正当利益。
iv.提示客户恰当使用评估报告,并声明不承担相关当事人决策失误的责任。
v.对社会责任要求。对社会责任要求主要是指注册资产评估师在从事资产评估业务时,不得损害社会公众利益。
(6)注册资产评估师与其他注册资产评估师的关系的要求。与其他注册资产评估师的关系是指注册资产评估师在从事资产评估业务过程,应当做好与同行之问的沟通与协作,以诚相待,保持良好的工作关系,共同维护和增进本行业的职业信誉和形象。
十三、国外评估准则
(一)考试目的
通过对国外评估准则内容的考核,测试考生对国外评估准则的掌握情况,考核考生对国际评估准则结构体系、国际评估准则中市场价值等基本概念、国际评估准则中关于评估方法的论述等专业基础知识的掌握程度。
(二)考试基本要求
1.掌握以下内容
掌握国际评估准则中有关市场价值的定义。
2.熟悉以下内容
(1)熟悉国际评估准则中的专业术语;
(2)熟悉国际评估准则中关于评估方法的论述。
3.了解以下内容
(1)了解在国际评估界具有较大影响的评估准则;
(2)了解国际评估准则委员会的成立背景;
(3)了解国际评估准则的结构体系。
(三}要点内容
1.国际评估准则中基本概念
(1)与资产相关的概念。不动产是指实物形态的土地和附着于土地上的改良物,包括附着于地面或位于地上和地下的附属物。不动产所有权称为"不动产权",是指包含在不动产中的各种权利,通常由独立于不动产实体的所有权证明文件体现,如所有权证书、租约等正式文件。不动产的价值是由其效用即满足人们需求和欲望的能力创造的。不动产价值取决于不动产的独特性、长期存在性、地理位置的固定性、土地供应的相对有限性以及特定位置不动产的特殊效用。不动产评估中有许多公认的原则,包括供求原则、竞争原则、替代原则、预期或期望原则、变化原则以及其他原则。
不动产之外的资产在法律上称为动产,包括不动产之外的所有有形或无形的资产。这些资产不是永久性地附着于不动产,通常具有可移动性。动产所有权称为"动产权".
财产是个法律概念,包括与所有权有关的各种权利。在资产评估中,使用"财产"概念时,如果未加进一步限定或说明,可以指不动产、动产、企业价值、财务权益中的任一种或全部。
资产在一般意义上往往用来表示不动产和/或动产。在会计术语中,资产是指企业所拥有的、由于过去行为所形成的、可以从中合理预计未来获取经济利益的资源。在资产评估中,资产更多地被理解为是基于某项资产的各种权利的排列与组合。
(2)资产评估的经济概念。资产评估是个经济概念,即从经济意义上说,评估师进行评估的对象是资产的所有权或"所有者的权利",而不是有形资产或无形资产本身。
(3)评估中的折旧概念。"折旧"这一术语在评估行业和会计行业中都使用,在实践中可能会引起评估师、会计师或其他人士的误解。评估师在资产评估业务中所使用的折旧概念表示从估计的全新重置成本中扣除的任何部分。这些扣除部分(评估中的折旧)依其产生原因可分为实体性损耗、功能性(技术性)陈旧或经济性(外部环境)贬值。而会计上的"应计折旧"概念是指会计师根据历史成本原则做出的对资产原始成本的一种摊销,而并不考虑这种摊销是否与实际情况相符。折旧在评估和会计上最重要的区别在于,评估中的"应计折旧"应当与市场有关,反映相关的市场状况;而会计上的"应计折旧"则与会计原则有关,并不反映市场状况。
(4)市场、成本、价格和价值概念。市场是买方和卖方之间在价格机制作用下就商品和服务进行交易的体系,市场的存在是资产评估能够得以进行的基础条件之一。市场意味着买方和卖方能够在没有不合理限制的条件下进行商品或服务交易。交易各方都能够根据供求关系和其他价格确定因素、各方的能力和知识、他们对商品和/或服务效用的理饵以及他们各自的需要、欲望等因素做出合理决策。市场可以是地方市场或国内市场,也可以是国际市场。
成本是与生产相关的概念,是为商品或服务所支付的货币数额,或者是生产商品、提供服务所需要的货币数额。当商品生产、服务提供完成之后,成本就成为事实(历史数据)。对于购买者来说,为商品或服务所付出的价格就成为其成本。资产的总成本包括其创建、生产过程中的所有直接成本和间接成本。如果购买方在收购之后叉发生了附加性资本成本,根据成本会计原理这些费用可增加到历史成本中。但在资产评估中,根据市场对这些支出费用的效用的认可程度,这些费用可能会全部在资产的"市场价值"中反映,也可能不予以反映。
价格是与商品或服务交换相关的概念,表示就某商品或某项服务所要求的、提供的或支付的货币数额,反映了商品或服务进行实际交易的货币金额。价格是事实,是一个历史数据,不论其是否公开披露。由于特定买方、卖方的财务实力、动机或特殊兴趣不同,他们为商品或服务所付出的价格与其他人对该商品或服务价值的认可意见可能有关系,也可能没有任何关系。一般情况下,价格反映出在特定条件下特定的买方和/或卖方对商品或服务价值的认可。
价值是个经济概念,价值并不是事实,只是根据特定的价值定义在特定时间内对商品、服务进行交易时最可能形成的价格的估计额。价值的经济概念反映了在价值的有效日期(基准日),市场(而不是特定买方或卖方)对于某人由于拥有某商品或接受某服务而具有的利益的评判。
资产的所有者、经营者、投资者、保险人、清算人和接管人、征税部门、具有特殊动机的特殊购买方等对同一资产会赋予不同的价值。价值类型有许多种,每种价值类型都有其定义。某些经严格定义的价值类型是资产评估中常用的价值类型,其他价值类型则适用于特殊场合,需要明确定义并予以披露。对于评估师而言,在执行资产评估业务时,最重要的是确信所评估的价值类型和定义符合特定的评估业务目的,并明确披露所评估价值的类型和定义。价值定义的改变会使资产所具有的价值产生实质性影响。因此,专业评估师应避免使用未经限定的"价值"概念,而应对所涉及的特定价值类型进行详细定义。
(5)市场价值。市场价值是各国资产评估行业中普遍使用的概念,各国资产评估理论和评估准则中关于市场价值的定义不尽相同,但大多只是措词上的区别,其基本组成要件大致相同。
《国际评估准则》中市场价值的定义如下:
市场价值是自愿买方与自愿卖方在评估基准目进行正常的市场营销之后所达成的公平交易中,某项资产应当进行交易的价值估计数额,当事人双方应各自理性、谨慎行事,不受任何强迫压制。
市场价值在某些国家称为公开市场价值,是资产评估业务中最常使用的价值类型。资产的市场价值反映了市场作为一个整体对其效用的认可,而并不仅仅反映其物理实体状况。某项资产对于某特定市场主体所具有的价值,可能不同于市场或特定行业对该资产价值的认同。市场价值反映了各市场主体组成的市场整体对被评估资产效用和价值的综合判断,不同于特定市场主体的判断。
(6)非市场价值。《国际评估准则》中并没有给出非市场价值的定义。非市场价值又称市场价值以外的价值或其他价值,指所有不满足市场价值定义的价值类型。因此非市场价值不是个体概念,而是一个集合概念,指不满足市场价值定义的一系列价值类型的集合,主要包括在用价值、投资价值、持续使用价值、保险价值、剩余价值、清算价值、特殊价值等。
在用价值是指作为企业组成部分的特定资产对其所属企业能够带来的价值,而并不考虑该资产的最佳用途或资产变现所能实现的价值量。在用价值是特定资产在特定用途下对特定使用者的价值,因而是非市场性的。
投资价值是指资产对于具有明确投资目标的特定投资者或某一类投资者所具有的价值。这一主观概念将特定的资产与具有明确投资目标、标准的特定投资者或某一类投资者结合起来。
持续使用价值是指企业作为一个整体的价值。这一概念涉及对一个持续经营企业进行的评估,由于企业的各个组成部分对该企业的整体价值都有相应的贡献,可以将企业总的持续经营价值分配给企业的各个组成部分,但所有这些组成部分本身的价值并不构成市场价值。
保险价值是指根据保险合同或协议中规定的定义所确定的价值。计税、课税或征税价值是指根据有关资产计税、课税和征税法律中规定的定义所确定的价值。有的司法管辖当局可能会引用市场价值作为征税的基础,但所要求的评估方法可能会产生不同于市场价值定义的结果。
剩余价值是指假设在未进行特别修理或改进的情况下,将资产中所包含的各组成部分进行变卖处置的价值。剩余价值不是继续使用时的价值,且不包括土地价值在内。该价值中可能还需考虑总的处置成本或净处置成本,在后一种情况下可能等同于可变现净值。
清算价值或强制变卖价值是指在销售时间过短,达不到市场价值定义所要求的市场营销时间要求的情况下,变卖资产所能合理收到的价值数额。在某些国家,强制变卖价值还可能涉及非自愿买方和非自愿卖方,或买方在购买时知晓卖方不利处境的情况。
特殊价值是指资产价值量超出和高于其市场价值的部分。特殊价值是由于该资产与其他资产存在物理性、功能性或经济性组合而产生的,比如相邻资产。特殊价值是针对特定的资产所有者或使用者、未来特定所有者或使用者的资产价值升值,而不是针对整个市场,即这种价值升值是针对具有特殊兴趣的购买者。
2.《国际评估准则》中关于评估方法的论述
无论评估资产的市场价值还是非市场价值,评估师都需要根据项目具体情况恰当选择评估方法。在选择评估方法时,评估师应当考虑三种基本评估方法在具体项目中的适用性,采用多种评估方法时,应当分析、调整运用多种评估方法得出的评估结论,确定最终评估结果。
成本法建立在这样一个假设基础上,即作为购买某特定资产的替代选择,人们可以去建造一个与该资产相同的或具有相同功能的资产。除非有额外的时间支出、风险或其他不方便之处,人们为该特定资产所愿意支付的价格不会超过获取相同或具有相似功能的替代资产的成本。由于旧资产或功能较低资产的全新重置成本超过了市场愿意为其支付的价格,评估师在运用成本法进行评估时需要估计折旧(贬值)。当被评估资产处于全新状态时,其成本与市场价值最为接近。
成本法经常被用于评估新的或完工不久的资产,或评估计划将要建设的项目。成本的估计通常设定了市场参与者为该资产所愿支付金额的上限。成本法也常用于评估那些很少进行交易的特殊资产或有特殊用途的资产。成本法如果用于评估较旧的资产,可能会由于对成本和损耗的估计缺乏足够的市场资料支持,评估结果所反映的不是市场价值。
市场法又称市场比较法、销售比较法,是指通过对与被评估资产相似或可替代资产的分析,以及对购买方为类似资产或可替代资产所愿支付的购买价格的分析,采用必要的比较程序,估算被评估资产的价值。市场法有着较为广泛的用途,在市场数据充分的情况下该方法的重要性更为突出。通过运用市场法所获得的相关数据也可能用于成本法和收益法的评估。当市场条件发生重大变化或波动时,或对很少交易的特殊资产进行评估时,市场法的运用受到限制。
运用市场法需要对类似资产的交易情况进行分析,以确保交易双方具有正常的动机。当交易价格反映的不是市场参与者的正常动机时,如特殊购买者愿意支付特别的溢价,这样的交易价格数据不具有可参照性,应予剔除。评估师将评估对象与参照物进行比较时,应当注意:评估对象与参照物属于相似资产;参照物的交易价格应当是近期在公开市场上的交易价格;评估对象与参照物应当按照适当的比较单位进行比较,并按可比因素进行必要的调整;关注评估对象的权利状况,确信其与参照物的权利状况相同,否则需要进行必要的调整。
收益法又称收益资本化法或收益现值法,通过分析被评估资产的相关收入和成本费用,将未来收益折现或资本化为估算价值。收益法的理论基础在于预期原则,即资产的价值是由其预期的未来收益决定的。因此收益法通过对评估对象收益能力的分析确定其价值。
成本法、市场法和收益法作为资产评估的三大基本方法,反映了三种评估思路,每种评估方法又包括一些具体的运用方法。评估师在进行某项评估业务时,应当根据其经验和知识、当地的评估准则要求、市场要求、数据的可获得程度等综合网素,选取适宜的评估方法。评估师在选用某种评估方法进行评估时,应当考虑其他可以适用的评估方法。这样做可以给评估师提供一个系统的分析程序,以最终分析、调整不同评估方法得出结论。
对于不动产、动产、企业价值、金融资产等各种资产类型的评估项目而言,三种评估方法都是适用的。但不同类型的资产评估项目所获得的相关信息资料是不同的,分别反映了各类型资产在其相应市场上的特点。评估师应当收集、分析能够合理反映被评估资产价值的数据资料,在选取评估方法时应当充分考虑资料的可获得程度。
评估资产的市场价值时,如果评估方法运用得当,则所有评估市场价值的方法、技术和程序都会得出符合市场价值基本定义的评估结果。采用市价法进行评估时须根据市场观察得出结果;采用成本法确定建筑成本和损耗时,须根据对成本和应计损耗的市场化分析进行判断;采用收益法时须以市场认可的现金流和市场确定的回报率为基础。虽然需要根据数据的可获得程度以及与市场或资产本身相关的条件决定哪种评估方法最适用,但如果每种评估方法都是以市场数据为基础,采用以上任何评估方法都可以评估出资产的市场价值。

| 2007年注册资产评估师《财务会计》考试大纲 |
| 2007年注册资产评估师《经济法》考试大纲 |
| 2007年注册资产评估师《资产评估》考试大纲 |
| 2007年注册资产评估师《机电设备评估基础》考试大纲 |
| 2007年注册资产评估师《建筑工程评估基础》考试大纲 |
Copyright © 2000 - www.fawtography.com All Rights Reserved. 北京正保会计科技有限公司 版权所有
京B2-20200959 京ICP备20012371号-7 出版物经营许可证
京公网安备 11010802044457号
套餐D大额券
¥
去使用