目 录
第一章 财务管理总论
第一节 财务管理概述
第二节 财务管理的目标
第三节 财务管理的环境
第二章 风险与收益分析
第一节 风险与收益的基本原理
第二节 资产组合的风险与收益分析
第三节 证券市场理论
第三章 资金时间价值与证券评价
第一节 资金时间价值
第二节 普通股及其评价
第三节 债券及其评价
第四章 项目投资
第一节 投资概述
第二节 项目投资的现金流量分析
第三节 项目投资决策评价指标及其计算
第四节 项目投资决策评价指标的运用
第五章 证券投资
第一节 证券投资的目的、特点与程序
第二节 股票投资
第三节 债券投资
第四节 基金投资
第五节 衍生金融资产投资
第六章 营运资金
第一节 营运资金的含义与特点
第二节 现金的管理
第三节 应收账款的管理
第四节 存货的管理
第七章 筹资方式
第一节 企业筹资概述
第二节 权益性筹资
第三节 长期负债筹资
第四节 混合筹资
第五节 短期负债筹资
第八章 综合资金成本和资本结构
第一节 综合资金成本
第二节 杠杆原理
第三节 资本结构
第九章 收益分配
第一节 收益分配概述
第二节 股利政策
第三节 股利分配程序与方案
第四节 股票分割和股票回购
第十章 财务预算
第一节 财务预算体系介绍
第二节 财务预算的编制方法
第三节 现金预算与预计财务报表的编制
第十一章 财务成本控制
第一节 内部控制概述
第二节 财务控制
第三节 成本控制
第十二章 财务分析与业绩评价
第一节 财务分析的意义与内容
第二节 财务分析的方法
第三节 财务指标分析
第四节 业绩评价
第一章 财务管理总论
[基本要求]
(一)掌握财务管理的含义和内容
(二)掌握财务管理的目标
(三)熟悉财务管理的经济环境、法律环境和金融环境
(四)了解相关利益群体的利益冲突及协调方法
[考试内容]
第一节 财务管理概述
一、财务管理的含义和内容
企业财务,是指企业在生产经营过程中客观存在的资金运动及其所体现的经济利益关系。前者称为财务活动,后者称为财务关系。
财务管理,是企业组织财务活动、处理财务关系的一项综合性的管理工作。
(一)财务活动
企业的财务活动包括投资、资金营运、筹资和资金分配等一系列行为。
1.投资活动
投资,是指企业根据项目资金需要投出资金的行为。企业投资可分为广义的投资和狭义的投资两种。
广义的投资包括对外投资(如投资购买其他公司股票、债券,或与其他企业联营,或投资于外部项目)和内部使用资金(如购置固定资产、无形资产、流动资产等)。狭义的投资仅指对外投资。
2.资金营运活动
企业在日常生产经营活动中,会发生一系列的资金收付行为。首先,企业需要采购材料或商品,一边从事生产和销售活动,一边还要支付工资和其他营业费用;其次,当企业把商品或产品售出后,便可取得收入、收回资金;最后。如果资金不能满足企业经营需要,还要采取短期借款方式来筹集所需资金。为满足企业日常经营活动的需要而垫支的资金,称为营运资金。因企业日常经营而引起的财务活动,也称为资金营运活动。
3.筹资活动
筹资,是指企业为了满足投资和资金营运的需要,筹集所需资金的行为。
在筹资过程中,一方面,企业需要根据企业战略发展的需要和投资计划来确定各个时期企业总体的筹资规模,以保证投资所需的资金;另一方面,要通过筹资渠道、筹资方式或工具的选择,合理确定筹资结构,降低筹资成本和风险,提高企业价值。
4.资金分配活动
企业通过投资和资金营运活动可以取得相应的收入,并实现资金的增值。企业取得的各种收入在补偿成本、缴纳税金后,还应依据有关法律对剩余收益进行分配。广义的分配是指对企业各种收入进行分割和分派的行为;而狭义的分配仅指对企业净利润的分配。
(二)财务关系
企业资金的投放在投资活动、资金营运活动、筹资活动和资金分配活动中,与企业各方面有着广泛的财务关系。这些财务关系主要包括以下几个方面:
1.企业与投资者之间的财务关系,主要是企业的投资者向企业投入资金,企业向其投资者支付投资报酬所形成的经济关系。
2.企业与债权人之间的财务关系,主要是指企业向债权人借入资金,并按合同
的规定支付利息和归还本金所形成的经济关系。
3.企业与受资者之间的财务关系,主要是指企业以购买股票或直接投资的形式
向其他企业投资所形成的经济关系。
4.企业与债务人之间的财务关系,主要是指企业将其资金以购买债券、提供借款或商业信用等形式出借给其他单位所形成的经济关系。
5.企业与供货商、企业与客户之间的关系,主要是指企业购买供货商的商品或劳务,以及向客户销售商品或提供服务过程中形成的经济关系。
6.企业与政府之间的财务关系,政府作为社会管理者,通过收缴各种税款的方式与企业发生经济关系。
7.企业内部各单位之间的财务关系,是指企业内部各单位之间在生产经营各环节中互相提供产品或劳务所形成的经济关系。
8.企业与职工之间的财务关系,主要是指企业向职工支付劳动报酬过程中所形成的经济利益关系。
二、财务管理的环节
财务管理的环节,是指财务管理的工作步骤与一般工作程序。一般而言,企业财务管理包括五个环节:(1)规划和预测(2)财务决策(3)财务预算(4)财务控制(5)财务分析业绩评价与激励。
第二节 财务管理的目标
一、企业财务管理目标的含义和种类
企业财务管理目标是企业财务管理活动所希望实现的结果。企业财务管理目标有以下几种具有代表性的模式:
(一)利润最大化目标
利润最大化目标,就是假定在投资预期收益确定的情况下,财务管理行为将朝着有利于企业利润最大化的方向发展。
利润最大化目标在实践中存在以下难以解决的问题:(1)利润是指企业一定时期实现的税后净利润,它没有考虑资金的时间价值;(2)没有反映创造的利润与投入的资本之间的关系;(3)没有考虑风险因素,高额利润的获得往往要承担过大的风险,(4)片面追求利润最大化,可能会导致企业短期行为,与企业发展的战略目标相背离。
(二)每股收益最大化目标
每股收益,是企业实现的利润同投入资本或股本数的比值,可以反映投资者投入的资本获取回报的能力。因此,每股收益最大化目标是投资者进行投资决策时需要考虑的一个重要标准。但与利润最大化目标一样,该指标仍然没有考虑资金的时间价值和风险因素,也不能避免企业的短期行为,也会导致与企业发展的战略目标相背离。
(三)企业价值最大化目标
企业价值就是企业的市场价值,是企业所能创造的预计未来现金流量的现值。
企业价值最大化的财务管理目标,反映了企业潜在的或预期的获利能力和成长能力,其优点主要表现在:(1)该目标考虑了资金的时间价值和投资的风险;(2)该目标反映了对企业资产保值增值的要求;(3)该目标有利于克服管理上的片面性和短期行为;(4)该目标有利于社会资源合理配置。其主要缺点则是企业价值的确定比较困难,特别是对于非上市公司。
股东作为所有者在企业中承担着最大的义务和风险,债权人、职工、客户、供应商和政府也因为企业而承担了相当的风险。在确定企业的财务管理目标时,不能忽视这些相关利益群体的利益。企业价值最大化目标,就是在权衡企业相关者利益的约束下,实现所有者或股东权益的最大化。
二、利益冲突的协调
协调相关利益群体的利益冲突,要把握的原则是:力求企业相关利益者的利益分配均衡,也就是减少因各相关利益群体之间的利益冲突所导致的企业总体收益和价值的下降,使利益分配在数量上和时间上达到动态的协调平衡。
(一)所有者与经营者的矛盾与协调
经营者和所有者的主要矛盾,就是经营者希望在提高企业价值和股东财富的同时,能更多地增加享受成本;而所有者和股东则希望以较小的享受成本支出带来更高的企业价值或股东财富。协调所有者与经营者矛盾的主要方法有:(1)解聘;(2)接收;(3)激励。
(二)所有者与债权人的矛盾与协调
所有者的财务目标可能与债权人期望实现的目标发生矛盾。协调所有者与债权人矛盾的主要方法有:(1)附限制性条款的借款;(2)收回借款或停止借款。
第三节 财务管理的环境
财务管理环境又称理财环境,是指对企业财务活动和财务管理产生影响作用的企业内外各种条件的统称。
一、经济环境
财务管理的经济环境主要包括经济周期、经济发展水平和宏观经济政策。
(一)经济周期
市场经济条件下,经济的发展与运行带有一定的波动性,大体上要经历复苏、繁荣、衰退和萧条几个阶段的循环,这种循环就叫做经济周期。在不同的经济周期,企业应相应采取不同的财务管理策略。
(二)经济发展水平
近年来,我国的国民经济保持持续高速的增长,各项建设方兴未艾。这不仅给企业扩大规模、调整方向、打开市场以及拓宽财务活动的领域带来了机遇。同时,由于高速发展中的资金短缺将长期存在,又给企业财务管理带来严峻的挑战。因此,企业财务管理工作者必须积极探索与经济发展水平相适应的财务管理模式。
(三)宏观经济政策
我国经济体制改革的目标是建立社会主义市场经济体制,以进一步解放和发展生产力。在这个总目标的指导下,我国已经并正在进行财税体制、金融体制、外汇体制、外贸体制、计划体制、价格体制、投资体制、社会保障制度、企业会计准则体系等各项改革。所有这些改革措施,深刻地影响着我国的经济生活,也深刻地影响着我国企业的发展和财务活动的开展。
二、法律环境
财务管理的法律环境,主要包括企业组织形式及公司治理的规定和税收法规。
(一)企业组织形式与公司治理
企业按组织形式可分为独资企业、合伙企业和公司。
公司治理,是有关公司控制权和剩余索取权分配的一套法律,制度以及文化的安排。它涉及所有者、董事会和高级执行人员等之间权力分配和制衡关系。
(二)税法
税法,是由国家机关制定的、调整税收征纳关系及其管理关系的法律规范的总称。我国税法的构成要素主要包括:征税人、纳税义务人、课税对象、税目、税率、纳税环节、计税依据、纳税期限、纳税地点、减税免税、法律责任等。
三、金融环境
财务管理的金融环境,主要包括金融机构、金融工具、金融市场和利率四个方面。
(一)金融机构
社会资金从资金供应者手中转移到资金需求者手中,大多要通过金融机构。金融机构包括银行业金融机构和其他金融机构。
(二)金融工具
金融工具,是能够证明债权债务关系或所有权关系并据以进行货币资金交易的合法凭证,它对于交易双方所应承担的义务与享有的权利均具有法律效力。金融工具一般具有期限性、流动性、风险性和收益性四个基本特征。
(三)金融市场
金融市场,是指资金供应者和资金需求者双方通过金融工具进行交易的场所。
金融市场按组织方式的不同可划分为两个部分:一是有组织的、集中的场内交易市场即证券交易所,它是证券市场的主体和核心;二是非组织化的、分散的场外交易市场,它是证券交易所的必要补充。
(四)利率
利率也称利息率,是利息占本金的百分比指标。从资金的借贷关系看,利率是一定时期内运用资金资源的交易价格。
利率主要是由资金的供给与需求来决定。但除这两个因素之外,经济周期、通货膨胀、国家货币政策和财政政策、国际政治经济关系、国家对利率的管制程度等,对利率的变动均有不同程度的影响。因此,资金的利率通常由三个部分组成:(1)纯利率;(2)通货膨胀补偿率(或称通货膨胀贴水);(3)风险收益率。
第二章 风险与收益分析
[基本要求]
(一)掌握资产的风险与收益的含义
(二)掌握资产风险的衡量方法
(三)掌握资产组合总风险的构成及系统风险的衡量方法
(四)掌握资本资产定价模型及其运用
(五)熟悉风险偏好的内容
(六)了解套利定价理论
[考试内容]
第一节 风险与收益的基本原理
一、资产的收益与收益率
资产的收益,是指资产的价值在一定时期的增值。一般情况下,有两种表述资产收益的方式:一是以绝对数表示的资产价值的增值量,称为资产的收益额;二是以相对数表示的资产价值的增值率,称为资产的收益率或报酬率。
资产的收益额通常来源于两个部分:一是一定期限内资产的现金净收入;二是期末资产的价值(或市场价格)相对于期初价值(或市场价格)的升值。前者多为利息、红利或股息 收益,后者则称为资本利得。
资产的收益率通常是以百分比表示的,是资产增值量与期初资产价值(或价格)的比值,该收益率也包括两个部分:一是利(股)息的收益率;二是资本利得的收益率。
一般情况下,如果不作特殊说明的话,资产的收益均指资产的年收益率。
二、资产的风险
从财务管理的角度看,风险就是企业在各项财务活动中,由于各种难以预料或无法控制的因素作用,使企业的实际收益与预期收益发生背离,从而蒙受经济损失的可能性。
资产的风险,是指资产收益率的不确定性,其大小可用资产收益率的离散程度来衡量。资产收益率的离散程度,是指资产收益率的各种可能结果与预期收益率的偏差。
(一)风险的衡量
衡量风险的指标主要有收益率的方差、标准差和标准离差率等。
1.收益率的方差(σ2)
收益率的方差用来表示资产收益率的各种可能值与其期望值之间的偏离程度。其计算公式为:
式中,E(R)表示预期收益率,可用公式
来计算;Pi 是第i种可能情况发生的概率;Ri是在第i种可能情况下资产的收益率。
2.收益率的标准差(σ)
标准差也是反映资产收益率的各种可能值与其期望值之间的偏离程度的指标,它等于方差的开方。其计算公式为:

标准差和方差都是用绝对指标来衡量资产的风险大小,在预期收益率相同的情况,标准差或方差越大,则风险越大;标准差或方差越小,则风险也越小。标准差或方差指标衡量的是风险的绝对大小,因而不适用于比较具有不同预期收益率的资产的风险。
3.收益率的标准离差率(V )
标准离差率,是资产收益率的标准差与期望值之比,也可称为变异系数。其计算公式为:

标准离差率是一个相对指标,它表示某资产每单位预期收益中所包含的风险的大小。一般情况下,标准离差率越大,资产的相对风险越大;相反,标准离差率越小,资产的相对风险越小。标准离差率指标可以用来比较预期收益率不同的资产之间的风险大小。
上述三个表述资产风险的指标:收益率的方差(σ2)、标准差(σ)和标准离差率(V ) ,都是利用未来收益率发生的概率以及未来收益率的可能值来计算的。
当不知道或者很难估计未来收益率发生的概率以及未来收益率的可能值时,可以利用收益率的历史数据去近似地估算预期收益率及其标准差。其中,预期收益率可利用历史数据的算术平均值法等方法计算,标准差则可以利用下列统计学中的公式进行估算:
标准差
式中,Ri 表示样本数据中各期的收益率的历史数据;R是各历史数据的算术平均值;n 表示样本中历史数据的个数。
(二)风险控制对策
1.规避风险
当资产风险所造成的损失不能由该资产可能获得的收益予以抵消时,应当放弃该资产,以规避风险。
2.减少风险
减少风险主要包括两个方面:一是控制风险因素,减少风险的发生;二是控制风险发生的频率和降低风险损害程度。
3.转移风险
对可能给企业带来灾难性损失的资产,企业应以一定的代价,采取某种方式转移风险。
4.接受风险
接受风险包括风险自担和风险自保两种方式。风险自担,是指风险损失发生时,直接将损失摊入成本或费用,或冲减利润;风险自保,是指企业预留一笔风险金或随着生产经营的进行,有计划地计提资产减值准备等。
三、风险偏好
根据人们对风险的偏好将其分为风险回避者、风险追求者和风险中立者。
1.风险回避者
风险回避者选择资产的态度是:当预期收益率相同时,偏好于具有低风险的资产;而对于具有同样风险的资产,则钟情于具有高预期收益率的资产。
2.风险追求者
与风险回避者恰恰相反,风险追求者通常主动追求风险,喜欢收益的动荡胜于喜欢收益的稳定。他们选择资产的原则是:当预期收益相同时,选择风险大的,因为这会给他们带来更大的效用。
3.风险中立者
风险中立者通常既不回避风险,也不主动追求风险。他们选择资产的惟一标准是预期收益的大小,而不管风险状况如何。
第二节 资产组合的风险与收益分析
一、资产组合的风险与收益
(一)资产组合
两个或两个以上资产所构成的集合,称为资产组合。如果资产组合中的资产均为有价证券,则该资产组合也可称为证券组合。
(二)资产组合的预期收益率[E(RP)]
资产组合的预期收益率,就是组成资产组合的各种资产的预期收益率的加权平均数,其权数等于各种资产在整个组合中所占的价值比例。即:
式中,E(Ri)表示第i项资产的预期收益率;Wi表示第i项资产在整个组合中所占的价值比例。
(三)资产组合风险的度量
1.两项资产组合的风险
两项资产组合的收益率的方差满足以下关系式:
式中,σP表示资产组合的标准差,衡量资产组合的风险;σ1和 σ2分别表示组合中两项资产的标准差;W1和W2分别表示组合中两项资产所占的价值比例;P1,2反映两项资产收益率的相关程度,即两项资产收益率之间相对运动的状态,称为相关系数。理论上,相关系数处于区间[一1,1]内。
当P1,2=1时,表明两项资产的收益率具有完全正相关的关系,即它们的收益率变化方向和变化幅度完全相同,这时σ2P=(W1σ1+W2σ2)2,即σ2P达到最大。由此表明,组合的风险等于组合中各项资产风险的加权平均值。换句话说,当两项资产的收益率完全正相关时,两项资产的风险完全不能互相抵消,所以这样的资产组合不能降低任何风险。
当P1,2=—1时,表明两项资产的收益率具有完全负相关的关系,即它们的收益率变化方向和变化幅度完全相反。这时σ2P=(W1σ1—W2σ2)2,即σ2P达到最小,甚至可能是零。因此,当两项资产的收益率具有完全负相关关系时,两者之间的风险可以充分地相互抵消,甚至完全消除。因而,由这样的资产组成的组合就可以最大程度地抵消风险。
在实际中,两项资产的收益率具有完全正相关或完全负相关关系的情况几乎是不可能的。绝大多数资产两两之间都具有不完全的相关关系,即相关系数小于1 且大于一1 (多数情况下大于零)。因此,会有0<σP<(W1σ1+W2σ2),即资产组合的标准差小于组合中各资产标准差的加权平均,也即资产组合的风险小于组合中各资产风险之加权平均值,因此资产组合才可以分散风险。资产组合所分散掉的是由方差表示的各资产本身的风险,而由协方差表示的各资产收益率之间相互作用、共同运动所产生的风险,是不能通过资产组合来消除的。
2.多项资产组合的风险
一般来讲,由于每两项资产间具有不完全的相关关系,因此随着资产组合中资产个数的增加,资产组合的风险会逐渐降低。但当资产的个数增加到一定程度时,资产组合的风险程度将趋于平稳,这时资产组合风险的降低将非常缓慢直至不再降低。
那些只反映资产本身特性,由方差表示的各资产本身的风险,会随着组合中资产个数的增加而逐渐减小,当组合中资产的个数足够大时,这部分风险可以被完全消除。我们将这些可通过增加组合中资产的数目而最终消除的风险称为非系统风险。
而那些由协方差表示的各资产收益率之间相互作用、共同运动所产生的风险,并不能随着组合中资产数目的增加而消失,它是始终存在的。这些无法最终消除的风险被称为系统风险。
二、非系统风险与风险分散
非系统风险,又被称为企业特有风险或可分散风险,是指由于某种特定原因对某特定资产收益率造成影响的可能性。它是可以通过有效的资产组合来消除掉的风险;它是特定企业或特定行业所特有的,与政治、经济和其他影响所有资产的市场因素无关。对于特定企业而言,企业特有风险可进一步分为经营风险和财务风险。经营风险,是指因生产经营方面的原因给企业目标带来不利影响的可能性。财务风险,又称筹资风险,是指由于举债而给企业目标带来不利影响的可能性。
在风险分散的过程中,不应当过分夸大资产多样性和资产数目的作用。实际上,在资产组合中资产数目较少时,通过增加资产的数目,分散风险的效应会比较明显,但当资产的数目增加到一定程度时,风险分散的效应就会逐渐减弱。
三、系统风险及其衡量
系统风险,又被称为市场风险或不可分散风险,是影响所有资产的、不能通过资产组合来消除的风险。这部分风险是由那些影响整个市场的风险因素所引起的。这些因素包括宏观经济形势的变动、国家经济政策的变化、税制改革、企业会计准则改革、世界能源状况、政治因素等。
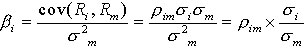
单项资产或资产组合受系统风险影响的程度,可以通过β系数来衡量。
(一)单项资产的β系数
单项资产的β系数,是指可以反映单项资产收益率与市场平均收益率之间变动关系的一个量化指标。它表示单项资产收益率的变动受市场平均收益率变动的影响程度。换句话说,就是相对于市场组合的平均风险而言,单项资产系统风险的大小。
β系数的定义式如下:
式中,Pim表示第i项资产的收益率与市场组合收益率的相关系数;σi是第i项资产收益率的标准差,表示该资产的风险大小;σm是市场组合收益率的标准差,表示市场组合的风险;σim 、σi 和 σm三个指标的乘积表示第i项资产收益率与市场组合收益率的协方差。
(二)市场组合及其风险的概念
市场组合,是指由市场上所有资产组成的组合。它的收益率就是市场平均收益率,实务中通常用股票价格指数的收益率来代替。而市场组合的方差则代表了市场整体的风险。由于包含了所有的资产,因此市场组合中的非系统风险已经被消除,所以市场组合的风险就是市场风险。
当某资产的β系数等于1 时,说明该资产的收益率与市场平均收益率呈同方向、同比例的变化,即如果市场平均收益率增加(或减少)1 % ,那么该资产的收益率也相应的增加(或减少)1 % ,也就是说,该资产的系统风险与市场组合的风险一致;当某资产的β系数小于1 时,说明该资产收益率的变动幅度小于市场组合收益率的变动幅度,因此其系统风险小于市场组合的风险;当某资产的β系数大于1 时,说明该资产收益率的变动幅度大于市场组合收益率的变动幅度,因此其系统风险大于市场组合的风险。
绝大多数资产的β系数是大于零的,即绝大多数资产收益率的变化方向与市场平均收益率的变化方向是一致的,只是变化幅度不同而导致β系数的不同;极个别资产的β系数是负数,表明这类资产的收益率与市场平均收益率的变化方向相反,当市场的平均收益增加时,这类资产的收益却在减少。
(三)资产组合的β系数
对于资产组合来说,其系统风险的大小也可以用β系数来衡量。资产组合的β系数是所有单项资产β系数的加权平均数,权数为各种资产在资产组合中所占的价值比例。其计算公式为:
式中,βp是资产组合的 系数;Wi为第i项资产在组合中所占的价值比重;βi表示第i项资产的β系数。
由于单项资产的β系数不尽相同,因此通过替换资产组合中的资产或改变不同资产在组合中的价值比例,可以改变资产组合的风险特性。
第三节 证券市场理论
在市场机制的作用下,证券市场自发地对各种证券的风险与收益进行动态调整最终实现风险和收益的均衡状态,并由此产生了证券市场理论。
一、风险与收益的一般关系
对于每项资产,投资者都会因承担风险而要求获得额外的补偿,其要求的最低收益率应该包括无风险收益率与风险收益率两部分。因此,对于每项资产来说,所要求的必要收益率可以用以下的模式来度量:
必要收益率=无风险收益率+风险收益率
式中,无风险收益率(通常用Rf表示)是纯利率与通货膨胀补贴率之和,通常用短期国债的收益率来近似的替代;风险收益率则表示因承担该项资产的风险而要求获得的额外补偿,其大小则视所承担风险的大小以及投资者对风险的偏好而定。
风险收益率可以表述为风险价值系数(b)与标准离差率(V)的乘积。即:
风险收益率=b×V
因此
必要收益率(R) = Rf+b×V
风险价值系数的大小取决于投资者对风险的偏好,对风险的态度越是回避,风险价值系数的值也就越大;反之则越小。标准离差率的大小则由该项资产的风险大小所决定。
二、资本资产定价模型
(一)资本资产定价模型(CAPM)
1.资本资产定价模型的基本原理
资本资产定价模型的主要内容是分析风险收益率的决定因素和度量方法,其核心关系式为:
R=Rf+β×(Rm一Rf)
式中,R表示某资产的必要收益率;β表示该资产的系统风险系数;Rf表示无风险收益率,通常以短期国债的利率来近似的替代;Rm表示市场平均收益率,通常用股票价格指数来代替。
公式中的(Rm一Rf)称为市场风险溢酬,它是附加在无风险收益率之上的,由于承担了市场平均风险所要求获得的补偿,它反映的是市场作为整体对风险的平均“容忍”程度。对风险的平均容忍程度越低,越厌恶风险,要求的收益率就越高,市场风险溢酬就越大;反之,市场风险溢酬则越小。
某项资产的风险收益率是市场风险溢酬与该资产的β系数的乘积。即:
风险收益率=β×(Rm一Rf)
2.证券市场线(SML)
如果把资本资产定价模型核心关系式中的系统风险系数(β)看作自变量,必要收益率(R)作为因变量,无风险利率(Rf)和市场风险溢酬(Rm一Rf)作为已知系数,那么这个关系式在数学上就是一个直线方程,叫做证券市场线。即关系式R=Rf+β×(Rm一Rf)所代表的直线。该直线的横坐标是β系数,纵坐标是必要收益率。
证券市场线上每个点的横、纵坐标分别对应着每一项资产(或资产组合)的系统风险系数和必要收益率。因此,证券市场上任意一项资产或资产组合的系统风险系数和必要收益率都可以在证券市场线上找到对应的一点。
3.资产组合的必要收益率
资产组合的必要收益率也可用证券市场线来描述:
资产组合的必要收益率=Rf+βp×(Rm一Rf)
式中,βp是资产组合的系统风险系数。
(二)资本资产定价模型的应用
1.证券市场线对证券市场的描述
市场风险溢酬(Rm一Rf)反映的是市场整体对风险的偏好,如果风险厌恶程度高,则市场风险溢酬的值就大,那么当某项资产的系统风险水平(用β表示)稍有变化时,就会导致该项资产的必要收益率以较大幅度变化;相反,如果多数市场参与者对风险的关注程度较小,那么资产的必要收益率受其系统风险的影响则较小。
当无风险收益率上涨而其他条件不变时,所有资产的必要收益率都会上涨同样的数量;反之,当无风险收益率下降且其他条件不变时,所有资产的必要收益率都会下降同样的数量。
2.证券市场线与市场均衡
资本资产定价模型认为,证券市场线是一条市场均衡线,市场在均衡的状态下,所有资产的预期收益都应该落在这条线上。也就是说,在均衡状态下,每项资产的预期收益率应该等于其必要收益率,其大小由证券市场线的核心公式来决定。
在资本资产定价模型的理论框架下,假设市场是均衡的,则资本资产定价模型还可以描述为:
预期收益率=必要收益率=Rf+β×(Rm一Rf)
3.资本资产定价模型的有效性和局限性
资本资产定价模型和证券市场线最大的贡献在于它描述了风险与收益之间的数量关系,首次将“高收益伴随着高风险”的直观认识,用简单的关系式表达出来。
但在实际运用中,该模型仍存在着一些明显的局限,主要表现在:(1)某些资产或企业的β值难以估计,对于那些缺乏历史数据的新兴行业而言尤其如此;(2 ) 即使有充足的历史数据可以利用,但由于经济环境的不确定性和不断变化,使得依据历史数据估算出来的β值对未来的指导作用大打折扣;(3)资本资产定价模型和证券市场线是建立在一系列假设之上的,其中一些假设与实际情况有较大的偏差。
三、套利定价理论
套利定价理论(APT ) ,也是讨论资产的收益率如何受风险因素影响的理论。所不同的是,套利定价理论认为资产的预期收益率并不是只受单一风险的影响,而是受若干个相互独立的风险因素,如通货膨胀率、利率、石油价格、国民经济的增长指标等的影响,是一个多因素的模型。
该模型的基本形式为:
E(R)=Rf*+b1λ1+b2λ2+…+bnλn
式中,E(R)表示某项资产的预期收益率;Rf*表示不包括通货膨胀因素的无风险收益率,即纯利率;bi表示风险因素i对该资产的影响程度,称为资产对风险因素i 的响应系数;λi表示风险因素i的预期收益率,即该资产由于承担风险因素i而预期获得的收益率。
第三章 资金时间价值与证券评价
[ 基本要求]
(一)掌握复利现值和终值的含义与计算方法
(二)掌握年金现值、年金终值的含义与计算方法
(三)掌握利率的计算,名义利率与实际利率的换算
(四)掌握股票收益率的计算,普通股的评价模型
(五)掌握债券收益率的计算,债券的估价模型
(六)熟悉现值系数、终值系数在计算资金时间价值中的运用
(七)熟悉股票和股票价格
(八)熟悉债券的含义和基本要素
[考试内容]
第一节 资金时间价值
一、资金时间价值的含义
资金时间价值,是指一定量资金在不同时点上的价值量差额。资金的时间价值来源于资金进入社会再生产过程后的价值增值。通常情况下,它相当于没有风险也没有通货膨胀情况下的社会平均利润率,是利润平均化规律发生作用的结果。
根据资金具有时间价值的理论,可以将某一时点的资金金额折算为其他时点的金额。
二、现值与终值的计算
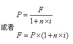
现值,是指未来某一时点上的一定量资金折算到现在所对应的金额,通常记作P0 终值又称为将来值,是现在一定量的资金折算到未来某一时点所对应的金额,通常记作F0
现值和终值概念可以适当推广。对于所分析的任意一段时间,资金在起始时刻的价值量都可以称为现值;资金在终了时刻的价值量都可以称为终值。一定量资金的终值与现值的差额即为资金的时间价值;连接现值和终值并实现两者相互折算的百分数称为折现率。现实生活中“本金”、“本利和”的说法相当于资金时间价值理论中的“现值”和“终值”概念,利息和利率类似于资金时间价值的绝对数和相对数形式,利率经常被当作折现率使用。现值和终值对应的时点之间可以划分为若干个计息周期。
(一)现值和终值的基本计算
利息的计算有单利和复利两种方式,在不同的计息方式下,现值和终值之间的数量关系不同。通常情况下,资金时间价值采用复利计息方式进行计算。
1.单利计息方式下现值与终值的关系


(二)年金现值和年金终值的计算
如果多期发生现金流,则每期现金流均按现值和终值的基本公式计算。多期现金流的一种特殊情况是,现金流入(或者流出)间隔的时间相同、金额相等,这种类型的系列现金流称为年金,每期流入(或流出)的金额用A表示。年金按其每次收付发生的时点不同,可分为普通年金、即付年金、递延年金、永续年金等。
1.普通年金的现值和终值的计算
普通年金又称后付年金,是指从第1期起,在一定时期内每期期末等额收付的系列款项。普通年金有时也简称年金。
(1)普通年金的现值计算公式与现值系数

2.即付年金现值系数和终值系数
即付年金又称先付年金,是指从第1 期起,在一定时期内每期期初等额收付的系列款项。即付年金与普通年金的区别在于,即付年金的收付行为发生在每期期初,而普通年金的收付行为发生在每期期末。
即付年金现值系数=(1+i)×普通年金现值系数
即付年金终值系数=(1+i)×普通年金终值系数
3.递延年金
如果在所分析的期间中,前m 期没有年金收付,从第m +1期开始形成普通年金,这种情况下的系列款项称为递延年金。计算递延年金的现值可以先计算普通年金现值,然后再将该现值视为终值,折算为第1期期初的现值。递延年金终值与普通年金终值的计算相同。
4.永续年金
普通年金的期数n 趋向于无穷大时形成永续年金。永续年金不计算终值。

(三)现值与终值系数表
显然,现值、终值系数的所有公式都只需要三个因素:计息方式、每期利率和期数。在复利计息方式下,由不同利率i和期数n 的组合计算出各种情况下的现值和终值系数,并依照一定顺序排列成复利现值系数表、复利终值系数表、年金现值系数表、年金终值系数表等。在计算资金的时间价值时,只需要根据i ,n 两个因素查询相应表格,即可获得有关现值系数和终值系数。
三、利率的计算
(一)复利计息方式下利率的计算
利率、现值(或者终值)系数之间存在一定的数量关系。已知现值(或者终值)
系数,则可以通过内插法公式计算出对应的利率:

1.若已知复利现值(或者终值)系数B 以及期数n可以查“复利现值(或者终值)系数表”,找出与已知复利现值(或者终值)系数最接近的两个系数及其对应的利率,按内插法公式计算出利率。
2.若已知年金现值(或者终值)系数B 以及期数几可以查“年金现值(或者终值)系数表”,找出与已知年金现值(或者终值)系数最接近的两个系数及其对应的利率,按内插法公式计算出利率。
3.永续年金的利率可以通过公式,
计算得出。
(二)名义利率与实际利率
如果以“年”作为基本计息期,每年计算一次复利,这种情况下的年利率为名义利率。如果按照短于1 年的计息期计算复利,并将全年利息额除以年初的本金,此时得到的利率则为实际利率。名义利率与实际利率的换算关系如下:

式中,i实际利率;r名义利率;m为每年复利次数。
第二节 普通股及其评价
一、股票与股票收益率
(一)股票的价值与价格
股票,是股份公司发行的、用以证明投资者的股东身份和权益,并据以获得股利的一种可转让的证明。
1.股票的价值形式
股票的价值形式有票面价值、账面价值、清算价值和市场价值。
2.股票的价格
股票价格有广义和狭义之分。狭义的股票价格就是股票交易价格;广义的股票价格则包括股票的发行价格和交易价格两种形式。股票交易价格具有事先的不确定性和市场性特点。
3.股价指数
股价指数,是指金融机构通过对股票市场上一些有代表性的公司发行的股票价格进行平均计算和动态对比后得出的数值,它是用以表示多种股票平均价格水平及其变动,并权衡股市行情的指标。股价指数的计算方法有简单算术平均法、综合平均法、几何平均法和加权综合法等。
(二)股票的收益率
股票的收益,是指投资者从购入股票开始到出售股票为止整个持有期间的收入,由股利和资本利得两方面组成。
股票收益率是股票收益额与购买成本之比。为便于与其他年度收益指标相比较,可折算为年均收益率。股票收益率主要有本期收益率、持有期收益率两种。
本期收益率,是指股份公司上年派发的现金股利与本期股票价格的比率,反映了以现行价格购买股票的预期收益情况。

式中,年现金股利是指上年发放的每股股利;本期股票价格是指该股票当日证券市场收盘价。
持有期收益率,是指投资者买入股票持有一定时期后又将其卖出,在投资者持有该股票期间的收益率,反映了股东持有股票期间的实际收益情况。
如投资者持有股票的时间不超过1 年,不考虑复利计息问题,其持有期收益率可按如下公式计算:

二、普通股的评价模型
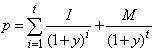
普通股的价值(内在价值)是由普通股产生的未来现金流量的现值决定的,股票给持有者带来的未来现金流入包括两部分:股利收入和股票出售时的资本利得。股票的价值由一系列的股利和将来出售股票时进、售价的差额所构成。其基本计算公式是:
式中,P 是股票价值;Rt是股票第t年产生的现金流入量(包括股利收入、卖出股票的资本利得);K是折现率;n是持有年限。
(一)股利固定模型
如果长期持有股票,且各年股利固定,其支付过程即为一个永续年金,则该股票价值的计算公式为:
式中,D为各年收到的固定股息;其他符号的含义与基本公式相同。
(二)股利固定增长模型
从理论上看,企业的股利不应当是固定不变的,而应当是不断增长的。假定企业长期持有股票,且各年股利按照固定比例增长,则股票价值计算公式为:
(三)三阶段模型
在现实生活中,有的公司股利是不固定的。如果预计未来一段时间内股利将高速增长,接下来的时间则为正常固定增长或者固定不变,则可以分别计算高速增长、正常固定增长、固定不变等各阶段未来收益的现值,各阶段现值之和就是股利非固定增长情况下的股票价值。

(四)普通股评价模型的局限性
1.未来经济利益流入量的现值只是决定股票价值的基本因素而不是全部因素,其他很多因素(如投机行为等)可能会导致股票的市场价格大大偏离根据模型计算得出的价值。
2.模型对未来期间股利流入量预测数的依赖性很强,而这些数据很难准确预测。股利固定不变、股利固定增长等假设与现实情况可能存在一定差距。
3.股利固定模型、股利固定增长模型的计算结果受D0 或Dl 的影响很大,而这两个数据可能具有人为性、短期性和偶然性,模型放大了这些不可靠因素的影响力。
4.折现率的选择有较大的主观随意性。
第三节 债券及其评价
一、债券及其构成要素
债券,是债务人依照法定程序发行, 承诺按约定的利率和日期支付利息,并在特定日期偿还本金的书面债务凭证。
一般而言,债券包括面值、期限、利率和价格等基本要素。
二、债券的评价
(一)债券的估价模型
债券的估价是对债券在某一时点的价值量的估算,是债券评价的一项重要内容。对于新发行的债券而言,估价模型的计算结果反映了债券的发行价格。
1.债券估价的基本模型
债券估价的基本模型,是指对典型债券所使用的估价模型,典型债券是票面利率固定,每年年末计算并支付当年利息、到期偿还本金的债券。这种情况下,新发行债券的价值可采用如下模型进行评定:

式中符号的含义与债券估价的基本模型相同。
(二)债券收益的来源及影响收益率的因素
债券的收益主要包括两方面的内容:一是债券的利息收入;二是资本损益,即债券买入价与卖出价(在持有至到期的情况下为到期偿还额)之间的差额,当卖出价高于买入价时为资本收益,反之为资本损失。此外,有的债券还可能因参与公司盈余分配,或者拥有转股权而获得额外收益。
决定债券收益率的因素主要有债券票面利率、期限、面值、持有时间、购买价格和出售价格。
(三)债券收益率的计算
1.票面收益率
票面收益率又称名义收益率或息票率,是印制在债券票面上的固定利率,通常是债券年利息收入与债券面值的比率,其计算公式为:

票面收益率反映了债券按面值购入、持有至期满所获得的收益水平。
2.本期收益率
本期收益率又称直接收益率、当前收益率,是指债券的年实际利息收入与买入债券的实际价格的比率,其计算公式为:

本期收益率反映了购买债券的实际成本所带来的收益情况,但与票面收益率一样,不能反映债券的资本损益情况。
3.持有期收益率
持有期收益率,是指债券持有人在持有期间获得的收益率,能综合反映债券持有期间的利息收入情况和资本损益水平。其中,债券的持有期是指从购入债券至售出债券或者债券到期清偿之间的期间,通常以“年”为单位表示(持有期的实际天数除以360)。根据债券持有期长短和计息方式不同,债券持有期收益率的计算公式存在差异。债券持有期收益率可以根据具体情况换算为年均收益率。
(1)持有时间较短(不超过1年)的,直接按债券持有期间的收益额除以买入价计算持有期收益率:
式中,P为债券买入价;M为债券到期兑付的金额或者提前出售时的卖出价;t为债券实际持有期限(年),等于债券买入交割日至到期兑付日或卖出交割日之间的实际天数除以360。
每年年末支付利息的债券:
式中,P为债券买入价;y为债券持有期年均收益率;I为持有期间每期收到的利息额;M为债券兑付的金额或者提前出售的卖出价;t为债券实际持有期限(年)。
第四章 项目投资
[ 基本要求]
(一)掌握企业投资的类型、程序和应遵循的原则
(二)掌握单纯固定资产投资项目和完整工业项目现金流量的内容
(三)掌握流动资金投资、经营成本和调整所得税的具体估算方法
(四)掌握净现金流量的计算公式和各种典型项目净现金流量的简化计算方法
(五)掌握静态投资回收期、净现值、内部收益率的含义、计算方法及其优缺点
(六)掌握完全具备、基本具备、完全不具备或基本不具备财务可行性的判断标准和应用技巧
(七)掌握净现值法、净现值率法、差额投资内部收益率法、年等额净回收额法和计算期统一法在多方案比较决策中的应用技巧和适用范围
(八)熟悉运营期自由现金流量和经营期净现金流量构成内容;熟悉项目资本金现金流量表与项目投资现金流量表的区别
(九)熟悉动态评价指标之间的关系
(十)了解互斥方案决策与财务可行性评价的关系;了解多方案组合排队投资决策
[考试内容]
第一节 投资概述
一、投资的含义和种类
投资,是指特定经济主体(包括国家、企业和个人)为了在未来可预见的时期内获得收益或使资金增值,在一定时机向一定领域的标的物投放足够数额的资金或实物等货币等价物的经济行为。从特定企业角度看,投资就是企业为获取收益而向一定对象投放资金的经济行为。
投资按不同标志可分为以下类型:
1.按照投资行为的介入程度,分为直接投资和间接投资。
2.按照投入的领域不同,分为生产性投资和非生产性投资。
3.按照投资的方向不同,分为对内投资和对外投资。
4.按照投资的内容不同,分为固定资产投资、无形资产投资、其他资产投资、流动资产投资、房地产投资、有价证券投资、期货与期权投资、信托投资和保险投资等多种形式。
二、投资的程序
企业投资的程序主要包括以下步骤:(1)提出投资领域和投资对象;(2)评价投资方案的财务可行性;(3)投资方案比较与选择;(4)投资方案的执行;(5)投资方案的再评价。
三、投资决策应遵循的原则
企业投资决策应遵循以下原则:(1)综合性原则;(2)可操作性原则;(3)相
关性和准确性原则;(4)实事求是的原则;(5)科学性原则。
第二节 项目投资的现金流量分析
一、项目投资的特点与项目计算期的构成
(一)项目投资的特点
项目投资是一种以特定建设项目为对象,直接与新建项目或更新改造项目有关的长期投资行为。本章所介绍的工业企业投资项目主要包括新建项目(含单纯固定资产投资项目和完整工业投资项目)和更新改造项目两种类型。
与其他形式的投资相比,项目投资具有投资内容独特(每个项目都至少涉及一项固定资产投资)、投资数额多、影响时间长(至少一年或一个营业周期以上)、发生频率低、变现能力差和投资风险大的特点。
(二)项目计算期的构成
项目计算期,是指投资项目从投资建设开始到最终清理结束整个过程的全部时间,包括建设期和运营期(具体又包括投产期和达产期)。其中,建设期,是指项目资金正式投入开始到项目建成投产为止所需要的时间,建设期的第一年初称为建设起点,建设期的最后一年末称为投产日。在实践中,通常应参照项目建设的合理工期或项目的建设进度计划合理确定建设期。项目计算期的最后一年年末称为终结点,假定项目最终报废或清理均发生在终结点(但更新改造除外)。从投产日到终结点之间的时间间隔称为运营期,又包括试产期和达产期(完全达到设计生产能力)两个阶段。试产期是指项目投入生产,但生产能力尚未完全达到设计能力时的过渡阶段。达产期,是指生产运营达到设计预期水平后的时间。运营期一般应根据项目主要设备的经济使用寿命期确定。
项目计算期、建设期和运营期之间存在以下关系:
项目计算期=建设期+运营期
二、项目投资的内容与资金投入方式
(一)项目投资的内容
从项目投资的角度看,原始投资(又称初始投资)等于企业为使该项目完全达到设计生产能力、开展正常经营而投入的全部现实资金,包括建设投资和流动资金投资两项内容。
建设投资,是指在建设期内按一定生产经营规模和建设内容进行的投资,具体包括固定资产投资、无形资产投资和其他资产投资三项内容。
固定资产投资,是指项目用于购置或安装固定资产应当发生的投资。固定资产原值与固定资产投资之间的关系如下:
固定资产原值=固定资产投资+建设期资本化借款利息
项目总投资是反映项目投资总体规模的价值指标,等于原始投资与建设期资本化利息之和。
(二)项目投资的资金投入方式
项目投资的投入方式包括一次投入和分次投入两种形式。一次投入方式是指投资行为集中一次发生在项目计算期第一个年度的年初或年末;如果投资行为涉及两个或两个以上年度,或虽然只涉及一个年度但同时在该年的年初和年末发生,则属于分次投入方式。
三、项目投资现金流量分析
项目投资决策中的现金是指区别于观念货币的现实货币资金,现金流量是指投资项目在其计算期内因资本循环而可能或应该发生的各项现金流入量与现金流出量的统称。
(一)现金流量的内容
1.单纯固定资产投资项目的现金流量
单纯固定资产投资项目,是指只涉及固定资产投资而不涉及无形资产投资、其他资产投资和流动资金投资的建设项目。它以新增生产能力,提高生产效率为特征。其现金流入量包括增加的营业收入和回收固定资产余值等内容;现金流出量包括固定资产投资、新增经营成本和增加的各项税款等内容。
2.完整工业投资项目的现金流量
完整工业投资项目简称新建项目,是以新增工业生产能力为主的投资项目,其投资内容不仅包括固定资产投资,而且还包括流动资金投资的建设项目。
(1)现金流入量:营业收入、补贴收入、回收固定资产余值和回收流动资金。
(2)现金流出量:建设投资、流动资金投资、经营成本、营业税金及附加、维持运营投资和调整所得税。
3.固定资产更新改造投资项目的现金流量
固定资产更新改造投资项目,可分为以恢复固定资产生产效率为目的的更新项目和以改善企业经营条件为目的的改造项目两种类型。
(1 )现金流入量:因使用新固定资产而增加的营业收入、处置旧固定资产的变现净收入和新旧固定资产回收固定资产余值的差额等内容。
(2)现金流出量:购置新固定资产的投资、因使用新固定资产而增加的经营成本、因使用新固定资产而增加的流动资金投资和增加的各项税款等内容。其中,因提前报废旧固定资产所发生的清理净损失而发生的抵减当期所得税额用负值表示。
(二)完整工业投资项目现金流量的估算
在估算现金流量时,为防止多算或漏算有关内容,需要注意:(1)必须考虑现金流量的增量;(2)尽量利用现有的会计利润数据;(3)不能考虑沉没成本因素;(4)充分关注机会成本;(5)考虑项目对企业其他部门的影响。
1.现金流入量的估算
(1)营业收入是经营期最主要的现金流入量,应按项目在经营期内有关产品的各年预计单价和预测销售量(假定经营期每期均可以自动实现产销平衡)进行估算。
(2)补贴收入是与经营期收益有关的政府补贴,可根据按政策退还的增值税、按销量或工作量分期计算的定额补贴和财政补贴等予以估算。
(3)在终结点上一次回收的流动资金等于各年垫支的流动资金投资额的合计数。回收流动资金和回收固定资产余值统称为回收额,假定新建项目的回收额都发生在终结点。
2.现金流出量的估算
(1)建设投资的估算
固定资产投资是所有类型的项目投资在建设期必然会发生的现金流出量,应按项目规模和投资计划所确定的各项建筑工程费用、设备购置费用、安装工程费用和其他费用来估算。
在估算构成固定资产原值的资本化利息时,可根据长期借款本金、建设期年数和借款利息率按复利计算,且假定建设期资本化利息只计入固定资产的原值。
(2)流动资金投资的估算
在项目投资决策中,流动资金是指在运营期内长期占用并周转使用的营运资金。估算可按下式进行:
本年流动资金投资额(垫支数)=本年流动资金需用数-截止上年的流动资金投资额
或=本年流动资金需用数-上年流动资金实有数
本年流动资金需用数=该年流动资金需用数-该年流动负债可用数
上式中的流动资产只考虑存货、现实货币现金、应收账款和预付账款等项内容;流动负债只考虑应付账款和预收账款。
为简化计算,我国有关建设项目评估制度假定流动资金投资可从投产第一年开始安排。因此,投产第一年所需的流动资金应在项目投产前安排。
(3)经营成本的估算
经营成本付现的营运成本(或简称付现成本),是指在经营期内为满足正常生产经营而动用现实货币资金支付的成本费用。经营成本是所有类型的项目投资在运营期都要发生的主要现金流出量,它与融资方案无关。其估算公式如下:
某年经营成本=该年外购原材料、燃料和动力费十该年工资及福利费+该年修理费+该年其他费用
上式中,其他费用是指从制造费用、管理费用和营业费用中扣除了折旧费、摊销费、修理费、工资及福利费以后的剩余部分。
(4)营业税金及附加的估算
在项目投资决策中,应按在运营期内应交纳的营业税、消费税、土地增值税、资源税、城市维护建设税和教育费附加等估算。
(5)维持运营投资的估算
本项投资是指矿山、油田等行业为维持正常运营而需要在运营期投入的固定资产投资,应根据特定行业的实际需要估算。
(6)调整所得税的估算
为了简化计算,调整所得税等于息税前利润与适用的企业所得税税率的乘积。
3.关于增值税因素的估算
增值税属于价外税,在估算项目投资的现金流量时,实践中可分别采取两种方式处理:
第一种方式是销项税额不作为现金流入项目,进项税额和应交增值税也不作为现金流出项目处理。这种方式的优点是比较简单,也不会影响净现金流量的计算,但不利于城市维护建设税和教育费附加的估算。
第二种方式是将销项税额单独列作现金流入量,同时分别把进项税额和应交增值税分别列作现金流出量。这种方式的优点是有助于城市维护建设税和教育费附加的估算。
(三)净现金流量的确定
1.净现金流量的含义
净现金流量又称现金净流量,是指在项目计算期内由每年现金流入量与同年现金流出量之间的差额所形成的序列指标。其计算公式为:
某年净现金流量=该年现金流入量一该年现金流出量
净现金流量又包括所得税前净现金流量和所得税后净现金流量两种形式。其中,所得税前净现金流量不受融资方案和所得税政策变化的影响,是全面反映投资项目方案本身财务盈利能力的基础数据。计算时,现金流出量的内容中不包括调整所得税因素;所得税后净现金流量则将所得税视为现金流出,可用于评价在考虑融资条件下项目投资对企业价值所作的贡献。可以在所得税前净现金流量的基础上,直接扣除调整所得税求得。
2.现金流量表及其特点
在项目投资决策中使用的现金流量表,是用于全面反映某投资项目在其未来项目计算期内每年的现金流入量和现金流出量的具体构成内容,以及净现金流量水平的分析报表。它与财务会计的现金流量表的区别有:反映对象不同;期间特征不同;勾稽关系不同;信息属性不同。
现金流量表包括“项目投资现金流量表”、“项目资本金现金流量表”和“投资各方现金流量表”等不同形式。
项目投资现金流量表要详细列示所得税前净现金流量、累计所得税前净现金流量、所得税后净现金流量和累计所得税后净现金流量,并要求根据所得税前后的净现金流量分别计算两套内部收益率、净现值和投资回收期指标。
与全部投资的现金流量表相比,项目资本金现金流量表的现金流入项目没有变化,但现金流出项目不同,其具体内容包括:项目资本金投资、借款本金偿还、借款利息支付、经营成本、销售税金及附加、所得税和维持运营投资等。此外,该表只计算所得税后净现金流量,并据此计算资本金内部收益率指标。
四、项目投资净现金流量的简化计算方法
(一)单纯固定资产投资项目
建设期某年的净现金流量=一该年发生的固定资产投资额
运营期某年所得税前净现金流量=该年因使用该固定资产新增的息税前利润+该年因使用该固定资产新增的折旧+该年回收的固定资产净残值
运营期某年所得税后净现金流量=运营期某年所得税前净现金流量-该年因使用该固定资产新增的所得税
(二)完整工业投资项目
建设期某年净现金流量=一该年原始投资额
如果项目在运营期内不追加流动资金投资,则完整工业投资项目的运营期所得税前净现金流量可按以下简化公式计算:
运营期某年所得税前净现金流量=该年息税前利润+该年折旧+该年摊销+该年回收额-该年维持营运投资
完整工业投资项目的运营期所得税后净现金流量可按以下简化公式计算:
运营期某年所得税后净现金流量(NCFt )=该年息税前利润×(1-所得税税率)+该年折旧+该年摊销+该年回收额-该年维持营运投资=该年自由现金流量
所谓运营期自由现金流量,是指投资者可以作为偿还借款利息、本金、分配利润、对外投资等财务活动资金来源的净现金流量。
如果不考虑维持运营投资,而且回收额为零,则运营期所得税后净现金流量又称为经营净现金流量。按照有关回收额均发生在终结点上的假设,经营期内回收额不为零时的所得税后净现金流量亦称为终结点所得税后净现金流量;显然终结点所得税后净现金流量等于终结点那一年的经营净现金流量与该期回收额之和。
(三)更新改造投资项目
建设期某年净现金流量=-(该年发生的新固定资产投资-该年旧固定资产变价净收入)
建设期末的净现金流量=因旧固定资产提前报废发生净损失而抵减的所得税额
如果建设期为零,则运营期所得税后净现金流量的简化公式为:
运营期第一年净现金流量=该年因更新改造而增加的息税前利润+该年因更新改造而增加的折旧额+因旧固定资产提前报废发生净损失而抵减的所得税额
运营期第一年所得税后净现金流量=该年因更新改造而增加的息税前利润×(1 一所得税税率)+该年因更新改造而增加的折旧额+因旧固定资产提前报废发生净损失而抵减的所得税额
运营期其他各年所得税后净现金流量=该年因更新改造而增加的息税前利润×(1 一所得税税率)+该年因更新改造而增加的折旧额+该年回收新固定资产净残值超过假定继续使用的旧固定资产净残值之差额
第三节 项目投资决策评价指标及其计算
一、投资决策评价指标及其类型
投资决策评价指标,是指用于衡量和比较投资项目可行性,以便据以进行方案决策的定量化标准与尺度。从财务评价的角度,投资决策评价指标主要包括静态投资回收期、投资收益率、净现值、净现值率、获利指数、内部收益率。
评价指标可以按以下标准进行分类:
1.按照是否考虑资金时间价值分类,可分为静态评价指标和动态评价指标。前者是指在计算过程中不考虑资金时间价值因素的指标,包括投资收益率和静态投资回收期;后者是指在指标计算过程中充分考虑和利用资金时间价值的指标。
2.按指标性质不同,可分为在一定范围内越大越好的正指标和越小越好的反指标两大类。只有静态投资回收期属于反指标。
3.按指标在决策中的重要性分类,可分为主要指标、次要指标和辅助指标。净现值、内部收益率等为主要指标;静态投资回收期为次要指标;投资收益率为辅助指标。
二、静态评价指标的含义、计算方法及特点
(一)静态投资回收期
1.静态投资回收期的计算
静态投资回收期(简称回收期),是指以投资项目经营净现金流量抵偿原始总投资所需要的全部时间。它有“包括建设期的投资回收期(PP ) ”和“不包括建设期的投资回收期(PP,) ”两种形式。确定静态投资回收期指标可分别采取公式法和列表法。
(1)公式法
如果某一项目的投资均集中发生在建设期内,投产后一定期间内每年经营净现金流量相等,且其合计大于或等于原始投资额,可按以下简化公式直接求出不包括建设期的投资回收期:

包括建设期的投资回收期(PP ) =不包括建设期的投资回收期+建设期
(2)列表法
所谓列表法,是指通过列表计算“累计净现金流量”的方式,来确定包括建设期的投资回收期,进而再推算出不包括建设期的投资回收期的方法。因为不论在什么情况下,都可以通过这种方法来确定静态投资回收期,所以此法又称为一般方法。
该法的原理是:按照回收期的定义,包括建设期的投资回收期满足以下关系式,即:

这表明在财务现金流量表的“累计净现金流量”一栏中,包括建设期的投资回收期恰好是累计净现金流量为零的年限。
无法在“累计净现金流量”栏上找到零,必须按下式计算包括建设期的投资回收期:
包括建设期的投资回收期(PP)=最后一项为负值的累计净现金流量对应的年数+最后一项为负值的累计净现金流量绝对值÷下年净现金流量
或:=累计净现金流量第一次出现正值的年份-1+该年初尚未回收的投资÷该年净现金流量
2.静态投资回收期的特点
静态投资回收期的优点是能够直观地反映原始总投资的返本期限,便于理解,计算也比较简单,可以直接利用回收期之前的净现金流量信息。缺点是没有考虑资金时间价值因素和回收期满后继续发生的现金流量,不能正确反映投资方式不同对项目的影响。只有静态投资回收期指标小于或等于基准投资回收期的投资项目才具有财务可行性。
(二)投资收益率
1.投资收益率的计算
投资收益率(ROI ) ,又称投资报酬率,是指达产期正常年份的年息税前利润或运营期年均息税前利润占投资总额的百分比。其计算公式为:
投资利润率(ROI)=年息税前利润或年均息税前利润/投资总额×100%
2.投资收益率的特点
投资收益率的优点是计算公式最为简单;缺点是没有考虑资金时间价值因素,不能正确反映建设期长短及投资方式不同和回收额的有无对项目的影响,分子、分母计算口径的可比性较差,无法直接利用净现金流量信息。只有投资收益率指标大于或等于无风险投资收益率的投资项目才具有财务可行性。
三、动态评价指标的含义、计算方法及特点
(一)净现值
1.净现值的计算
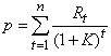
净现值(NPV),是指在项目计算期内,按设定折现率或基准收益率计算的各年净现金流量现值的代数和。其基本计算公式为:
式中,i为行业基准收益率。
计算净现值指标具体有一般方法、特殊方法和插入函数法三种方法。
(1)净现值指标计算的一般方法
具体包括公式法和列表法两种形式。
公式法。本法是指根据净现值的定义,直接利用理论计算公式来完成该指标计算的方法。
列表法。本法是指通过现金流量表计算净现值指标的方法。即在现金流量表上,根据已知的各年净现金流量,分别乘以各年的复利现值系数,从而计算出各年折现的净现金流量,最后求出项目计算期内折现的净现金流量的代数和,就是所求的净现值指标。
(2)净现值指标计算的特殊方法
本法是指在特殊条件下,当项目投产后净现金流量表现为普通年金或递延年金时,可以利用计算年金现值或递延年金现值的技巧直接计算出项目净现值的方法,又称简化方法。
由于项目各年的净现金流量NCFt = (t=0 , 1 ,… ,n)属于系列款项,所以当项目的全部投资均于建设期投入,运营期不再追加投资,投产后的经营净现金流量表现为普通年金或递延年金的形式时,就可视情况不同分别按不同的简化公式计算净现值指标。
当建设期为零,投产后的净现金流量表现为普通年金形式时,公式为:
NPV=NCF0+NCF1~n×(P/A,i,n)
当建设期为零,投产后每年经营净现金流量(不含回收额)相等,但终结点第n 年有回收额Rn(如残值)时,公式为:
NPV=NCF0+NCF1~(n-1)×(P/A,i,n-1)+NCFn×(P/F,i,n)
或 NPV=NCF0+NCF1~n×(P/A,i,n)+Rn×(P/F,i,n)
当建设期不为零,全部投资在建设起点一次投入,投产后每年净现金流量为递延年金形式时,公式为:
NPV=NCF0+NCF(n+1)~n+s×[(P/A,i,n+s)-(P/F,i,n)]
或 NPV=NCF0+NCF(n+1)~n+s×(P/A,i,n)×(P/F,i,s)
当建设期不为零,全部投资在建设起点分次投入,投产后每年净现金流量为递延年金形式时,公式为:
NPV=NCF0+NCF1×(P/F,i,1)+…+NCFn×(P/F,i,s)+NCF(n+1)~n+s×[(P/A,i,n+s)-(P/F,i,s)]
(3)净现值指标计算的插入函数法
本法是指运用Windows系统的Excel 软件,通过插入财务函数“NPV ” ,并根据计算机系统的提示正确地输入已知的基准折现率和电子表格中的净现金流量,来直接求得净现值指标的方法。
当第一次原始投资发生在建设起点时,按插入函数法计算出来的净现值与按其他两种方法计算的结果有一定误差,但可以按一定方法将其调整正确。
2.净现值的特点
净现值指标的优点是综合考虑了资金时间价值、项目计算期内的全部净现金流量和投资风险;缺点是无法从动态的角度直接反映投资项目的实际收益率水平,而且计算比较繁琐。
只有净现值指标大于或等于零的投资项目才具有财务可行性。
(二)净现值率
1.净现值率的计算
净现值率(NPVR ) ,是指投资项目的净现值占原始投资现值总和的百分率。其计算公式为:
净现值率(NPVR)=项目的净现值\原始投资的现值合计×100%
2.净现值率的特点
净现值率指标的优点是可以从动态的角度反映项目投资的资金投入与净产出之间的关系,计算过程比较简单;缺点是无法直接反映投资项目的实际收益率。
只有净现值率指标大于或等于零的投资项目才具有财务可行性。
(三)获利指数
1.获利指数计算
获利指数(PD ),是指投产后按基准收益率或设定折现率折算的各年净现金流量的现值合计与原始投资的现值合计之比。其计算公式为:
获利指数(Pl ) =投产后各年净现金流量的现值合计\原始投资的现值合计= 1 +净现值率
2.获利指数的特点
获利指数指标的优点是可以从动态的角度反映项目投资的资金投入与总产出之间的关系;缺点是除了无法直接反映投资项目的实际收益率外,计算也相对复杂。
只有获利指数指标大于或等于1 的投资项目才具有财务可行性。
(四)内部收益率
1.内部收益率的计算
内部收益率(IRR ) ,是指项目投资实际可望达到的收益率。实质上,它是能使项目的净现值等于零时的折现率。IRR 满足下列等式:
计算内部收益率指标具体有特殊方法、一般方法和插入函数法三种方法。
(1)内部收益率指标计算的特殊方法
本法又称为简便算法,应用它的条件十分苛刻,只有当项目投产后的净现金流量表现为普通年金的形式时才可以直接利用年金现值系数计算内部收益率,公式为:
必要时还需要应用内插法。
(2)内部收益率指标计算的一般方法
本法就是采用逐次测试逼近法结合应用内插法的方法。
(3)内部收益率指标计算的插入函数法
本法是指运用Windows 系统的Excel 软件,通过插入财务函数“IRR ”,并根据计算机系统的提示正确地输入已知的电子表格中的净现金流量,来直接求得内部收益率指标的方法。
按插入函数法计算的结果不可能与其他方法计算的结果一致,也无法调整。
2.内部收益率的特点
内部收益率指标的优点是既可以从动态的角度直接反映投资项目的实际收益水平,又不受基准收益率高低的影响,比较客观;缺点是计算过程复杂,尤其当经营期大量追加投资时,又有可能导致多个内部收益率出现,或偏高或偏低,缺乏实际意义。
只有内部收益率指标大于或等于基准收益率或资金成本的投资项目才具有财务可行性。
(五)动态指标之间的关系
净现值、净现值率、获利指数和内部收益率指标之间存在同方向变动关系。即:
1.当净现值>0 时,净现值率>0 ,获利指数>1 ,内部收益率润霞准收益率;
2.当净现值=0 时,净现值率=0 ,获利指数=1 ,内部收益率=基准收益率;
3.当净现值<0 时,净现值率<仪获利指数<1 ,内部收益率侧霞准收益率。
第四节 项目投资决策评价指标的运用
一、独立方案财务可行性评价及投资决策
独立方案是指一组互相分离、互不排斥的方案。在独立方案中,选择某一方案并不排斥选择另一方案。
评价独立方案财务可行性的要点包括:
1.判断方案是否完全具备财务可行性的条件
如果某一投资方案的所有评价指标均处于可行区间,即同时满足以下条件时,则可以断定该投资方案无论从哪个方面看都具备财务可行性,或完全具备可行性。这些条件是:
(1)净现值NPV≥0 ; (2)净现值率NPV≥0 ; (3)获利指数PI≥1 ; (4)内部收益率IRR≥基准折现率 (5)包括建设期的静态投资回收期PP≤n/2 (即项目计算期的一半); (6)不包括建设期的静态投资回收期PP,≤p/2(即运营期的一半);(7)投资利润率ROI≥基准投资利润率i (事先给定)。
2.判断方案是否完全不具备财务可行性的条件
如果某一投资项目的评价指标均处于不可行区间,即同时满足以下条件时,可以断定该投资项目无论从哪个方面看都不具备财务可行性,或完全不具备可行性当彻底放弃该投资方案。这些条件是:
(1)NPV<0,(2 )NPVR<0,(3 )PI<1(4 )IRR<i0(5 )PP>n/2 (6 )PP,>p/2 (7)ROI<i0
3.判断方案是否基本具备财务可行性的条件
如果在评价过程中发现某项目的主要指标处于可行区间(如NPV≥0,NPVR≥0,PI≥1,IRR≥ i0),但次要或辅助指标处于不可行区间(如PP> n/2,PP,>p/2或ROI<i) , 则可以断定该项目基本上具有财务可行性。
4.判断方案是否基本不具备财务可行性的条件
如果在评价过程中发现某项目出现NPV<0,NPVR<0,PI<1,IRR< i0 ,的情况,即使有PP≤n/2 , PP,≤p/2或ROI≥i发生,也可断定该项目基本上不具有财务可行性。
对独立方案进行财务可行性评价时应注意:(1)主要评价指标在评价财务可行性的过程中起主导作用。(2)利用动态指标对同一个投资项目进行评价和决策,可能得出完全相同的结论。
二、多个互斥方案的比较决策
互斥方案,是指互相关联、互相排斥的方案,即一组方案中的各个方案彼此可以相互代替,采纳方案组中的某一方案,就会自动排斥这组方案中的其他方案。
多个互斥方案的比较决策,是指在每一个入选方案已具备财务可行性的前提下,利用具体决策方法比较各个方案的优劣,利用评价指标从各个备选方案中最终选出一个最优方案的过程。
项目投资多方案比较决策的方法,主要包括净现值法、净现值率法、差额投资内部收益率法、年等额净回收额法和计算期统一法等具体方法。
(一)净现值法
净现值法,是指通过比较所有已具备财务可行性投资方案的净现值指标的大小来选择最优方案的方法。该法适用于原始投资额相同且项目计算期相等的多方案比较决策。在此法下,净现值最大的方案为优。
(二)净现值率法
净现值率法,是指通过比较所有已具备财务可行性投资方案的净现值率指标的大小来选择最优方案的方法。该法可用于原始投资额不同的投资方案的比较决策。在此法下,净现值率最大的方案为优。
(三)差额投资内部收益率法
差额投资内部收益率法,是指在两个原始投资额不同方案的差量净现金流量(记作△NCF)的基础上,计算出差额内部收益率(记作△ IRR ) ,并将其与行业基准折现率进行比较,进而判断方案孰优孰劣的方法。该法适用于原始投资额不相同,但项目计算期相同的多方案比较决策。当差额内部收益率指标大于或等于基准收益率或设定折现率时,原始投资额大的方案较优;反之,则原始投资额小的方案为优。
(四)年等额净回收额法
年等额净回收额法,是指通过比较所有投资方案的年等额净回收额(记作NA ) 指标的大小来选择最优方案的决策方法。该法适用于原始投资额不相同,特别是项目计算期不同的多方案比较决策。在此法下,某方案的年等额净回收额等于该方案净现值与相关回收系数(或年金现值系数倒数)的乘积。
某方案年等额净回收额=该方案净现值×回收系数
或=该方案净现值×1\年金现值系数
年等额净回收额最大的方案为优。
(五)计算期统一法
计算期统一法,是指通过对计算期不相等的多个互斥方案选定一个共同的计算分析期,以满足时间可比性的要求,进而根据调整后的评价指标来选择最优方案的方法。该法包括方案重复法和最短计算期法两种具体处理方法。
1.方案重复法
方案重复法,也称计算期最小公倍数法,是将各方案计算期的最小公倍数作为比较方案的计算期,进而调整有关指标,并据此进行多方案比较决策的一种方法。此法适用于项目计算期相差比较悬殊的多方案比较决策。
2.最短计算期法
最短计算期法,又称最短寿命期法,是指在将所有方案的净现值均还原为等额年回收额的基础上,再按照最短的计算期来计算出相应净现值,进而根据调整后的净现值指标进行多方案比较决策的一种方法。
三、多方案组合排队投资决策
如果一组方案中既不属于相互独立,又不属于相互排斥,而是可以实现任意组合或排队,则这些方案被称作组合或排队方案,其中又包括先决方案、互补方案和不完全互斥方案等形式。在这种方案决策中,除了要求首先评价所有方案的财务可行性,淘汰不具备财务可行性的方案外,在接下来的决策中需要反复衡量和比较不同组合条件下的有关评价指标的大小,从而作出最终决策。
这类决策分两种情况:(1)在资金总量不受限制的情况下,可按每一项目的净现值NPV 大小排队,确定优先考虑的项目顺序。(2)在资金总量受到限制时,则需按净现值率NPVR 或获利指数PI 的大小,结合净现值NPV 进行各种组合排队,从中选出能使∑NPV 最大的最优组合。
具体程序如下:
第一,以各方案的净现值率高低为序,逐项计算累计投资额,并与限定投资总额进行比较。
第二,当截止到某项投资项目(假定为第j 项)的累计投资额恰好达到限定的投资总额时,则第1 项至第j 项的项目组合为最优的投资组合。
第三,若在排序过程中未能直接找到最优组合,必须按下列方法进行必要的修正。
(1)当排序中发现第j 项的累计投资额首次超过限定投资额,而删除该项后,按顺延的项目计算的累计投资额却小于或等于限定投资额时,可将第j项与第(j + 1 ) 项交换位置,继续计算累计投资额。这种交换可连续进行。
(2)当排序中发现第j 项的累计投资额首次超过限定投资额,又无法与下一项进行交换,第(j 一1)项的原始投资大于第j 项原始投资时,可将第j 项与第(j 一1 ) 项交换位置,继续计算累计投资额。这种交换亦可连续进行。
(3)若经过反复交换,已不能再进行交换,但仍未找到能使累计投资额恰好等于限定投资额的项目组合时,可按最后一次交换后的项目组合作为最优组合。
总之,在主要考虑投资效益的条件下,多方案比较决策的主要依据,就是能否保证在充分利用资金的前提下,获得尽可能多的净现值总量。
第五章 证券投资
[基本要求]
(一)掌握证券投资的目的、特点、种类与基本程序
(二)掌握股票投资的目的、特点;股票投资的基本分析法与技术分析方法
(三)掌握债券投资的目的、特点;债券的投资决策方法与投资策略
(四)掌握投资基金的含义、种类;投资基金的价值与收益率的计算;基金投资的优缺点
(五)熟悉商品期货和金融期货的含义和特点;熟悉商品期货和金融期货的投资决策
(六)熟悉优先认股权的含义及其价值的计算;熟悉认股权证的投资决策
(七)熟悉期权的含义、特点及期权投资的方式
(八)了解可转换债券的投资风险与策略
[考试内容]
第一节 证券投资的目的、特点与程序
一、证券投资的目的与特点
(一)证券的种类
证券,是指用以证明或设定权利所做成的书面凭证,它表明证券持有人或第三者有权取得该证券所拥有的特定权益。它可按不同的标准进行分类:
1.按照证券发行主体的不同,可分为政府证券、金融证券和公司证券。
2.按照证券所体现的权益关系,可分为所有权证券和债权证券。
3.按照证券收益的决定因素,可分为原生证券和衍生证券。
4.按照证券收益稳定状况的不同,可分为固定收益证券和变动收益证券。
5.按照证券到期日的长短,可分为短期证券和长期证券。
6.按照募集方式的不同,可分为公募证券和私募证券。
(二)证券投资的目的
证券投资,是指投资者将资金投资于股票、债券、基金及衍生证券等资产,从而获取收益的一种投资行为。
企业进行证券投资的目的主要有以下几个方面:(1)暂时存放闲置资金;(2)与筹集长期资金相配合;(3)满足未来的财务需求;(4)满足季节性经营对现金的需求;(5)获得对相关企业的控制权。
(三)证券投资的特点
相对于实物投资而言,证券投资具有如下特点:
1.流动性强。证券资产的流动性明显地高于实物资产。
2.价格不稳定。证券相对于实物资产来说,受人为因素的影响较大,且没有相应的实物作保证,其价值受政治、经济环境等各种因素的影响较大,具有价值不稳定、投资风险较大的特征。
3.交易成本低。证券交易过程快速、简捷、成本较低。
二、证券投资的种类
证券投资具体分为债券投资、股票投资、基金投资、期货投资、期权投资、证券组合投资六类。
三、证券投资的基本程序
证券投资的基本程序包括选择投资对象、开户与委托、交割与清算、过户等。
第二节 股票投资
一、股票投资的目的与特点
企业进行股票投资的目的主要有两种:一是获利,即作为一般的证券投资,获取股利收入及股票买卖差价;二是控股,即通过购买某一企业的大量股票达到控制该企业的目的。
股票投资和债券投资都属于证券投资。证券投资与其他投资相比,总的来说都具有高风险、高收益、易于变现的特点。但股票投资相对于债券投资而言又具有以下特点:(1)股票投资是权益性投资;(2)股票投资的风险大;(3)股票投资的收益率高;(4)股票投资的收益不稳定;(5)股票价格的波动性大。
二、股票投资的基本分析法
基本分析法主要是通过对影响证券市场供求关系的基本要素进行分析,评价有价证券的真正价值,判断证券的市场价格走势,为投资者进行证券投资提供参考依据。基本分析法主要适用于周期相对较长的个别股票价格的预测和相对成熟的股票市场。
(一)宏观分析
宏观分析是通过对一国政治形势是否稳定、经济形势是否繁荣等的分析,判断宏观环境对证券市场和证券投资活动的影响。宏观分析包括政治因素分析和宏观经济因素分析。
(二)行业分析
行业分析主要探讨产业和区域经济对股票价格的影响,主要包括行业的市场结构分析、行业经济周期分析、行业生命周期分析等。
(三)公司分析
公司分析主要是对特定上市公司的行业选择、成长周期、内部组织管理、经营状况、财务状况及营业业绩等进行全面分析。
公司分析是基本分析法的重点。通过对发行证券的公司进行全面分析,能较准确预测该公司证券的价格及其变动趋势,为证券投资决策提供依据。
三、股票投资的技术分析法
技术分析法是从市场行为本身出发,运用数理统计和心理学等理论及方法,根据证券市场已有的价格、成交量等历史资料来分析价格变动趋势的方法。其主要方法有指标法、K 线法、形态法、波浪法等。
1.指标法。指标法是根据市场行为的各种情况建立数学模型,按照一定的数学计算公式,得到一个体现股票市场某个方面内在实质的数字,即指标值。指标的具体数值和相互关系直接反映了股市所处的状态,为具体操作提供方向性指导。
2.K 线法。K 线法的研究侧重于若干条K 线的组合情况,通过推测股票市场多空双方力量的对比来判断股票市场多空双方谁占优势,是暂时的还是决定性的。K 线图是进行各种技术分析的最重要图表。
3.形态法。形态法是指根据价格图表中过去一段时间价格轨迹的形态来预测股价的未来趋势的方法。
4.波浪法。波浪理论把股价的上下变动和不同时期的持续上涨、下降看成是波浪的上下起伏。股票的价格也遵循波浪起伏的规律。
四、技术分析法和基本分析法的区别
1.技术分析法着重于分析股票市价的运动规律;基本分析法的主要目的在于分析股票的内在投资价值。
2.技术分析法直接从股票市场入手,根据股票的供求、市场价格和交易量等市场因素进行分析。基本分析法则是从股票市场的外部决定因素入手,并从这些外部因素与股票市场相互关系的角度进行分析。
3.技术分析法只关心市场上股票价格的波动和如何获得股票投资的短期收益,很少涉及股票市场以外的因素分析。基本分析法不仅研究整个证券市场的情况,而且研究单个证券的投资价值;不仅关心证券的收益,而且关心证券的升值。
4.技术分析法通过对股票市场价格的波动形式、股票的成交量和投资心理等因素的分析,帮助投资者选择适当的投资机会和投资方法;基本分析法通过对宏观形势的分析,帮助投资者了解股票市场的发展状况和股票的投资价值。
第三节 债券投资
一、债券投资的目的和特点
企业进行短期投资的目的主要是为了合理利用暂时闲置资金,调节现金余额,获得收益。当企业现金余额太多时,便投资于债券,使现金余额降低;反之,当现金余额太少时,则出售原来投资的债券,收回现金,使现金余额提高。企业进行长期债券投资的目的主要是为了获得稳定的收益。
债券投资具有以下特点:
(一)投资期限方面
不论长期债券投资,还是短期债券投资,都有到期日,债券到期应当收回本金,投资应考虑期限的影响。
(二)权利义务方面
从投资权利来说,在各种投资方式中,债券投资者的权利最小,无权参与被投资企业经营管理,只有按约定取得利息,到期收回本金的权利。
(三)收益与风险方面
债券投资收益通常是事前预定的,收益率通常不及股票高,但具有较强的稳定性,投资风险较小。
二、债券投资决策
债券投资决策,是指作为投资人的企业根据现有的可支配资金,在风险与收益均衡原则的指导下,通过对债券市场状况的分析研究,对投资时机、投资期限、拟购入的债券等做出选择的过程。
债券组合是回避利率风险和再投资风险,甚至违约风险和变现力风险的强有力的手段。常见的债券组合主要有以下几种模式:(1)浮动利率债券与固定利率债券的组合;(2)短期债券与长期债券的组合;(3)政府债券、金融债券、企业债券的组合;(4)信用债券与担保债券的组合。
另外,在单纯的企业债券投资中,还可以进行可转换债券与不可转换债券的组合、附认股权债券与不附认股权债券的组合。
第四节 基金投资
一、基金的种类
投资基金是一种利益共享、风险共担的集合投资方式,即通过发行基金股份或受益凭证等有价证券聚集众多的不确定投资者的出资,交由专业投资机构经营运作,以规避投资风险并谋取投资收益的证券投资工具。基金主要有以下分类方法:
(一)根据组织形态的不同,可分为契约型基金和公司型基金
1.契约型基金
契约型基金又称为单位信托基金,是指把受益人(投资者)、管理人、托管人三者作为基金的当事人,由管理人与托管人通过签订信托契约的形式发行受益凭证而设立的一种基金。契约型基金由基金管理人负责基金的管理操作;由基金托管人作为基金资产的名义持有人,负责基金资产的保管和处置,对基金管理人的运作实行监督。
2.公司型基金
公司型基金,是指按照公司法以公司形态组成的,它以发行股份的方式募集资金,一般投资者购买该公司的股份即为认购基金,也就成为该公司的股东,凭其持有的基金份额依法享有投资收益。
契约型基金与公司型基金相比:(1)资金的性质不同。契约型基金的资金是信托财产,公司型基金的资金为公司法人的资本。(2)投资者的地位不同。契约型基金的投资者购买受益凭证后成为基金契约的当事人之一,即受益人;公司型基金的投资者购买基金公司的股票后成为该公司的股东,以股息或红利形式取得收益。因此,契约型基金的投资者没有管理基金资产的权利,而公司型基金的股东通过股东大会和董事会享有管理基金公司的权利。(3)基金的运营依据不同。契约型基金依据基金契约运营基金,公司型基金依据基金公司章程运营基金。
(二)根据变现方式的不同,可分为封闭式基金和开放式基金
1.封闭式基金
封闭式基金,是指基金的发起人在设立基金时,限定了基金单位的发行总额,筹集到这个总额后,基金即宣告成立,并进行封闭,在一定时期内不再接受新的投资。基金单位的流通采取在交易所上市的办法,通过二级市场进行竞价交易。
2.开放式基金
开放式基金,是指基金发起人在设立基金时,基金单位的总数是不固定的,可视经营策略和发展需要追加发行。投资者也可根据市场状况和各自的投资决策,或者要求发行机构按现期净资产值扣除手续费后赎回股份或受益凭证,或者再买入股份或受益凭证,增加基金单位份额的持有比例。
封闭式基金与开放式基金相比:(1)期限不同。封闭式基金通常有固定的封闭期,而开放式基金没有固定期限,投资者可随时向基金管理人赎回。(2)基金单位的发行规模要求不同。封闭式基金在招募说明书中需列明其基金规模,而开放式基金没有发行规模限制。(3)基金单位转让方式不同。封闭式基金的基金单位在封闭期限内不能要求基金公司赎回。开放式基金的投资者则可以在首次发行结束一段时间(多为3 个月)后,随时向基金管理人或中介机构提出购买或赎回申请。(4)基金单位的交易价格计算标准不同。封闭式基金的买卖价格受市场供求关系的影响,并不必然反映公司的净资产值。开放式基金的交易价格则取决于基金的每单位资产净值的大小,基本不受市场供求影响。(5)投资策略不同。封闭式基金的基金单位数不变,资本不会减少,因此基金可进行长期投资。开放式基金因基金单位可随时赎回,为应付投资者随时赎回兑现,基金资产不能全部用来投资,更不能把全部资本用来进行长线投资,必须保持基金资产的流动性。
(三)根据投资标的不同,可分为股票基金、债券基金、货币基金、期货基金、期权基金、认股权证基金、专门基金等
1.股票基金
股票基金,是所有基金品种中最为流行的一种类型,它是指投资于股票的投资基金,其投资对象通常包括普通股和优先股,其风险程度较个人投资股票市场要低得多,且具有较强的变现性和流动性,因此它也是一种比较受欢迎的基金类型。
2.债券基金
债券基金,是指投资管理公司为稳健型投资者设计的,投资于政府债券、市政公债、企业债券等各类债券品种的投资基金。债券基金一般情况下定期派息,其风险和收益水平通常较股票基金低。
3.货币基金
货币基金,是指由货币存款构成投资组合,协助投资者参与外汇市场投资,赚取较高利息的投资基金。其投资工具包括银行短期存款、国库券、政府公债、公司债券、银行承兑票据及商业票据等。这类基金的投资风险小,投资成本低,安全性和流动性较高,在整个基金市场上属于低风险的安全基金。
4.期货基金
期货基金,是指投资于期货市场以获取较高投资回报的投资基金。由于期货市场具有高风险和高回报的特点,因此投资期货基金既可能获得较高的投资收益,同时也面临着较大的投资风险。
5.期权基金
期权基金,是指以期权作为主要投资对象的基金。期权交易,是指期权购买者向期权出售者支付一定费用后,取得在规定时期内的任何时候,以事先确定好的协定价格,向期权出售者购买或出售一定数量的某种商品合约的权利的一种买卖。
6.认股权证基金
认股权证基金,是指以认股权证为主要投资对象的基金。认股权证,是指由股份有限公司发行的、能够按照特定的价格,在特定的时间内购买一定数量该公司股票的选择权凭证。由于认股权证的价格是由公司的股份决定的,一般来说,认股权证的投资风险较通常的股票要大得多。因此,认股权证基金也属于高风险基金。
7.专门基金
专门基金由股票基金发展演化而成,属于分类行业股票基金或次级股票基金,主要包括黄金基金、资源基金、科技基金、地产基金等,这类基金的投资风险较大,收益水平较易受到市场行情的影响。
二、投资基金的估价与收益率
(一)基金的价值
1.

基金单位净值,是指在某一时点每一基金单位域基金股份)所具有的市场价值。
基金单位净值=基金净资产价值总额=基金资产总额—基金负债总额
2.

开放式基金的柜台交易价格完全以基金单位净值为基础,通常采用认购价(卖出价)和赎回价(买入价)两种报价形式。
基金认购价=基金单位净值+首次认购费
基金赎回价=基金单位净值一基金赎回费
(二)基金收益率
基金收益率用以反映基金增值的情况,它通过基金净资产的价值变化来衡量。
基金收益率=三、基金投资的优缺点
基金投资的优点是:(1)能够在不承担太大风险的情况下获得较高收益;(2)具有专家理财优势和资金规模优势。
基金投资的缺点是:(1)无法获得很高的投资收益;(2)在大盘整体大幅度下跌的情况下,投资人可能承担较大风险。
第五节 衍生金融资产投资
一、商品期货
(一)商品期货的特征
商品期货,是标的物为实物商品的一种期货合约,是关于买卖双方在未来某个约定的日期以签约时约定的价格买卖某一数量的实物商品的标准化协议。商品期货交易,是在期货交易所内买卖特定商品的标准化合同的交易方式。
商品期货主要包括农产品期货、能源期货和金属产品期货等类型。
(二)商品期货的投资决策
1.商品期货投资的特点
(1)以小博大。投资商品期货只需要交纳5%~20%的履约保证金,就可控制100%的虚拟资金。
(2)交易便利。由于期货合约中主要因素如商品质量、交货地点等都已标准化,合约的互换性和流通性较高。
(3)信息公开,交易效率高。期货交易通过公开竞价的方式使交易者在平等的条件下公平竞争。同时,期货交易有固定的场所、程序和规则,运作高效。
(4)期货交易可以双向操作,简便、灵活。交纳保证金后即可买进或卖出期货合约,且只需用少数几个指令在数秒或数分钟内即可达成交易。
(5)合约的履约有保证。期货交易达成后,须通过结算部门结算、确认,无须担心交易的履约问题。
2.商品期货的投资决策
(1)选择适当的经纪公司和经纪人
(2)交易商品的选择
在期货市场上买卖的商品种类很多,初入市者必须选择恰当的商品期货作为投资目标。
(3)止损点的设定
止损点是期货交易者为避免过大损失、保全已获利润,并使利润不断扩大而制定的买入或卖出的价格最高点或最低点。止损点的设定与使用,在操作计划的制定中极具实用价值。
二、金融期货
金融期货是买卖双方在有组织的交易所内,以公开竞价的方式达成协议,约定在未来某一特定的时间交割标准数量特定金融工具的交易方式。金融期货一般包括利率期货、外汇期货、股票期货、股指期货等。
金融期货的投资策略有:
1.套期保值
金融期货的规避、转移风险的功能主要通过套期保值实现。
(1)卖出套期保值
利用利率期货交易避免将来利率上涨引起的持有债券的价格下跌,或者预定的借款费用上升的风险。或者利用外汇期货交易避免将来外汇价值下跌引起持有外币资产的价值下跌,以及将来外汇收入的价值减少的风险。
(2)买入套期保值
利用利率期货交易避免将来利率下跌引起的债券投资的预定利益减少(债券的购入价格上升)的风险。或者应用在外汇交易上,利用外汇期货交易避免将来外汇价值上升,引起以本币计价的预定外汇支付额增加的风险。
(3)直接保值
在金融期货市场上,利用与需要保值的现货相同的商品进行保值。
(4)交叉保值
如果在期货市场上没有与现货商品相同的商品,就利用与现货商品关系最密切的商品保值。
2.套利
由于供给与需求之间的暂时不平衡,或是由于市场对各种证券的反映存在时滞,将导致在不同的市场之间或不同的证券之间出现暂时的价格差异,一些敏锐的交易者能够迅速地发现这种情况,并立即买入过低定价的金融工具或期货合约,同时卖出过高定价的金融工具或期货合约,从中获取无风险的或几乎无风险的利润,这是金融期货投资的套利策略。
三、期权投资
期权,也称选择权,是期货合约买卖选择权的简称,是一种能在未来某特定时间以特定价格买入或卖出一定数量的某种特定商品的权利。按所赋予的权利不同,期权主要有看涨期权和看跌期权两种类型。
1.看涨期权投资。购买看涨期权可以获得在期权合约有效期内根据合约所确定的履约价格买进一种特定商品或资产的权利。投资看涨期权应注意:能够购买哪些公司的股票、买入股票数量有多少、股票的购买价格如何、购买权利的到期日等。
2.看跌期权投资。购买看跌期权可以获得一种在未来一定期限内根据合约所确定的价格卖出一种特定商品或资产的权利。投资看跌期权应注意:能够卖出哪些公司的股票、卖出股票的数量有多少、股票的销售价格如何、卖出权利的到期日等。
期权投资可考虑的投资策略主要有:(1)买进看涨期权;(2)买进看跌期权;(3)买进看跌期权同时买入期权标的物;(4)买进看涨期权同时卖出期权标的物;(5)综合多头;(6)综合空头。
四、认股权证、优先认股权、可转换债券
(一)认股权证
1.认股权证的特点
认股权证是由股份公司发行的,能够按特定的价格、在特定的时间内购买一定数量该公司股票的选择权凭证。
认股权证的特点:(1)认股权证具有期权条款,持有人在认股之前,既不拥有债权也不拥有股权,只拥有股票认购权。(2)认股权证具有价值和市场价格,用认股权证购买普通股票,其价格一般低于市价。
2.认股权证的基本要素
认股权证的基本要素包括:(1)认购数量,指每一份认股权证可以认购股票的份数;(2)认购价格,指认股权证的持有者行使认股权时的结算价格;(3)认购期限,指认股权证持有者行使权利的有效期;(4)赎回条款,指发行认股权证的公司是否有权在规定的有效期限内赎回其发行在外的认股权证。
3.认股权证的价值
认股权证有理论价值与实际价值之分。其理论价值可用下式计算:
V=max[(P-E)×N,O]
式中,V为认股权证理论价值;P为普通股市价;E为认购价格;N为每一认股权可认购的普通股股数。
影响认股权证理论价值的主要因素有:(1)换股比率。每份认股权能认购的普通股份数越多,其理论价值就越大。(2)普通股市价。市价越高,认股权证的理论价值就越大。(3)执行价格。执行价格越低,认股权证持有者为换股而付出的代价就越小,普通股市价高于执行价格的机会就越大,认股权证的理论价值就越大。(4)剩余有效期间。剩余有效期越长,市价高于执行价格的可能性就越大,认股权证的理论价值就越大。
认股权证的实际价值是由市场供求关系所决定的。由于套利行为的存在,认股权证的实际价值通常高于其理论价值。
(二)优先认股权
1.优先认股权的含义
优先认股权,是指当股份公司为增加公司资本而决定增加发行新的股票时,原普通股股东享有的按其持股比例,以低于市价的某一特定价格优先认购一定数量新发行股票的权利。优先认股权,又称股票先买权,是普通股股东的一种特权。
优先认股权投资的特点是能提供较大程度的杠杆作用。
2.优先认股权的价值
(1)附权优先认股权的价值。
优先认股权通常在某一股权登记日前颁发。在此之前购买的股东享有优先认股权,或说此时股票的市场价格含有分享新发行股票的优先权,因此称为“附权优先认股权”。其价值可由下式求得:
Ml-(R×N+S)=R
式中,R为附权优先认股权的价值;M1为附权股票的市价;N为购买1股股票所需的优先认股权数;S为新股票的认购价。
(2)除权优先认股权的价值。
在股权登记日以后,股票的市场价格中将不再含有新发行股票的认购权,其优先认股权的价值也按比例下降,此时就被称为“除权优先认股权”。其价值可由下式得到:
M2-(R×N+S)=0
式中,M2为除权股票的市价;R为附权优先认股权的价值;N为购买1股股票所需的优先认股权数;S为新股票的认购价。
(三)可转换债券
1.可转换债券的含义
可转换债券,又称可转换公司债券,是指可以转换为普通股的债券,赋予持有者按事先约定在一定时间内将其转换为公司股票的选择权。在转换权行使之前债券持有者是发行公司的债权人,权利行使之后则成为发行公司的股东。
2.可转换债券的要素
可转换债券的基本要素包括:
(1)基准股票。基准股票又称标的股票,是可转换债券的标的物。
(2)票面利率。可转换债券的票面利率,是指可转换债券票面载明的利率,通常低于普通债券利率。
(3)转换价格。转换价格也称转股价格,是将债券转换为股票时,股票的每股价格。
(4)转换比率。转换比率,是指一份债券可以转换为多少股股份。

(5)转换期限。转换期,是指可转换债券转换为股份的起始日至结束日的期间。可转换债券的转换期可以与债券的期限相同,也可以短于债券的期限。
(6)赎回条款。赎回条款规定债券的发行公司有权在预定的期限内按事先约定的条件买回尚未转股的可转换债券。赎回条款包括以下内容:不可赎回期;赎回期;赎回价格;赎回条件。
(7)回售条款。回售条款规定,发行公司的股票价格在一定时期连续低于转换价格并达到一定幅度时,债券持有者可根据规定将债券出售给发行公司。回售条款具体包括回售时间、回售价格等内容。
3.可转换债券的价值估算
(1)已上市的可转换债券可以根据其市场价格适当调整后得到评估价值。
(2)非上市的可转换债券价值等于普通债券价值加上转股权价值。
4.可转换债券的投资决策
(1)投资时机选择。较好的投资时机一般包括:新的经济增长周期启动时;利率下调时;行业景气回升时;转股价调整时。
(2)投资对象选择。优良的债券品质和活跃的股性是选择可转换债券品种的基本原则。
(3)套利机会。可转换债券的投资者可以在股价高涨时,通过转股获得收益;或者根据可转换债券的理论价值和实际价格的差异套利。
与股票相比,可转换债券的投资风险较小。但也应该考虑如下风险:(1)股价波动风险;(2)利率风险;(3)提前赎回风险;(4)公司信用风险;(5)公司经营风险;(6)强制转换风险。