扫码下载APP
及时接收考试资讯及
备考信息
基金专业人员职业资格考试《证券投资基金》科目练习题,题目附有本题的答案与解析,请大家认真作答,答完之后可以参考答案的解析。正保会计网校除了提供基金专业人员职业资格试题,还为大家提供了很多免费备考资料以及多种形式、不同价位的辅导课程供大家学习。
习题精炼:
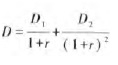
假设股票A第一期支付股利为100元,第二期支付股利为200元,贴现率为5%,根据股利贴现模型(DDM)计算该股票的现值为( )元。
A. 190.20
B. 212.36
C. 276.64
D. 288.65
本题考查内在价值法。根据DDM模型,股票现值表现为未来所有股利的贴现值,

将数据带入公式,得D=276.64元。参见教材(上册)P246。
Copyright © 2000 - www.fawtography.com All Rights Reserved. 北京正保会计科技有限公司 版权所有
京B2-20200959 京ICP备20012371号-7 出版物经营许可证
京公网安备 11010802044457号
套餐D大额券
¥
去使用