扫码下载APP
及时接收考试资讯及
备考信息
不积跬步,无以至千里;不积小流,无以成江海。对于基金从业资格考试而言,每天进步一点点,基础扎实一点点,考试就会更容易一点点。正保会计网校基金从业考试每日一练提供高质量习题,日积月累。以下为基金从业考试《证券投资基金基础知识》每日一练,今天你练了吗?
单选题
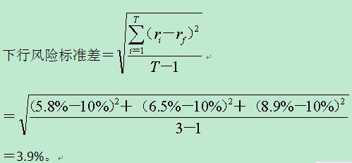
某基金收益率小于无风险利率的期数为3,该基金3期的收益率分别为5.8%, 6.5%和8.9%,市场无风险收益率为10%,该基金的下行风险标准差为( )。
A、3.9%
B、5.8%
C、6.1%
D、13.9%
【正确答案】A
【答案解析】本题考查下行风险标准差。


基金从业资格考试《基金法律法规、职业道德与业务规范》每日一练(2017-10-13)
基金从业资格考试《私募股权投资基金基础知识》每日一练(2017-10-13)
基金从业资格考试每日一练题目都是网校老师精心整理的,每一道题都会有相应知识点的考查,并提供答案解析,建议您做完题之后再去查看答案。每日一练还提供专家点评,每周根据大家的测试结果,对于正确率最低的题目进行一下点评,以帮助大家理解。祝大家考试顺利!
正保会计网校
2017-10-13
Copyright © 2000 - www.fawtography.com All Rights Reserved. 北京正保会计科技有限公司 版权所有
京B2-20200959 京ICP备20012371号-7 出版物经营许可证
京公网安备 11010802044457号
套餐D大额券
¥
去使用