扫码下载APP
及时接收考试资讯及
备考信息
在备考前期,或看书,或听课,但最后的最后——刷题!正保会计网校基金从业栏目每日一练提供高质量习题,有测试结果,有答案解析。
单选题
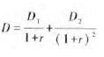
假设股票A第一期支付股利为100元,第二期支付股利为200元,贴现率为5%,根据股利贴现模型(DDM)计算该股票的现值为( )元。
A、190.20
B、212.36
C、276.64
D、288.65
。将数据带入公式,得D=276.64元。参见教材(上册)P246。
基金从业:每日一练《基金法律法规、职业道德与业务规范》(03.08)
基金从业:每日一练《私募股权投资基金基础知识》(03.08)
基金从业每日一练题目都是网校老师精心整理的,每一道题都会有相应知识点的考查,并提供答案解析,建议您做完题之后再去查看答案。每日一练还提供专业点评,每周根据大家的测试结果,对于正确率较低的题目进行一下点评,以帮助大家理解。祝大家考试顺利!
Copyright © 2000 - www.fawtography.com All Rights Reserved. 北京正保会计科技有限公司 版权所有
京B2-20200959 京ICP备20012371号-7 出版物经营许可证
京公网安备 11010802044457号
套餐D大额券
¥
去使用