扫码下载APP
及时接收考试资讯及
备考信息
基金从业考试2023年考试计划已经公布了!点击了解>> 基金从业考试中遇到计算题怎么办?小编给大家汇总了一些基金从业考试常用计算题公式,一起来看看!
流动性比率
1.流动比率=流动资产/流动负债
2.速动比率=(流动资产-存货)/流动负债
财务杠杆比率
1.资产负债率=负债/资产
2.负债权益比=负债/所有者权益=资产负债率/(1-资产负债率)
3.权益乘数=资产/所有者权益=1/(1-资产负债率)
4.利息倍数=EBIT/利息,(EBIT是息税前利润)
营运效率比率
1.存货周转率=年销售成本/年均存货
存货周转天数=365天/存货周转率
2.应收账款周转率=销售收入/年均应收账款
应收账款周转天数=365天/应收账款周转率
3.总资产周转率=年销售收入/年均总资产
盈利能力比率
4.销售利润率=净利润/销售收入
5.资产收益率=净利润/总资产
6.净资产收益率=净利润/所有者权益
杜邦分析法
1.净资产收益率=净利润/所有者权益=(净利润/总资产)×(总资产/所有者权益)=资产收益率×权益乘数
2.资产收益率=净利润/总资产=(净利润/销售收入)×(销售收入/总资产)=销售利润率×总资产周转率
3.净资产收益率=销售利润率×总资产周转率×权益乘数
终值和现值
1.FV=PV×(1+i)n
2.PV= FV/(1+i)n
式中,FV表示终值,即在第n年年末的货币终值;n表示年限;i表示年利率;PV表示本金或现值。
实际利率
实际利率=名义利率-通货膨胀率
单利和复利
1.单利利息:I=PV×i×t
2.单利终值:FV=PV×(1+i×t)
3.单利现值:PV=FV/(1+i×t)≈FV×(1-i×t)
4.复利终值:FV=PV×(1+i)n
复利现值:PV=FV/(1+i)n=FV×(1+i)-n
式中,FV:终值,PV:现值/本金,i:年利率,n:年限。
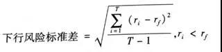
下行风险标准差

式中,ri表示基金收益率;rf表示市场无风险收益率;T表示收益率小于无风险利率的期数。
Copyright © 2000 - www.fawtography.com All Rights Reserved. 北京正保会计科技有限公司 版权所有
京B2-20200959 京ICP备20012371号-7 出版物经营许可证
京公网安备 11010802044457号
套餐D大额券
¥
去使用