扫码下载APP
及时接收考试资讯及
备考信息
2018年基金从业10月为预约式考试已经拉开帷幕,大家的复习计划也需要加快进度了。正保会计网校为您收集了基金从业《证券投资基金基础知识》考点:随机变量。基金从业考生们要多练习,才能在考场上所向披靡。

知识点:随机变量的数字特征与描述性统计量★★★
1.期望(均值)
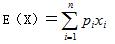
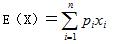
(1)随机变量X的期望(或称均值,记做E(X))衡量了X取值的平均水平,它是对X所有可能取值按照其发生概率大小加权后得到的平均值。
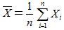
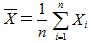
(2)在X的分布未知时,用抽取样本X1,…,Xn的算术平均数(样本均值)
2.方差与标准差
(1)对于投资收益率r,用方差(σ2)或标准差(σ)来衡量它偏离期望值的程度。其中方差σ2=E【(r-Er)2】的数值越大,表示收益率r偏离期望收益率Er=
的程度越大,反之亦然。
(2)方差和标准差除了应用于分析投资收益率,还可以用来研究价格指数、股价指数等的波动情况。
3.分位数
(1)分位数通常被用来研究随机变量X以特定概率(或者一组数据以特等比例)取得大于或等于(或小于等于)某个值的情况。
(2)一般来说,设0<α<1,随机变量X的上α分位数是指满足概率值P{X≥xα}=α的数xα,下α分位数是指满足概率值P{X≤
}=α的数 .
4.中位数
对于一组数据来说,中位数就是大小处于正中间位置的那个数值。
相关推荐:
Copyright © 2000 - www.fawtography.com All Rights Reserved. 北京正保会计科技有限公司 版权所有
京B2-20200959 京ICP备20012371号-7 出版物经营许可证
京公网安备 11010802044457号
套餐D大额券
¥
去使用