扫码下载APP
及时接收考试资讯及
备考信息
| 公式1-20条 | 公式21-40条 |
基金从业资格考试中,《证券投资基金基础知识》这科知识结构内容较为广泛,考试中也会有一部分计算题的出现,并且计算题具有一定的难度,要求考生平时侧重理解、熟记公式、反复做题,并结合网校老师的课程进行自己的归纳总结和思考。
为了帮助同学们更好的学习这一科目,小编为同学们整理汇总了《证券投资基金基础知识》常用公式,希望能在考试前帮助大家更好的学习!

21.市现率(P/CF)=每股价格÷每股现金流
22.市销率(P/S)=每股价格÷每股销售收入
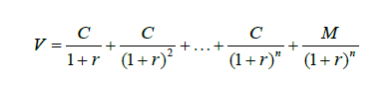
23.零息债券估值法

V表示贴现债券的内在价值;M表示面值;r表示市场利率;t表示债券到期时间。
由于多数零息债券期限小于一年,因此上述贴现公式应简单调整为:

24.固定利率债券估值法

25.统一公债估值法
统一公债是一种没有到期日的特殊债券。

26.期望(均值)

27.方差与标准差----衡量他偏离期望值的程度

28.权证的价值:内在价值和时间价值

29.权益累证券投资的收益:
风险资产期望收益率=无风险资产收益率+风险溢价
30.久期,麦考利久期,又称存续期

修正久期:

31.各类期权的损益状态:

32.夏普比率

特雷诺比率

詹森

信息比率

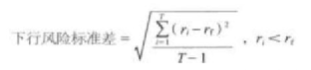
33.下行风险标准差

34. 认购费用和份额
净认购金额=认购金额/(1+认购费率)
认购费用=认购金额-净认购金额
认购份额=(净认购金额+认购利息)/基金份额面值
35.折(溢)价率
折(溢)价率=(二级市场价格–基金份额净值)/基金份额净值×100%
=(二级市场价格/基金份额净值–1)×100%
36.持股集中度的计算公式

37.基金股票换手率

38.绝对收益率
持有区间所获得的收益,通常有两部分组成:资产回报和收入回报。

39. 因送股,配股或派息而形成的剔除行为除权(息)

40.首期、到期资金结算额的计算
在质押式回购中:
首期资金结算额=正回购方融入资金数额
在买断式回购中:
首期资金结算额=(首期交易净价+首期结算日应计利息)×回购债券数量/100
在质押式回购中:
到期资金结算额=首期资金结算额×(1+回购利率×实际占款天数/365)
在买断式回购中:
到期资金结算额=(到期交易净价+到期结算日应计利息)×回购债券数量/100

距离基金从业资格考试越来越近,如果你备考没有方向可以加入正保会计网校,网校不仅有完备的教学体系还有老师讲课来帮助大家进行学习,购课就送机考模拟系统哦!点击查看基金好课>>
Copyright © 2000 - www.fawtography.com All Rights Reserved. 北京正保会计科技有限公司 版权所有
京B2-20200959 京ICP备20012371号-7 出版物经营许可证
京公网安备 11010802044457号
套餐D大额券
¥
去使用