
2015年高级会计师考试定于9月13日举行,为了帮助参加2015年高级会计师考试的学员早着手学习,提前进入备考状态,正保会计网校为大家整理了高级会计师各章节考试知识点,以下是“第四章业绩评价”中关于:“投资中心的业绩评价指标”知识点内容,大家可以提前预学习一下。
第四章 业绩评价
投资中心的业绩评价指标
投资报酬率、剩余收益、经济增加值等指标是经常用来衡量投资中心业绩的指标。
1.投资报酬率法
投资报酬率表示的是部门利润与部门投资占用资本的比率。计算公式如下:

非流动资产+营运资本=长期负债+所有者权益
| 优点 |
可以用于在经营业务不同的部门之间或者竞争对手之间进行比较。 |
| 缺点 |
①在项目投资决策时,可能造成的结果是某个部门的投资报酬率提高了,而整个公司却下降了。
②投资报酬率的计算是基于资产的账面价值,非流动资产的账面价值会因为折旧而逐渐减少,因此,所计算的投资报酬率会逐渐升髙,这样产生一个错觉,越旧的资产反而投资回报率越高,所以部门经理会倾向于保留旧资产,而在投资新资产时非常谨慎。 |
【例4-4】某公司A、B事业部正在考虑各自部门的项目投资,数据如表4-3所示(假设公司资本成本15%)。
| |
A事业部 |
B事业部 |
| 投资项目所获利润 |
200万元 |
130万元 |
| 投资项目投资额 |
1 000万元 |
1 000万元 |
| 项目投资报酬率 |
200/1000=20% |
130/1000=13% |
| 当前部门投资报酬率 |
25% |
9% |
公司内部缺乏目标的一致性
2.剩余收益法
剩余收益等于部门的息税前利润减去部门投资所占用的资本成本。其计算公式为:
剩余收益=息税前利润-投资占用资本的成本
=息税前利润-投资占用的资本×平均资本成本率
注:非流动资产+营运资本=长期负债+所有者权益
这里的平均资本成本率指的是税前的。
【例4-5】某公司A、B事业部正在考虑各自部门的项目投资,数据如表4-4所示(假设公司资本成本15%)。
| |
A事业部 |
B事业部 |
| 投资项目所获利润 |
200万元 |
130万元 |
| 投资项目投资额 |
1 000万元 |
1 000万元 |
| 项目投资报酬率 |
20% |
13% |
| 当前部门投资报酬率 |
25% |
9% |
接受项目增加的A的剩余收益=200-1000×15%=50万元
接受项目增加的B的剩余收益=130-1000×15%=-20万元
| 优点 |
①如果使用剩余收益衡量投资中心的管理者业绩,管理者非常可能在决策时既考虑了自己的最佳利益也考虑了整个公司的利益。
②不同的资本成本率可以用在不同的风险投资上,不同的投资项目,风险是不同的,风险调整的资本成本也是不同的,而投资报酬率并没有考虑这些差异。 |
| 缺点 |
剩余收益使用绝对数指标,所以很难在规模不同的事业部和公司之间进行比较。例如,大事业部的剩余收益一般明显高于小事业部。 |
3.经济增加值
经济增加值是剩余收益的一种特殊计算方法。
经济增加值方法较之传统的剩余收益评价方法有两个方面的重大突破:
一是对会计准则所歪曲的会计利润数据进行了调整;
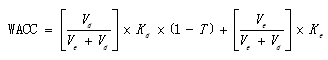
二是金融学中资本资产定价模型能够推导出反映非系统风险的权益成本率,进一步推导出资本加权平均成本率,经济增加值方法结合了资本资产定价模型,将资本加权平均成本率引入了计算公式。
EVA=税后净营业利润-占用资本×加权平均资本成本率WACC

为了将传统的会计利润转化为合理的经济增加值结果,企业需要对财务数据进行相应的调整,常见的调整及解释如表4-5示。
| 调整项目 |
解 释 |
| 产生价值的支出 |
市场营销、研发、员工培训等在未来产生价值的支出应该资本化。如果这些项目在利润表中被计入当期费用,应该加回到利润中,同时也应加回到当年的占用资本中。 |
| 折旧 |
会计折旧应该被加回到利润中,取而代之的是扣减经济折旧。非流动资产的账面价值也要进行相应调整。经济折旧反映了该期间资产价值真正的变动。前期折旧少,后期折旧多。 |
| 备抵项目 |
预计负债、坏账准备、存货减值、递延税费等项目被认为是过于保守的会计处理,导致占用资本真实价值的低估,应该全部予以加回。 |
| 非现金费用 |
所有的非现金项目需要被加回至利润中。 |
| 经营租赁 |
经营租赁应该被资本化加回到占用资本中,任何被计入当期利润表的经营租赁费用应该被加回。 |
EVA=会计利润±利润调整-(占用资本±资本调整)×WACC
2009年12月28曰,国资委发布了《中央企业负责人经营业绩考核暂行办法》。
经济增加值=税后净营业利润-调整后资本×平均资本成本率
税后净营业利润=净利润+(利息支出+研究开发费用调整项-非经常性收益调整项×50%)×(1-25%)
调整后资本=平均所有者权益+平均负债合计-平均无息流动负债-平均在建工程
用EVA指标来对投资中心进行业绩评价,至少有三个好处:
(1)与会计利润相比,考虑了投资中心所使用资本的全部成本,有利于投资中心更加关注资本的使用效率;
(2)通过对使用资本的调整,可以更好地体现出企业的战略意图,将投资中心的目标与整个企业的战略目标协调起来;
(3)通过对税后净营业利润的计算调整,鼓励企业加强创新性投入,增强企业的持续发展能力。
【案例分析题】甲公司是一家大型高科技集团上市公司,主营手机、电脑及其他电子科技产品。其生产、研发与销售部门遍及全球各地。产品特征与类型具有一定的地理特殊性,该公司的发展战略是系列电子产品多元化,从多板块、多渠道取得效益。甲公司重视研究开发,持续推出新产品,不断创新产品配套服务,以此推动消费者对产品进行升级,提高产品边际收益。近年来,公司财务战略目标日益明晰,高度重视企业价值管理,构建了以经济增加值最大化为核心目标,持续盈利能力和长期现金流量现值为辅助目标的财务战略目标体系。
按照财务战略目标要求,2011年甲公司在2010年的基础上,对部分业务板块追加了投资,其中业务板块A和业务板块B各追加投资10 000万元,业务板块C追加投资20 000万元,三个业务板块的基础财务数据见下表(单位:万元):
| 项目 |
业务板块A |
业务板块B |
业务板块C |
| 2010年 |
2011年 |
2010年 |
2011年 |
2010年 |
2011年 |
| 调整后资本 |
80 000 |
100 000 |
70 000 |
90 000 |
100 000 |
140 000 |
| 净资产收益率 |
12.5% |
12.5% |
17.5% |
17.0% |
14.0% |
16.0% |
| 平均资本成本率 |
15.0% |
15.0% |
15.0% |
15.0% |
15.0% |
15.0% |
| 税后净营业利润 |
10 000 |
12 500 |
12 250 |
15 300 |
14 000 |
22 400 |
假定不考虑其他因素。
要求:
1.分别计算甲公司三个业务板块2011年的经济增加值,并根据经济增加值对各业务板块的业绩水平由高到低进行排序(要求列出计算过程)。
2.评价甲公司2011年对业务板块B的追加投资是否合理,并简要说明理由。
【分析提示】
(1)2011年三个板块的经济增加值分别为:
A 板块经济增加值=12500-100000×15%=-2500(万元)
B板块经济增加值=15300-90000×15%=1800(万元)
C板块经济增加值=22400-140000×15%=1400(万元)
据此,B板块业绩最好:C板块次之,A板块最差。
(2)①从2011年与2010年对比看,甲公司对B板块追加投资是合理的。
②理由:
B板块2010年经济增加值=12 250-70 000×15%=1750(万元)
追加投资后的2011年经济增加值为1800万元。2011年的经济增加值比上年有所增长,因此,对B板块追加投资是合理的。
说明:因考试政策、内容不断变化与调整,正保会计网校提供的以上信息仅供参考,如有异议,请考生以权威部门公布的内容为准!

正保会计网校2015年高级会计师考试网上辅导热招中,为帮助广大考生提前备考,2015年新课已经全面开通!即报即学!

考试报名政策及资格评审免费咨询