扫码下载APP
及时接收新鲜考试资讯及
备考信息

2015年高级会计师考试定于9月13日举行,为了帮助参加2015年高级会计师考试的学员早着手学习,提前进入备考状态,正保会计网校为大家整理了高级会计师各章节考试知识点,以下是“第三章企业预算管理”中关于“目标利润的规划-利润增长率法”知识点内容,大家可以提前预学习一下。
第三章 企业预算管理
知识点、目标利润的规划方法——利润增长率法
利润增长率法是根据上期实际利润总额和过去连续若干期间的几何平均利润增长率(增长幅度),全面考虑影响利润的有关因素的预期变动而确定企业目标利润的方法。
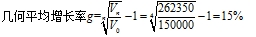
【例】某企业根据过去年份的利润总额进行利润预测,过去年份利润总额如表所示。
|
期间数 |
年份 |
利润总额(元) |
|
0 |
20×1 |
150 000 |
|
1 |
20×2 |
192 000 |
|
2 |
20×3 |
206 000 |
|
3 |
20×4 |
245 000 |
|
4 |
20×5 |
262 350 |
![]()
20×6年的目标利润=262350×(1+15%)=301702.50(元)
说明:因考试政策、内容不断变化与调整,正保会计网校提供的以上信息仅供参考,如有异议,请考生以权威部门公布的内容为准!

正保会计网校2015年高级会计师考试网上辅导热招中,为帮助广大考生提前备考,2015年新课已经全面开通!即报即学!
Copyright © 2000 - www.fawtography.com All Rights Reserved. 北京正保会计科技有限公司 版权所有
京B2-20200959 京ICP备20012371号-7 出版物经营许可证
京公网安备 11010802044457号