扫码下载APP
及时接收新鲜考试资讯及
备考信息

2015年高级会计师考试定于9月13日举行,为了帮助参加2015年高级会计师考试的学员早着手学习,提前进入备考状态,正保会计网校为大家整理了高级会计师各章节考试知识点,以下是“第三章企业预算管理”中关于“预测技术-回归分析”知识点内容,大家可以提前预学习一下。
第三章 企业预算管理
知识点、预测技术-回归分析
1.双变量回归分析
Y=f(X)
2.多元回归分析

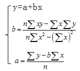
双变量回归分析的计算公式:


正保会计网校2015年高级会计师考试网上辅导热招中,为帮助广大考生提前备考,2015年新课已经全面开通!即报即学!
Copyright © 2000 - www.fawtography.com All Rights Reserved. 北京正保会计科技有限公司 版权所有
京B2-20200959 京ICP备20012371号-7 出版物经营许可证
京公网安备 11010802044457号
套餐D大额券
¥
去使用