25周年

财税实务 高薪就业 学历教育
APP下载
APP下载新用户扫码下载
立享专属优惠

安卓版本:8.8.70 苹果版本:8.8.70

开发者:北京正保会计科技有限公司

应用涉及权限:查看权限>

APP隐私政策:查看政策>

HD版本上线:点击下载>

2019年高级会计师考试新教材知识点:净现值法概念及原理

来源: 正保会计网校 编辑:Ava 2019/05/29 11:25:10  字体:

选课中心

书课题助力备考

选课中心

资料专区

硬核资料等你学

资料专区

免费题库

海量好题免费做

免费题库

会计人证件照

图片一键处理

会计人证件照

考试提醒

考试节点全知晓

考试提醒

想要得到不曾得到的东西,就要付出未曾付出的努力!世上没有不劳而获,唯有努力加坚持。既然选择了高级会计师,就要朝着它勇敢向前,每天进步一点点,基础扎实一点点,备考也就会更容易一点点。正保会计网校为各位考生提供了《高级会计实务》知识点:净现值法,为你考试保驾护航!

高级会计知识点

净现值法
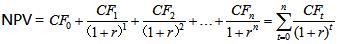
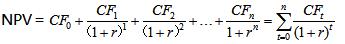
  1.净现值法概念

  净现值指项目未来现金流入量的现值与现金流出量的现值之间的差额。

高级会计知识点

  2.净现值法内含的原理
  ①当净现值为零时,说明项目的收益已能补偿出资者投入的本金及出资者所要求获得的投资收益;
  ②当净现值为正数时,表明除补偿投资者的投入本金和必需的投资收益之后,项目仍有剩余收益。所以,当企业实施具有正净现值的项目,也就增加了股东的财富;
  ③当净现值为负数时,项目收益不足以补偿投资者的本金和必需的投资收益,也就减少了股东的财富。

天才在于积累,聪明在于勤奋。在《高级会计实务》考试的备考期,无论哪一天都不可以懈怠,一步一步的走下去,才能在这条的尽头,回头遥望一路走来的风景,不留遗憾,满眼惊喜。加油,各位备战高级会计师的勇士!>>>和正保会计网校的学员一起备战高级会计师

相关推荐:

2019高级会计师《高级会计实务》各章节高频考点汇总

6月5日直播:老师助力2019年高级会计师评审

免费试听:徐经长/刘圻2019高级会计师基础学习新课开通

学员讨论(0
回到顶部
折叠
网站地图

Copyright © 2000 - www.fawtography.com All Rights Reserved. 北京正保会计科技有限公司 版权所有

京B2-20200959 京ICP备20012371号-7 出版物经营许可证 京公网安备 11010802044457号

恭喜你!获得专属大额券!

套餐D大额券

去使用