扫码下载APP
及时接收考试资讯及
备考信息

金融市场与产品作为FRM P1考试当中占比百分之30的考试科目,可以说是我们备考的重中之重!正保会计网校的老师给大家整理了金融市场与产品科目里面的重要知识点,知识点搭配例题,帮助大家更好的吸收!今日一起来学习交叉对冲吧!
不要急!先来看看LuLu老师的整体科目介绍!
↓↓↓
▶知识点:交叉对冲◀


常考点:
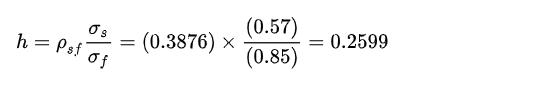
1. 注意分母是期货合约的标准差,分子是标的资产的标准差。
2. 相关性越高,对冲效果越好。
例题:
The hedge ratio is the ratio of derivatives to a spot position(or vice versa that achieves an objective such as minimizing or eliminating risk). Suppose that the standard deviation of quarterly changes in the price of a commodity is 0.57, the standard deviation of quarterly changes in the price of a futures contract on the commodity is 0.85, and the correlation between the two changes is 0.3876.
What is the optimal hedge ratio for a 3-month contract?
A.0.1893
B.0.2135
C.0.2381
D.0.2599
【正确答案】D
【答案解析】

以上就是FRM P1金融市场与产品重要知识点-交叉对冲的相关内容,后期小编会持续给大家更新相关重要知识点,小伙伴们可以关注【 备考经验 】栏目查看!
Copyright © 2000 - www.fawtography.com All Rights Reserved. 北京正保会计科技有限公司 版权所有
京B2-20200959 京ICP备20012371号-7 出版物经营许可证
京公网安备 11010802044457号