扫码下载APP
及时接收考试资讯及
备考信息
发奋识遍天下字,立志读尽人间书。三月开始了,距离五月的考试也越来越近了,大家要抓紧复习了,一起来看看今天的知识点是什么?看看你掌握了没有?

边际分析
1.经济学理论对管理会计的影响
机会成本:没有将有限的资源用于次优方案所放弃的收益。
显性成本/会计成本:有现金流出的机会成本。
隐性成本:没有现金流出的机会成本。
会计利润=总销售收入 - 总会计成本=总销售收入-显性成本
经济利润=总销售收入 - 总经济成本 =总销售收入-(显性成本+隐性成本)
= 会计利润-隐性成本
边际营收是指,再出售一个单位的产品所引发的总营业收入的增加幅度。 当商品的价格不变,边际营收就等于价格。
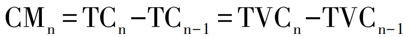
边际成本是指,再增加一个单位的产量所引发的总成本的增加幅度。
![]()
CMn=第n个产品的边际成本;TCn=第n个产品的总成本;TCn-1 = (n-1)个产品的总成本;TVCn=n个产品的总变动成本; TVCn-1= (n-1)个产品的总变动成本。
2.边际分析的基础
相关性
一是未来发生的。过去发生的不属于相关的范畴,管理会计是面向未来进行价值判断和决策的;
二是不同方案之间存在差异。
3.边际分析的应用— 一次性订单
a.有剩余产能情况下的决策
当追加订货不影响本期计划任务的完成,而且现有的剩余生产能力无法转移时,只要追加订货的单价大于该产品的单位相关成本,就可以接受这批追加订货。
b.产能饱和情况下的决策
考虑机会成本
(1)固定成本通常与一次性特殊订单决策不相关的,除非接受该一次性特殊订单会引起总固定成本的变化。如题目中提及的可避免的固定成本。
(2)与一次性特殊订单决策相关的往往只涉及变动成本,包括直接材料、直接人工、变动制造费用、变动销售费用和/或变动管理费用是否相关取决于这些费用是否会因为接受订单而发生变化。
(3)当产能达到饱和时,一次性特殊订单的报价还需考虑放弃现有产能所引发的机会成本。
(4)只要订单的价格(增量收入)大于订单的相关成本(增量成本),该订单在短期内就可以为公司带来增量的利润。
正保会计网校20周年庆,网校好礼大放送!~疫情期间CMA课程可以限时免费听 免费领课链接>>,如果购买CMA正价课程可以享受8.8折优惠 点击8.8折够CMA课程>>
往期推荐
上一篇:CMA考试P2第三章考情分析
下一篇:CMA知识点:本量利分析的假设
Copyright © 2000 - www.fawtography.com All Rights Reserved. 北京正保会计科技有限公司 版权所有
京B2-20200959 京ICP备20012371号-7 出版物经营许可证
京公网安备 11010802044457号
套餐D大额券
¥
去使用