扫码下载APP
及时接收考试资讯及
备考信息
水滴石穿,绳锯木断。备考国际注册内部审计师(CIA)考试,也需要一点点积累才能到达好的效果。正保会计网校为您提供CIA每日一练在线测试,通过做题,能够巩固所学知识并灵活运用,考试时会更得心应手。CIA《内部审计知识要素》每日一练奉上,快来练习吧!
单选题
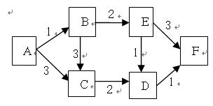
某车间对项目的管理采用关键路径法,其生产工序及所需时间如下图,字母表示工序,数字表示工序所需时间,单位是小时,不能有任何延误的是:

A、A-B工序。
B、A-C工序。
C、B-E工序。
D、E-F工序。
【正确答案】A
【答案解析】本题考查的知识点是项目管理技术。A-B工序是关键路径,不能有任何延误,否则将延长整个工序的时间。

国际注册内部审计师(CIA)每日一练在线测试系统是为您的考试备战量身定制的一套免费在线测试系统,测试题目全部经过正保会计网校教师精心编辑整理,专业、思路清晰、方向明确,让您在考试复习的道路上更加得心应手。如果您有什么疑问,可以去所报课程答疑板进行提问,24小时得到满意答复。
正保会计网校
2018-1-9
Copyright © 2000 - www.fawtography.com All Rights Reserved. 北京正保会计科技有限公司 版权所有
京B2-20200959 京ICP备20012371号-7 出版物经营许可证
京公网安备 11010802044457号
套餐D大额券
¥
去使用