扫码下载APP
及时接收最新考试资讯及
备考信息
学习是一个不断积累的过程,每天学习一点,每天进步一点!为了帮助大家更高效地备考2021年CFA考试,正保会计网校每日为大家上新CFA习题供大家练习。让网校与您一起高效备考2021年CFA考试,梦想成真!
Questions 1:
Which of the following is most likely considered an example of matrix pricing when determining the cost of debt?
A、 Debt-rating approach only.
B、 Yield-to-maturity approach only.
C、 Both the yield-to-maturity and the debt-rating approaches.
Questions 2:
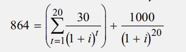
A company recently issued a 10-year, 6% semiannual coupon bond for $864. The bond has a maturity value of $1,000. If the marginal tax rate is 35%, the after-tax cost of debt (%) is closest to:
A、 3.9%.
B、 5.2%.
C、 2.6%.
A is correct. The debt-rating approach is an example of matrix pricing.
B is incorrect because the yield-to-maturity approach is not an example of matrix pricing.
C is incorrect because the yield-to-maturity approach is not an example of matrix pricing.
B is correct. The pre-tax cost of debt is the yield to maturity (YTM) of the bond. The bond’s YTM can be calculated by solving the following equation for i:

Using a financial calculator, enter N = 20 (semiannual periods), w = –864, PMT = 30, and FV = 1,000. Compute I/YR. The six-month yield (or calculated I/YR) is 4%. The YTM is obtained by doubling the six-month yield to get 8%. Multiplying the pre-tax cost of debt by (1 – Tax rate) gives the result of 8 × (1 – 0.35) = 5.2%.
A is incorrect. If the after-tax amount of the coupon rate is used, the result will be 0.06(1 – 0.35) = 3.9%.
C is incorrect. If the after-tax cost for six-month yield is used, the result will be 0.04(1 – 0.35) = 2.6%.
成功=时间+方法,自制力是这个等式的保障。世上无天才,高手都是来自刻苦的练习。而人们经常只看到“牛人”闪耀的成绩,其成绩背后无比寂寞的勤奋。小编相信,每天都在勤奋练习,即使是一点点的进步,大家一定可以成为人人称赞的“牛人”。
Copyright © 2000 - www.fawtography.com All Rights Reserved. 北京正保会计科技有限公司 版权所有
京B2-20200959 京ICP备20012371号-7 出版物经营许可证
京公网安备 11010802044457号
套餐D大额券
¥
去使用