扫码下载APP
及时接收最新考试资讯及
备考信息
学习是一个不断积累的过程,每天学习一点,每天进步一点!为了帮助大家更高效地备考2021年CFA考试,正保会计网校每日为大家上新CFA习题供大家练习。让网校与您一起高效备考2021年CFA考试,梦想成真!
Questions 1:
A stock’s expected price movement over the next two periods is as follows:

The initial value of the stock is $80. The probability of an up move in any given period is 75%, and the probability of a down move in any given period is 25%. Using the binomial model, the probability that the stock’s price will be $79.20 at the end of two periods is closest to:
A、 37.50%.
B 、56.25%.
C 、18.75%.
Questions 2:
An equally weighted portfolio is composed of four stocks. An analyst knows the mean and variance for each of the four stocks. In order to estimate the portfolio mean and variance, the analyst will require the stocks’:
A、 skewness.
B 、pairwise correlations.
C、 kurtosis.
A is correct. Across two periods, there are four possibilities:

■ uu: End Value: $96.80
■ ud: End Value: $79.20
■ du: End Value: $79.20
■ dd: End Value: $64.80
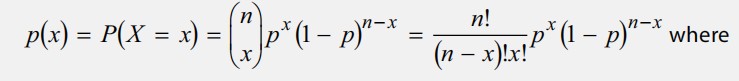
where u is an up move and d is a down move. The probability of an up move followed by a down move is 0.75 × 0.25 = 0.1875. The probability of a down move followed by an up move is 0.25 × 0.75 also = 0.1875. Both of these sequences result in an end value of $79.20. Therefore, the probability of an end value of $79.20 is (0.1875 + 0.1875) = 37.5%. Alternatively, the following formula could be used:

n = 2 (number of periods)
x = 1 (number of up moves: ud and du)
p = 0.75 (probability of an up move)

B is incorrect because it is the probability of an up move followed by an up move (0.75 × 0.75 = 0.5625).
C is incorrect because it is does not recognize that there are two branches that end in $79.20.
B is correct. Specification of the mean and variance for a portfolio of four stocks requires estimates of the mean returns and variances for each of the four stocks and the pairwise correlations between each of the four stocks.
A is incorrect because skewness measures are not required to estimate the mean and variance of a portfolio.
C is incorrect because kurtosis measures are not required to estimate the mean and variance of a portfolio.
成功=时间+方法,自制力是这个等式的保障。世上无天才,高手都是来自刻苦的练习。而人们经常只看到“牛人”闪耀的成绩,其成绩背后无比寂寞的勤奋。小编相信,每天都在勤奋练习,即使是一点点的进步,大家一定可以成为人人称赞的“牛人”。更多CFA考试资讯,点击了解>
Copyright © 2000 - www.fawtography.com All Rights Reserved. 北京正保会计科技有限公司 版权所有
京B2-20200959 京ICP备20012371号-7 出版物经营许可证
京公网安备 11010802044457号
套餐D大额券
¥
去使用