扫码下载APP
及时接收最新考试资讯及
备考信息
学习是一个不断积累的过程,每天学习一点,每天进步一点!为了帮助大家更高效地备考2021年CFA考试,正保会计网校每日为大家上新CFA习题供大家练习。让网校与您一起高效备考2021年CFA考试,梦想成真!
Questions 1:
If a paired comparison test of mean differences supports rejecting the null hypothesis, then the:
A 、independence of the samples is statistically significant.
B 、standard error of the mean differences is low relative to the sample mean difference.
C、 difference in means is not statistically significant.
Questions 2:
A tree diagram is most likely used when dealing with investment problems that involve outcomes that are:
A、 independent at each node.
B 、mutually exclusive.
C、 unconditional at each node.
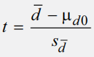
B is correct. According to the test statistic,

the lower the standard error in the denominator, the higher the value of the t-statistic. The t-statistic calculation includes the sample mean difference in the numerator. Therefore, a lower standard error (denominator) relative to the sample mean difference (numerator) results in a higher t-statistic value.
A is incorrect because a paired comparison test is used to test mean differences when we believe that the samples are dependent; it is not used to test whether samples are dependent or independent.
C is incorrect because if the null hypothesis is rejected, the evidence is statistically
significant
B is correct. The following figure depicts an example of a tree diagram:

A tree diagram is a diagram with branches emanating from nodes representing either mutually exclusive outcomes or mutually exclusive decisions. Mutually exclusive outcomes are dependent (the occurrence of one outcome does affect the probability of occurrence of the other outcome). In addition, outcomes at each node are conditional (the probability of an outcome is conditioned on another outcome).
A is incorrect. Two outcomes are independent if the occurrence of one outcome does not affect the probability of occurrence of the other outcome. At each node of a tree diagram, the two outcomes that follow are dependent because the probability on the outcome on one branch is related to the probability of the outcome on the other branch.
C is incorrect. Outcomes are unconditional when the probability of an outcome is not conditioned on another outcome. In a tree diagram, outcomes at each node are conditional (the probability of an outcome is conditioned on another outcome).
成功=时间+方法,自制力是这个等式的保障。世上无天才,高手都是来自刻苦的练习。而人们经常只看到“牛人”闪耀的成绩,其成绩背后无比寂寞的勤奋。小编相信,每天都在勤奋练习,即使是一点点的进步,大家一定可以成为人人称赞的“牛人”。更多CFA考试资讯,点击了解>
Copyright © 2000 - www.fawtography.com All Rights Reserved. 北京正保会计科技有限公司 版权所有
京B2-20200959 京ICP备20012371号-7 出版物经营许可证
京公网安备 11010802044457号
套餐D大额券
¥
去使用