扫码下载APP
及时接收最新考试资讯及
备考信息
| 一级难点汇总 | 二级难点汇总 |
经济学作为CFA二级中知识覆盖面十分广泛的学科来说,还是需要拿出一定的时间精力来学习的。对这门学科来说,理解概念比死记硬背更重要。相对于国内的经济学考试,CFA考试的更侧重于实务结论的应用,所以大家在备案的过程中一定要注意这点,不要跑错方向。
正保会计的老师也为大家总结了CFA二级考试经济学难点,一起来重点掌握一下!

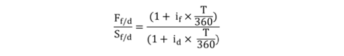
1. 外汇远期估值公式

2. 三角套利计算
1) A/C = (A/B)×(B/C)
bid = bid 1×bid 2
ask = ask 1×ask 2
2) A/C = (A/B) / (C/B)
bid = bid 1/ask 2
ask = ask 1/bid 2
3. 利率平价
1) Covered (hedged) interest rate parity

2) Uncovered (unhedged) interest rate parity(risk-neutral)

4. 购买力平价
1) Absolute PPP:

2) Relative PPP:

3) International Fisher effect:

5. 经济增长模型
1) Cobb–Douglas production function:

Y = output
L = labor
K = capital
A = TFP (productivity or technology)
α = the share of GDP to capital
1 – α = the share of GDP to labor
2) Growth accounting equation

6. 经济增长学派对比
1) Classical model: 尽管技术进步迅速,但生活水平保持不变,人均产出没有增长
2) Neoclassical model: 确定人均产出的长期增长率
3) Endogenous growth models: 着重解释技术进步,经济不一定收敛于稳定的增长率。
以上就是CFA二级考试经济学难点汇总的相关内容,后期会为大家持续更新备考干货,可关注【 备考经验 】栏目查看哦!
说明:因考试政策、内容不断变化与调整,正保会计网校提供的以上考试信息仅供参考,如有异议,请考生以官方部门公布的内容为准!
相关推荐>>
Copyright © 2000 - www.fawtography.com All Rights Reserved. 北京正保会计科技有限公司 版权所有
京B2-20200959 京ICP备20012371号-7 出版物经营许可证
京公网安备 11010802044457号
套餐D大额券
¥
去使用