扫码下载APP
及时接收最新考试资讯及
备考信息
银行资格《个人理财》练习题:已知期初年金求现值
单选题
6年分期付款购物,每年初付200元,设银行利率为10%,该项分期付款相当于一次现金支付的购价是( )。
A.958.20元
B.758.20元
C.1200元
D.354.32元
【正确答案】A
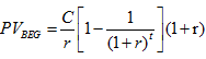
【答案解析】已知期初年金求现值。

=(200/10%)×[1-1/(1+10%)^6]×(1+10%)=958.1574
财务计算器2NDPMT,SET,显示BGN,表示已经设置为期初年金。 10I/Y,6N,-200PMT,0FV,CPTPV=958.1574
2017年银行从业资格考试备考工作正在如火如荼地进行中,正保会计网校为帮助广大考生巩固知识,提高备考效果,特整理了银行从业资格试题《个人理财》供广大学员练习,希望对各位学员有所帮助。祝大家学习愉快,梦想成真!
推荐阅读:2017银行业职业资格辅导每日一练汇总
Copyright © 2000 - www.fawtography.com All Rights Reserved. 北京正保会计科技有限公司 版权所有
京B2-20200959 京ICP备20012371号-7 出版物经营许可证
京公网安备 11010802044457号
套餐D大额券
¥
去使用