扫码下载APP
及时接收最新考试资讯及
备考信息
2016年银行从业资格考试正在备考中,大家对于知识点都掌握了吗?正保会计网校为考友们准备了以下银行从业考试复习资料,希望大家对即将到来的考试有更充足的准备,祝大家梦想成真!
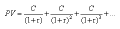
永续年金是指在无限期内,时间间隔相同、不间断、金额相等、方向相同的一系列现金流。比如优先股,它有固定的股利而无到期日,其股利可视为永续年金;未规定偿还期限的债券,其利息也可视为永续年金。

(期末)永续年金现值的公式为:PV=C/r
推荐阅读:
Copyright © 2000 - www.fawtography.com All Rights Reserved. 北京正保会计科技有限公司 版权所有
京B2-20200959 京ICP备20012371号-7 出版物经营许可证
京公网安备 11010802044457号
套餐D大额券
¥
去使用