24周年

财税实务 高薪就业 学历教育
APP下载
APP下载新用户扫码下载
立享专属优惠

安卓版本:8.7.80 苹果版本:8.7.80

开发者:北京正保会计科技有限公司

应用涉及权限:查看权限>

APP隐私政策:查看政策>

HD版本上线:点击下载>

新政策!ACCA有条件免试汇总来啦!

来源: 正保会计网校 编辑:微微 2023/10/26 15:10:10  字体:

选课中心

多样班次满足需求

选课中心

资料专区

干货资料助力备考

资料专区

报考指南

报考条件一键了解

报考指南

这段时间

一直有宝子询问关于免考的事项

究竟哪些人符合条件呢?

申请免考是好是坏呢?

怎么申请免考呢?

今天小编给大家详细解答一下!

ACCA的免考政策是指什么?

首先跟大家科普一下,ACCA的免考政策是指什么?和国内其他考试不一样的是,ACCA考试特别开设了免试政策,给一部分学员免去基础阶段的几门考试,只需交上相应的免试费用(没错,你没看错,虽然免试但是不!免!费!),至多可以免除9门考试

哪些人可以获得ACCA免试?

虽然小编不想承认,但是ACCA对我们中国学生,还真的是了解的很透彻呢!为什么?往下看!

根据ACCA官网公布的免试政策,商科专业有不少学生可以申请免试。不止是会计学专业,例如财务管理、金融等会计类专业,在备考ACCA上比其他专业的高校生有不少优势。

有条件免试政策:

免试政策1

免试政策2

有条件免试适用对象:

1.关于财会相关专业(2020-2025级统招本科学员)财会相关专业统招本科学员可申请BT/LW/TX有条件免试

2.关于工商管理大类专业 (除财会相关专业)工商管理大类专业的学生可申请BT的有条件免试

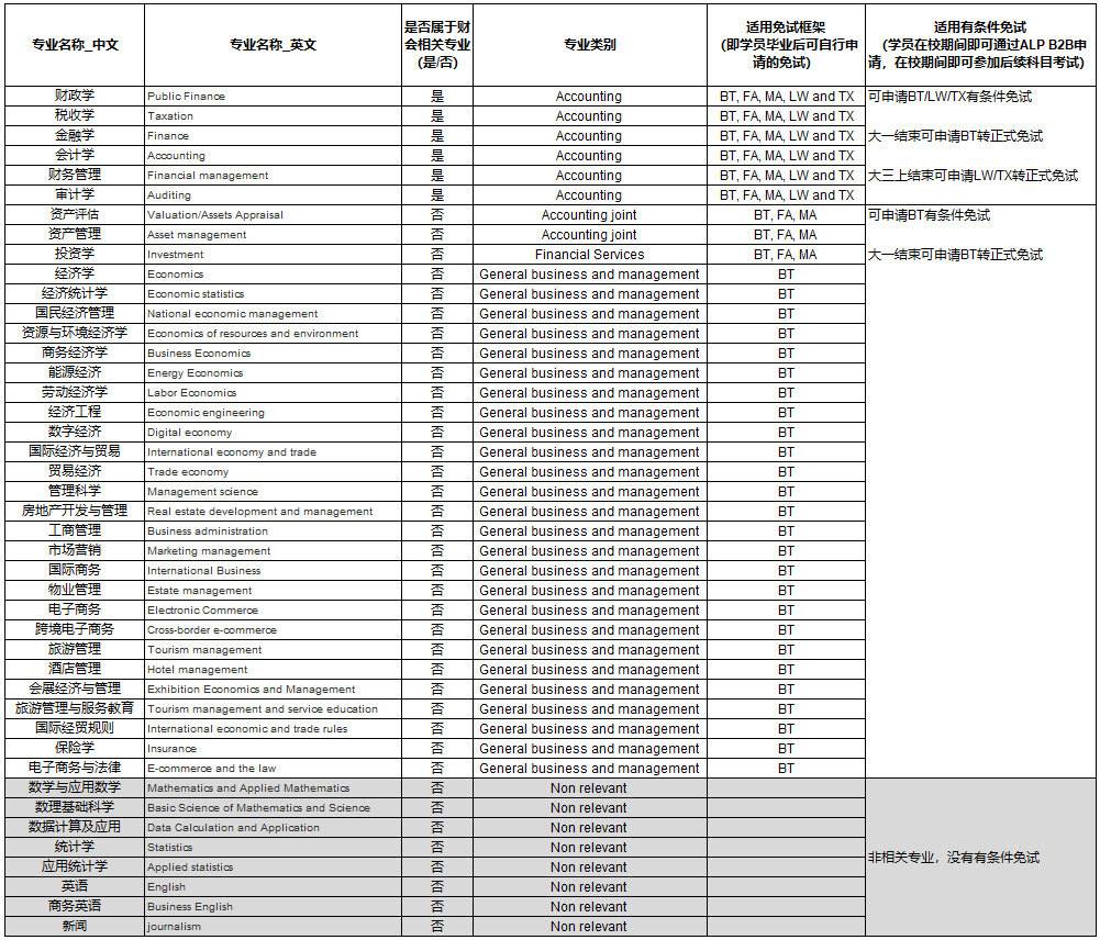
相关专业的免试资格与免考门数如下:

可参加有条件免试专业列表

↑点击可查看大图↑

注:以上专业所对应的免试门数仅供参考。如您对免试政策有任何疑问可以咨询在线客服>>

现在进ACCA专属群领取专属福利、学习资料、首发考试政策等限时获取!

ACCA交流群

免考注意事项

1、在校生只有顺利通过整学年的课程才能够申请免试。

2、针对在校生的部分课程免试政策只适用于会计学专业全日制大学本科的在读学生,而不适用于硕士学位或大专学历的在读学生。

3、已完成MPAcc学位大纲规定课程,还需完成论文的学员也可注册并申请免试。但须提交由学校出具的通过所有MPAcc学位大纲规定课程的成绩单,并附注“该学员已通过所有MPAcc学位大纲规定课程,论文待完成”的说明。

4、特许学位(即海外大学与中国本地大学合作而授予海外大学学位的项目)部分完成时不能申请免试

5、政策适用于在中国教育部认可的高等院校全部完成或部分完成本科课程的学生,而不考虑目前居住地点

6、欲申请牛津 • 布鲁克斯大学学士学位的学员需放弃部分科目的免试

免考费用

即使是免试,也应该要缴纳一定的费用的,但是每个人免试的科目不同,免试费用也是不一样的。具体如下:

应用知识阶段:£98(一门)

会计师与企业(BT)、管理会计(MA)以及财务会计(FA)

应用技术阶段:£123(一门)

公司法与商法(LW)、业绩管理(PM)、税务(TX)、财务报告(FR)、审计与认证业务(AA)以及财务管理(FM)

应该选择ACCA免试吗?

首先小编先给大家分析一下关于ACCA免试的一些优点和缺点。

优点:

虽然应用技能阶段的考试难度都不高,尤其是前几门,通过率历年来基本上都是至高的。

但是,如果太小瞧这几门科目的话,也有可能会不通过。万一有一门没过,那么会拉慢整体的备考进程,所以免考一定程度上避免了这种意外情况

缺点:

从一开始学习ACCA就参加统一考试,可以更快地进入角色,适应考试,而免考以后直接参加后几门难度略高的考试,需要投入更多的时间精力去钻研,而且难免会有紧张感,影响考试状态。

ACCA的考试难度呈阶梯状,内容也是安排好的,由易到难,直接跳过前几门科目,从难度中等的开始考,有些学员难免不适应这个节奏,而且越是基础的科目越容易被忽视,但却与之后难度较高的科目息息相关。

希望每位考生仔细考虑自身学习能力等方面,选择适合自己的方式,珍惜每次考试机会!

如果你对ACCA免试还有什么不了解的地方,可以进行询问哦~咨询在线客服>>

ACCA入群底图

其他推荐:
ACCA学习资料免费领取 ACCA好课热招 ACCA精彩直播

学员讨论(0

免费试听

  • Jessie《FR 财务报告》

    Jessie主讲:《FR 财务报告》免费听

  • 张宏远《MA 管理会计》

    张宏远主讲:《MA 管理会计》免费听

  • 何 文《SBL 战略商业领袖》

    何 文主讲:《SBL 战略商业领袖》免费听

限时免费资料

  • 近10年A考汇总

    历年样卷

  • 最新官方考试大纲

    考试大纲

  • 各科目专业词汇表

    词汇表

  • ACCA考试报考指南

    报考指南

  • ACCA考官文章分享

    考官文章

  • 往年考前串讲直播

    思维导图

回到顶部
折叠
网站地图

Copyright © 2000 - www.fawtography.com All Rights Reserved. 北京正保会计科技有限公司 版权所有

京B2-20200959 京ICP备20012371号-7 出版物经营许可证 京公网安备 11010802044457号